• 文献检索
  • 文档翻译
  • 深度研究
  • 学术资讯
  • Suppr Zotero 插件Zotero 插件
  • 邀请有礼
  • 套餐&价格
  • 历史记录
应用&插件
Suppr Zotero 插件Zotero 插件浏览器插件Mac 客户端Windows 客户端微信小程序
定价
高级版会员购买积分包购买API积分包
服务
文献检索文档翻译深度研究API 文档MCP 服务
关于我们
关于 Suppr公司介绍联系我们用户协议隐私条款
关注我们

Suppr 超能文献

核心技术专利:CN118964589B侵权必究
粤ICP备2023148730 号-1Suppr @ 2026

文献检索

告别复杂PubMed语法,用中文像聊天一样搜索,搜遍4000万医学文献。AI智能推荐,让科研检索更轻松。

立即免费搜索

文件翻译

保留排版,准确专业,支持PDF/Word/PPT等文件格式,支持 12+语言互译。

免费翻译文档

深度研究

AI帮你快速写综述,25分钟生成高质量综述,智能提取关键信息,辅助科研写作。

立即免费体验

纳入患者特定信息以开发用于在线自适应磁共振图像引导放射治疗的直肠肿瘤自动分割模型。

Incorporating patient-specific information for the development of rectal tumor auto-segmentation models for online adaptive magnetic resonance Image-guided radiotherapy.

作者信息

Kensen Chavelli M, Simões Rita, Betgen Anja, Wiersema Lisa, Lambregts Doenja M J, Peters Femke P, Marijnen Corrie A M, van der Heide Uulke A, Janssen Tomas M

机构信息

Department of Radiation Oncology, The Netherlands Cancer Institute, Plesmanlaan 121, 1066 CX Amsterdam, the Netherlands.

Department of Radiology, The Netherlands Cancer Institute, Plesmanlaan 121, 1066 CX Amsterdam, the Netherlands.

出版信息

Phys Imaging Radiat Oncol. 2024 Sep 16;32:100648. doi: 10.1016/j.phro.2024.100648. eCollection 2024 Oct.

DOI:10.1016/j.phro.2024.100648
PMID:39319094
原文链接:https://pmc.ncbi.nlm.nih.gov/articles/PMC11421252/
Abstract

BACKGROUND AND PURPOSE

In online adaptive magnetic resonance image (MRI)-guided radiotherapy (MRIgRT), manual contouring of rectal tumors on daily images is labor-intensive and time-consuming. Automation of this task is complex due to substantial variation in tumor shape and location between patients. The aim of this work was to investigate different approaches of propagating patient-specific prior information to the online adaptive treatment fractions to improve deep-learning based auto-segmentation of rectal tumors.

MATERIALS AND METHODS

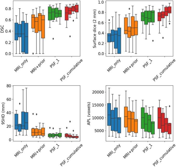
243 T2-weighted MRI scans of 49 rectal cancer patients treated on the 1.5T MR-Linear accelerator (MR-Linac) were utilized to train models to segment rectal tumors. As benchmark, an MRI_only auto-segmentation model was trained. Three approaches of including a patient-specific prior were studied: 1. include the segmentations of fraction 1 as extra input channel for the auto-segmentation of subsequent fractions, 2. fine-tuning of the MRI_only model to fraction 1 (PSF_1) and 3. fine-tuning of the MRI_only model on all earlier fractions (PSF_cumulative). Auto-segmentations were compared to the manual segmentation using geometric similarity metrics. Clinical impact was assessed by evaluating post-treatment target coverage.

RESULTS

All patient-specific methods outperformed the MRI_only segmentation approach. Median 95th percentile Hausdorff (95HD) were 22.0 (range: 6.1-76.6) mm for MRI_only segmentation, 9.9 (range: 2.5-38.2) mm for MRI+prior segmentation, 6.4 (range: 2.4-17.8) mm for PSF_1 and 4.8 (range: 1.7-26.9) mm for PSF_cumulative. PSF_cumulative was found to be superior to PSF_1 from fraction 4 onward (p = 0.014).

CONCLUSION

Patient-specific fine-tuning of automatically segmented rectal tumors, using images and segmentations from all previous fractions, yields superior quality compared to other auto-segmentation approaches.

摘要

背景与目的

在在线自适应磁共振成像(MRI)引导的放射治疗(MRIgRT)中,每日图像上手动勾勒直肠肿瘤轮廓既费力又耗时。由于患者之间肿瘤形状和位置存在显著差异,该任务的自动化很复杂。本研究的目的是探讨将患者特异性先验信息传播到在线自适应治疗分次的不同方法,以改善基于深度学习的直肠肿瘤自动分割。

材料与方法

利用在1.5T MR直线加速器(MR-Linac)上治疗的49例直肠癌患者的243次T2加权MRI扫描来训练分割直肠肿瘤的模型。作为基准,训练了一个仅基于MRI的自动分割模型。研究了三种纳入患者特异性先验的方法:1. 将第1分次的分割结果作为后续分次自动分割的额外输入通道;2. 将仅基于MRI的模型微调至第1分次(PSF_1);3. 将仅基于MRI的模型在所有先前分次上进行微调(PSF_累积)。使用几何相似性指标将自动分割结果与手动分割结果进行比较。通过评估治疗后靶区覆盖情况来评估临床影响。

