• 文献检索
  • 文档翻译
  • 深度研究
  • 学术资讯
  • Suppr Zotero 插件Zotero 插件
  • 邀请有礼
  • 套餐&价格
  • 历史记录
应用&插件
Suppr Zotero 插件Zotero 插件浏览器插件Mac 客户端Windows 客户端微信小程序
定价
高级版会员购买积分包购买API积分包
服务
文献检索文档翻译深度研究API 文档MCP 服务
关于我们
关于 Suppr公司介绍联系我们用户协议隐私条款
关注我们

Suppr 超能文献

核心技术专利:CN118964589B侵权必究
粤ICP备2023148730 号-1Suppr @ 2026

文献检索

告别复杂PubMed语法,用中文像聊天一样搜索,搜遍4000万医学文献。AI智能推荐,让科研检索更轻松。

立即免费搜索

文件翻译

保留排版,准确专业,支持PDF/Word/PPT等文件格式,支持 12+语言互译。

免费翻译文档

深度研究

AI帮你快速写综述,25分钟生成高质量综述,智能提取关键信息,辅助科研写作。

立即免费体验

一种使用高光谱成像评估妆容覆盖度的新方法。

A new method for the evaluation of makeup coverage using hyperspectral imaging.

作者信息

Blaksley Carl, Udodaira Kumiko, Nicolas Alexandre, Casolino Marco

机构信息

L'Oréal Research & Innovation, Kawasaki, Kanagawa, Japan.

RIKEN, Wako, Saitama, Japan.

出版信息

Front Chem. 2024 Sep 10;12:1400796. doi: 10.3389/fchem.2024.1400796. eCollection 2024.

DOI:10.3389/fchem.2024.1400796
PMID:39324062
原文链接:https://pmc.ncbi.nlm.nih.gov/articles/PMC11422780/
Abstract

INTRODUCTION

The of a makeup foundation is a perceived attribute which is not captured by opacity or any other single optical property. As previous instrumental measurements do not allow us to consistently compare one product to another, we have begun exploring new parameters and analysis methods made available by hyperspectral imaging. Presumably, the coverage of makeup comes from the change in color, homogeneity, and evenness over the face after application, and the ability of the product to hide spots and other blemishes.

METHODS

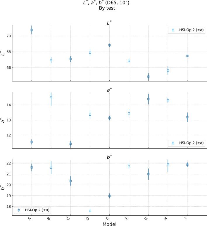
As a starting point to unravelling this complex topic, we define a homogeneity factor which measures the change in the homogeneity of the spectra using the distribution of spectral angles in the face. We likewise define a spectral shift factor which indicates the degree of spectral change after product application. To test these new parameters and the overall analysis method, we applied them to the HSI validation dataset which contains data for three makeup foundation products of different coverage levels applied to 9 models.

RESULTS

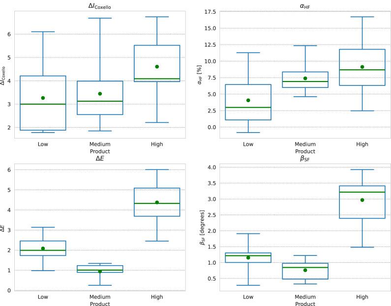
We find that correlates with the sensory ranking of coverage. Similarly, the parameter correlates with the visible color change induced by the product, and we can map the three products into distinct categories based on their effect on and .

DISCUSSION

Nevertheless, the homogeneity factor does not fully describe coverage, and in the variability in the product effect from model to model we find evidence that we must also account for the relative color difference between the model's skin tone and the product shade among other factors.

摘要

引言

粉底液的遮瑕效果是一种可感知的属性,无法通过不透明度或任何其他单一光学特性来体现。由于之前的仪器测量方法无法让我们持续地将一款产品与另一款产品进行比较,我们已开始探索高光谱成像所提供的新参数和分析方法。据推测,妆容的遮盖效果源于涂抹后脸部颜色、均匀度和色泽的变化,以及产品遮盖斑点和其他瑕疵的能力。

方法

作为解开这个复杂课题的起点,我们定义了一个均匀度因子,它利用脸部光谱角的分布来衡量光谱均匀度的变化。我们同样定义了一个光谱偏移因子,它表示涂抹产品后光谱变化的程度。为了测试这些新参数和整体分析方法,我们将它们应用于高光谱成像验证数据集,该数据集包含了应用于9名模特的三种不同遮瑕水平的粉底液产品的数据。

结果

我们发现均匀度因子与遮瑕效果的感官排名相关。同样,参数与产品引起的可见颜色变化相关,并且我们可以根据这三种产品对均匀度因子和光谱偏移因子的影响将它们划分到不同类别。

