Suppr超能文献

提高新英格兰医疗保健系统中心血管疾病一级预防的治疗阈值

Improving Cardiovascular Disease Primary Prevention Treatment Thresholds in a New England Health Care System.

作者信息

Cho So Mi Jemma, Rivera Rachel, Koyama Satoshi, Kim Min Seo, Ganesh Shriienidhie, Bhattacharya Romit, Paruchuri Kaavya, Masson Patricia, Honigberg Michael C, Allen Norrina B, Hornsby Whitney, Natarajan Pradeep

机构信息

Program in Medical and Population Genetics and the Cardiovascular Disease Initiative, Broad Institute of MIT and Harvard, Cambridge, Massachusetts, USA.

Cardiovascular Research Center and Center for Genomic Medicine, Massachusetts General Hospital, Boston, Massachusetts, USA.

出版信息

JACC Adv. 2024 Sep 6;3(10):101257. doi: 10.1016/j.jacadv.2024.101257. eCollection 2024 Oct.

Abstract

BACKGROUND

Atherosclerotic cardiovascular disease (ASCVD) risk estimation based on the pooled cohort equation (PCE) overestimates in population-based cohorts. Whether it performs equally across disaggregated demographics in health care populations is less known.

OBJECTIVES

The purpose of the study was to recalibrate PCE and rederive prevention thresholds in a contemporary health care system and evaluate its performance across sociodemographics.

METHODS

We retrospectively inspected electronic health records between 2010 to 2012 and 2020 to 2022 within Mass General Brigham health care in New England region. We compared performance of the original vs recalibrated PCE measured by calibration, discrimination, reclassification rate, and net benefit among 160,926 patients aged 40 to 79 years and without prior ASCVD or lipid-lowering medication.

RESULTS

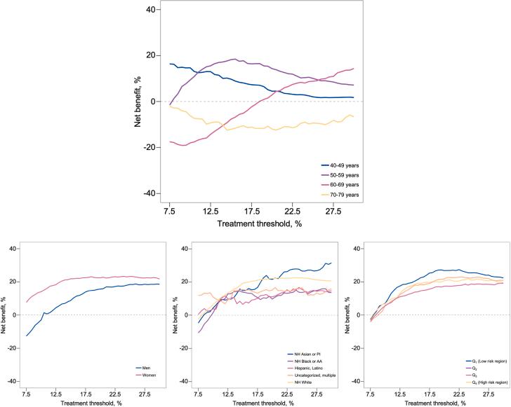
Of the 160,926 patients (mean age: 54.6 ± 8.6 years; 61.4% female), 20,373 (12.7%) developed ASCVD over 10 years. The original PCE globally underestimated ASCVD risk (observed vs predicted incidence rate: 0.13 vs 0.05). Recalibration upclassified risk primarily among individuals with low-to-borderline risk by the original PCE and additionally identified 40% of patients who had undergone ASCVD events yet deemed statin-ineligible based on the original PCE. Treatment thresholds yielding the greatest net benefit were ≥24.0% for women (+23.3%) vs ≥26.0% for men (+18.7%), whereas ≥26.0% for White or other race (+24.7%) vs ≥14.0% Black or African American (+12.5%), respectively. Specifically, Hispanic or Latino and non-Hispanic Black patients conferred the greatest sensitivity improvement at ≥12.3% threshold compared to higher ≥23.6% among non-Hispanic Asian or Pacific Islanders. Generally, lower thresholds earlier in life were optimal.

CONCLUSIONS

Recalibration and personalized treatment thresholds derived within a health system may improve prevention treatment allocation efficiency.

摘要

背景

基于合并队列方程(PCE)的动脉粥样硬化性心血管疾病(ASCVD)风险估计在基于人群的队列中存在高估情况。在医疗保健人群中,按不同人口统计学特征来看其表现是否相同则鲜为人知。

目的

本研究旨在重新校准PCE,并在当代医疗保健系统中重新推导预防阈值,并评估其在不同社会人口统计学特征中的表现。

方法

我们回顾性检查了新英格兰地区麻省总医院布莱根医疗保健系统中2010年至2012年以及2020年至2022年期间的电子健康记录。我们比较了160926名年龄在40至79岁且无既往ASCVD或降脂药物治疗史的患者中,原始PCE与重新校准后的PCE在校准、区分度、重新分类率和净效益方面的表现。

结果

在这160926名患者(平均年龄:54.6±8.6岁;61.4%为女性)中,20373名(12.7%)在10年内发生了ASCVD。原始PCE总体上低估了ASCVD风险(观察到的发病率与预测发病率:0.13对0.05)。重新校准主要将风险较低至临界风险的个体上调分类,此外还识别出40%发生了ASCVD事件但根据原始PCE被认为不适合使用他汀类药物的患者。产生最大净效益的治疗阈值,女性为≥24.0%(增加23.3%),男性为≥26.0%(增加18.7%),白种人或其他种族为≥26.0%(增加24.7%),黑种人或非裔美国人为≥14.0%(增加12.5%)。具体而言,西班牙裔或拉丁裔以及非西班牙裔黑人患者在阈值≥12.3%时敏感性改善最大,而非西班牙裔亚裔或太平洋岛民在阈值≥23.6%时改善更大。一般来说,生命早期较低的阈值是最佳的。

结论

在医疗系统内重新校准和制定个性化治疗阈值可能会提高预防治疗分配效率。

https://cdn.ncbi.nlm.nih.gov/pmc/blobs/dc27/11406032/9a067814726c/ga1.jpg

文献AI研究员

20分钟写一篇综述,助力文献阅读效率提升50倍。

立即体验

用中文搜PubMed

大模型驱动的PubMed中文搜索引擎

马上搜索

文档翻译

学术文献翻译模型,支持多种主流文档格式。

立即体验