结果

所有患者特异性方法均优于仅基于MRI的分割方法。仅基于MRI分割的第95百分位数豪斯多夫距离(95HD)中位数为22.0(范围:6.1 - 76.6)mm,MRI + 先验分割为9.9(范围:2.5 - 38.2)mm,PSF_1为6.4(范围:2.4 - 17.8)mm,PSF_累积为4.8(范围:1.7 - 26.9)mm。发现从第4分次起,PSF_累积优于PSF_1(p = 0.014)。

结论

与其他自动分割方法相比,使用所有先前分次的图像和分割结果对自动分割的直肠肿瘤进行患者特异性微调可产生更高质量的结果。

https://cdn.ncbi.nlm.nih.gov/pmc/blobs/a546/11421252/3a8260c191c3/gr4.jpg
https://cdn.ncbi.nlm.nih.gov/pmc/blobs/a546/11421252/e5fbd3ec7a41/gr1.jpg
https://cdn.ncbi.nlm.nih.gov/pmc/blobs/a546/11421252/3ab0c01aa2d5/gr2.jpg
https://cdn.ncbi.nlm.nih.gov/pmc/blobs/a546/11421252/ac0a1b38da9e/gr3.jpg
https://cdn.ncbi.nlm.nih.gov/pmc/blobs/a546/11421252/3a8260c191c3/gr4.jpg
https://cdn.ncbi.nlm.nih.gov/pmc/blobs/a546/11421252/e5fbd3ec7a41/gr1.jpg
https://cdn.ncbi.nlm.nih.gov/pmc/blobs/a546/11421252/3ab0c01aa2d5/gr2.jpg
https://cdn.ncbi.nlm.nih.gov/pmc/blobs/a546/11421252/ac0a1b38da9e/gr3.jpg
https://cdn.ncbi.nlm.nih.gov/pmc/blobs/a546/11421252/3a8260c191c3/gr4.jpg

相似文献

1
Incorporating patient-specific information for the development of rectal tumor auto-segmentation models for online adaptive magnetic resonance Image-guided radiotherapy.纳入患者特定信息以开发用于在线自适应磁共振图像引导放射治疗的直肠肿瘤自动分割模型。
Phys Imaging Radiat Oncol. 2024 Sep 16;32:100648. doi: 10.1016/j.phro.2024.100648. eCollection 2024 Oct.
2
Patient-specific transfer learning for auto-segmentation in adaptive 0.35 T MRgRT of prostate cancer: a bi-centric evaluation.用于前列腺癌自适应 0.35 T MRgRT 自动分割的患者特异性迁移学习:双中心评估
Med Phys. 2023 Mar;50(3):1573-1585. doi: 10.1002/mp.16056. Epub 2022 Nov 7.
3
Cascaded deep learning-based auto-segmentation for head and neck cancer patients: Organs at risk on T2-weighted magnetic resonance imaging.基于级联深度学习的头颈部癌症患者自动分割:T2 加权磁共振成像上的危险器官。
Med Phys. 2021 Dec;48(12):7757-7772. doi: 10.1002/mp.15290. Epub 2021 Nov 1.
4
Patient-specific daily updated deep learning auto-segmentation for MRI-guided adaptive radiotherapy.基于患者的每日更新深度学习自动分割用于 MRI 引导自适应放疗。
Radiother Oncol. 2022 Dec;177:222-230. doi: 10.1016/j.radonc.2022.11.004. Epub 2022 Nov 12.
5
Deep Learning for Per-Fraction Automatic Segmentation of Gross Tumor Volume (GTV) and Organs at Risk (OARs) in Adaptive Radiotherapy of Cervical Cancer.深度学习用于宫颈癌自适应放疗中每次分割时大体肿瘤体积(GTV)和危及器官(OARs)的自动分割
Front Oncol. 2022 May 18;12:854349. doi: 10.3389/fonc.2022.854349. eCollection 2022.
6
Abdominal, multi-organ, auto-contouring method for online adaptive magnetic resonance guided radiotherapy: An intelligent, multi-level fusion approach.腹部、多器官自动轮廓勾画在线自适应磁共振引导放射治疗:一种智能、多层次融合方法。
Artif Intell Med. 2018 Aug;90:34-41. doi: 10.1016/j.artmed.2018.07.001. Epub 2018 Jul 24.
7
Prior knowledge based deep learning auto-segmentation in magnetic resonance imaging-guided radiotherapy of prostate cancer.基于先验知识的深度学习自动分割在前列腺癌磁共振成像引导放疗中的应用
Phys Imaging Radiat Oncol. 2023 Oct 10;28:100498. doi: 10.1016/j.phro.2023.100498. eCollection 2023 Oct.
8
Evaluation of Deep Learning Clinical Target Volumes Auto-Contouring for Magnetic Resonance Imaging-Guided Online Adaptive Treatment of Rectal Cancer.用于磁共振成像引导的直肠癌在线自适应治疗的深度学习临床靶区自动轮廓勾画评估
Adv Radiat Oncol. 2024 Mar 5;9(6):101483. doi: 10.1016/j.adro.2024.101483. eCollection 2024 Jun.
9
The dosimetric impact of deep learning-based auto-segmentation of organs at risk on nasopharyngeal and rectal cancer.基于深度学习的危及器官自动分割对鼻咽癌和直肠癌的剂量学影响。
Radiat Oncol. 2021 Jun 23;16(1):113. doi: 10.1186/s13014-021-01837-y.
10
Online adaptive MR-guided radiotherapy for rectal cancer; feasibility of the workflow on a 1.5T MR-linac: clinical implementation and initial experience.在线自适应磁共振引导直肠癌放疗;1.5TMR-直线加速器工作流程的可行性:临床实施和初步经验。
Radiother Oncol. 2021 Jan;154:172-178. doi: 10.1016/j.radonc.2020.09.024. Epub 2020 Sep 22.