讨论

然而,均匀度因子并不能完全描述遮瑕效果,而且在不同模特之间产品效果的变异性中,我们发现有证据表明,除其他因素外,我们还必须考虑模特肤色与产品色调之间的相对颜色差异。

https://cdn.ncbi.nlm.nih.gov/pmc/blobs/612d/11422780/ef68579e1571/fchem-12-1400796-g011.jpg
https://cdn.ncbi.nlm.nih.gov/pmc/blobs/612d/11422780/547a4d892b7d/fchem-12-1400796-g001.jpg
https://cdn.ncbi.nlm.nih.gov/pmc/blobs/612d/11422780/46627b15a405/fchem-12-1400796-g002.jpg
https://cdn.ncbi.nlm.nih.gov/pmc/blobs/612d/11422780/d7821b1b33a7/fchem-12-1400796-g003.jpg
https://cdn.ncbi.nlm.nih.gov/pmc/blobs/612d/11422780/596788468b90/fchem-12-1400796-g004.jpg
https://cdn.ncbi.nlm.nih.gov/pmc/blobs/612d/11422780/70b19707e81d/fchem-12-1400796-g005.jpg
https://cdn.ncbi.nlm.nih.gov/pmc/blobs/612d/11422780/10b5a2056cd0/fchem-12-1400796-g006.jpg
https://cdn.ncbi.nlm.nih.gov/pmc/blobs/612d/11422780/6696678b5500/fchem-12-1400796-g007.jpg
https://cdn.ncbi.nlm.nih.gov/pmc/blobs/612d/11422780/1d3a5aca0d4f/fchem-12-1400796-g008.jpg
https://cdn.ncbi.nlm.nih.gov/pmc/blobs/612d/11422780/99b319f1a519/fchem-12-1400796-g009.jpg
https://cdn.ncbi.nlm.nih.gov/pmc/blobs/612d/11422780/47bb9c605e08/fchem-12-1400796-g010.jpg
https://cdn.ncbi.nlm.nih.gov/pmc/blobs/612d/11422780/ef68579e1571/fchem-12-1400796-g011.jpg
https://cdn.ncbi.nlm.nih.gov/pmc/blobs/612d/11422780/547a4d892b7d/fchem-12-1400796-g001.jpg
https://cdn.ncbi.nlm.nih.gov/pmc/blobs/612d/11422780/46627b15a405/fchem-12-1400796-g002.jpg
https://cdn.ncbi.nlm.nih.gov/pmc/blobs/612d/11422780/d7821b1b33a7/fchem-12-1400796-g003.jpg
https://cdn.ncbi.nlm.nih.gov/pmc/blobs/612d/11422780/596788468b90/fchem-12-1400796-g004.jpg
https://cdn.ncbi.nlm.nih.gov/pmc/blobs/612d/11422780/70b19707e81d/fchem-12-1400796-g005.jpg
https://cdn.ncbi.nlm.nih.gov/pmc/blobs/612d/11422780/10b5a2056cd0/fchem-12-1400796-g006.jpg
https://cdn.ncbi.nlm.nih.gov/pmc/blobs/612d/11422780/6696678b5500/fchem-12-1400796-g007.jpg
https://cdn.ncbi.nlm.nih.gov/pmc/blobs/612d/11422780/1d3a5aca0d4f/fchem-12-1400796-g008.jpg
https://cdn.ncbi.nlm.nih.gov/pmc/blobs/612d/11422780/99b319f1a519/fchem-12-1400796-g009.jpg
https://cdn.ncbi.nlm.nih.gov/pmc/blobs/612d/11422780/47bb9c605e08/fchem-12-1400796-g010.jpg
https://cdn.ncbi.nlm.nih.gov/pmc/blobs/612d/11422780/ef68579e1571/fchem-12-1400796-g011.jpg