引用本文的文献

1
From standardized to individualized margins for online adaptive tumor dose escalation in rectal cancer.从标准化切缘到个体化切缘,用于直肠癌在线自适应肿瘤剂量递增。
Radiat Oncol. 2025 Aug 8;20(1):125. doi: 10.1186/s13014-025-02706-8.
2
Efficient strategy for magnetic resonance image-guided adaptive radiotherapy of rectal cancer using a library of reference plans.使用参考计划库进行磁共振图像引导的直肠癌自适应放疗的有效策略。
Phys Imaging Radiat Oncol. 2025 Mar 3;33:100747. doi: 10.1016/j.phro.2025.100747. eCollection 2025 Jan.

本文引用的文献

1
Evaluation of Deep Learning Clinical Target Volumes Auto-Contouring for Magnetic Resonance Imaging-Guided Online Adaptive Treatment of Rectal Cancer.用于磁共振成像引导的直肠癌在线自适应治疗的深度学习临床靶区自动轮廓勾画评估
Adv Radiat Oncol. 2024 Mar 5;9(6):101483. doi: 10.1016/j.adro.2024.101483. eCollection 2024 Jun.
2
Towards deep-learning (DL) based fully automated target delineation for rectal cancer neoadjuvant radiotherapy using a divide-and-conquer strategy: a study with multicenter blind and randomized validation.基于深度学习的直肠癌新辅助放疗全自动靶区勾画:采用分而治之策略的多中心盲法随机验证研究。
Radiat Oncol. 2023 Oct 6;18(1):164. doi: 10.1186/s13014-023-02350-0.
3
A clinical evaluation of the performance of five commercial artificial intelligence contouring systems for radiotherapy.
五种商用人工智能放疗轮廓勾画系统性能的临床评估
Front Oncol. 2023 Aug 4;13:1213068. doi: 10.3389/fonc.2023.1213068. eCollection 2023.
4
Automatic segmentation of rectal tumors from MRI using multiscale densely connected convolutional neural network based on attention mechanism.基于注意力机制的多尺度密集连接卷积神经网络对MRI直肠肿瘤进行自动分割
Phys Med Biol. 2023 Jul 31;68(16). doi: 10.1088/1361-6560/ace6f2.
5
Patient-specific neural networks for contour propagation in online adaptive radiotherapy.用于在线自适应放射治疗中轮廓传播的患者特异性神经网络。
Phys Med Biol. 2023 Apr 25;68(9). doi: 10.1088/1361-6560/accaca.
6
Online Adaptive MRI-Guided Radiotherapy for Primary Tumor and Lymph Node Boosting in Rectal Cancer.在线自适应磁共振成像引导的直肠癌原发肿瘤及淋巴结增敏放疗
Cancers (Basel). 2023 Feb 5;15(4):1009. doi: 10.3390/cancers15041009.
7
Patient-specific daily updated deep learning auto-segmentation for MRI-guided adaptive radiotherapy.基于患者的每日更新深度学习自动分割用于 MRI 引导自适应放疗。
Radiother Oncol. 2022 Dec;177:222-230. doi: 10.1016/j.radonc.2022.11.004. Epub 2022 Nov 12.
8
Patient-specific transfer learning for auto-segmentation in adaptive 0.35 T MRgRT of prostate cancer: a bi-centric evaluation.用于前列腺癌自适应 0.35 T MRgRT 自动分割的患者特异性迁移学习:双中心评估
Med Phys. 2023 Mar;50(3):1573-1585. doi: 10.1002/mp.16056. Epub 2022 Nov 7.
9
Patient specific deep learning based segmentation for magnetic resonance guided prostate radiotherapy.基于深度学习的个体化磁共振引导前列腺癌放疗分割
Phys Imaging Radiat Oncol. 2022 Jun 3;23:38-42. doi: 10.1016/j.phro.2022.06.001. eCollection 2022 Jul.
10
Effect of intrafraction adaptation on PTV margins for MRI guided online adaptive radiotherapy for rectal cancer.MRI 引导在线自适应放疗直肠癌时,分次内适应对 PTV 边界的影响。
Radiat Oncol. 2022 Jun 21;17(1):110. doi: 10.1186/s13014-022-02079-2.