相似文献

1
A new method for the evaluation of makeup coverage using hyperspectral imaging.一种使用高光谱成像评估妆容覆盖度的新方法。
Front Chem. 2024 Sep 10;12:1400796. doi: 10.3389/fchem.2024.1400796. eCollection 2024.
2
Repeatability and reproducibility of a hyperspectral imaging system for in vivo color evaluation.用于体内颜色评估的高光谱成像系统的可重复性和再现性。
Skin Res Technol. 2022 Jul;28(4):544-555. doi: 10.1111/srt.13160. Epub 2022 May 23.
3
Erratum: Eyestalk Ablation to Increase Ovarian Maturation in Mud Crabs.勘误:切除眼柄以增加泥蟹的卵巢成熟度。
J Vis Exp. 2023 May 26(195). doi: 10.3791/6561.
4
Reflectance Hyperspectral Imaging for Investigation of Works of Art: Old Master Paintings and Illuminated Manuscripts.反射光谱成像技术在艺术品研究中的应用:古画和彩绘手稿。
Acc Chem Res. 2016 Oct 18;49(10):2070-2079. doi: 10.1021/acs.accounts.6b00048. Epub 2016 Sep 28.
5
A Split-face, Controlled Study to Assess the Compatibility of Tretinoin 0.05% Acne Lotion with Facial Foundation Makeup.一项评估0.05%维甲酸痤疮洗剂与粉底彩妆兼容性的半脸对照研究。
J Clin Aesthet Dermatol. 2020 Oct;13(10):E53-E58. Epub 2020 Oct 1.
6
Cosmetics increase skin evenness: Evidence from perceptual and physical measures.化妆品可增加皮肤均匀度:基于知觉和物理指标的证据。
Skin Res Technol. 2019 Sep;25(5):672-676. doi: 10.1111/srt.12700. Epub 2019 May 20.
7
Rapid and non-destructive identification of Panax ginseng origins using hyperspectral imaging, visible light imaging, and X-ray imaging combined with multi-source data fusion strategies.利用高光谱成像、可见光照相和 X 射线成像以及多源数据融合策略,快速、无损地鉴定人参的产地。
Food Res Int. 2024 Sep;192:114758. doi: 10.1016/j.foodres.2024.114758. Epub 2024 Jul 14.
8
A preliminary study to understand the effects of mask on tinted face cosmetics.一项初步研究,旨在了解口罩对面部有色化妆品的影响。
Skin Res Technol. 2021 Sep;27(5):797-802. doi: 10.1111/srt.13022. Epub 2021 Mar 2.
9
Makeup applied to facial features increases perceived skin evenness.化妆可以增加面部特征的均匀感。
Vision Res. 2023 Jan;202:108144. doi: 10.1016/j.visres.2022.108144. Epub 2022 Nov 18.
10
Hyperspectral Imaging (HSI) for meat quality evaluation across the supply chain: Current and future trends.用于整个供应链肉类品质评估的高光谱成像技术:现状与未来趋势
Curr Res Food Sci. 2022 Jun 3;5:1017-1027. doi: 10.1016/j.crfs.2022.05.016. eCollection 2022.

本文引用的文献

1
Repeatability and reproducibility of a hyperspectral imaging system for in vivo color evaluation.用于体内颜色评估的高光谱成像系统的可重复性和再现性。
Skin Res Technol. 2022 Jul;28(4):544-555. doi: 10.1111/srt.13160. Epub 2022 May 23.
2
Design and performance of a hyperspectral camera for full-face in vivo imaging.用于全脸体内成像的高光谱相机的设计与性能。
Rev Sci Instrum. 2021 May 1;92(5):055108. doi: 10.1063/5.0047300.
3
Cosmetics increase skin evenness: Evidence from perceptual and physical measures.化妆品可增加皮肤均匀度:基于知觉和物理指标的证据。
Skin Res Technol. 2019 Sep;25(5):672-676. doi: 10.1111/srt.12700. Epub 2019 May 20.
4
Seasonally-induced alterations of some facial signs in Caucasian women and their changes induced by a daily application of a photo-protective product.高加索女性某些面部特征的季节性变化以及每日使用光防护产品所引起的变化。
Int J Cosmet Sci. 2017 Dec;39(6):664-675. doi: 10.1111/ics.12427. Epub 2017 Oct 30.
5
Instrumental and clinical studies of the facial skin tone and pigmentation of Shanghaiese women. Changes induced by age and a cosmetic whitening product.上海女性面部肤色和色素的仪器和临床研究。年龄和美容美白产品引起的变化。
Int J Cosmet Sci. 2012 Feb;34(1):49-54. doi: 10.1111/j.1468-2494.2011.00680.x. Epub 2011 Aug 17.
6
The effect of age on skin color and color heterogeneity in four ethnic groups.年龄对四个族群皮肤颜色和颜色异质性的影响。
Skin Res Technol. 2010 May;16(2):168-78. doi: 10.1111/j.1600-0846.2009.00416.x.
7
Comparing individual means in the analysis of variance.方差分析中的个体均值比较。
Biometrics. 1949 Jun;5(2):99-114.
8
Development and validation of a new Skin Color Chart.一种新型肤色图表的开发与验证。
Skin Res Technol. 2007 Feb;13(1):101-9. doi: 10.1111/j.1600-0846.2007.00223.x.
9
Estimation of melanin and hemoglobin in skin tissue using multiple regression analysis aided by Monte Carlo simulation.利用蒙特卡罗模拟辅助的多元回归分析估计皮肤组织中的黑色素和血红蛋白。
J Biomed Opt. 2004 Jul-Aug;9(4):700-10. doi: 10.1117/1.1756918.
10
Skin melanin, hemoglobin, and light scattering properties can be quantitatively assessed in vivo using diffuse reflectance spectroscopy.皮肤黑色素、血红蛋白以及光散射特性可通过漫反射光谱法在体内进行定量评估。
J Invest Dermatol. 2001 Dec;117(6):1452-7. doi: 10.1046/j.0022-202x.2001.01577.x.