• 文献检索
  • 文档翻译
  • 深度研究
  • 学术资讯
  • Suppr Zotero 插件Zotero 插件
  • 邀请有礼
  • 套餐&价格
  • 历史记录
应用&插件
Suppr Zotero 插件Zotero 插件浏览器插件Mac 客户端Windows 客户端微信小程序
定价
高级版会员购买积分包购买API积分包
服务
文献检索文档翻译深度研究API 文档MCP 服务
关于我们
关于 Suppr公司介绍联系我们用户协议隐私条款
关注我们

Suppr 超能文献

核心技术专利:CN118964589B侵权必究
粤ICP备2023148730 号-1Suppr @ 2026

文献检索

告别复杂PubMed语法,用中文像聊天一样搜索,搜遍4000万医学文献。AI智能推荐,让科研检索更轻松。

立即免费搜索

文件翻译

保留排版,准确专业,支持PDF/Word/PPT等文件格式,支持 12+语言互译。

免费翻译文档

深度研究

AI帮你快速写综述,25分钟生成高质量综述,智能提取关键信息,辅助科研写作。

立即免费体验

丹麦普通实践中诊断的成人社区获得性肺炎(CAP-D)的最佳抗生素治疗持续时间:一项开放标签、实用、随机对照试验。

The optimal antibiotic treatment duration for community-acquired pneumonia in adults diagnosed in general practice in Denmark (CAP-D): an open-label, pragmatic, randomised controlled trial.

机构信息

Center for General Practice, Aalborg University, Aalborg, Denmark.

Department of Infectious Diseases, Aalborg University Hospital, Aalborg, Denmark.

出版信息

Trials. 2024 Sep 27;25(1):627. doi: 10.1186/s13063-024-08477-z.

DOI:10.1186/s13063-024-08477-z
PMID:39334468
原文链接:https://pmc.ncbi.nlm.nih.gov/articles/PMC11429885/
Abstract

BACKGROUND

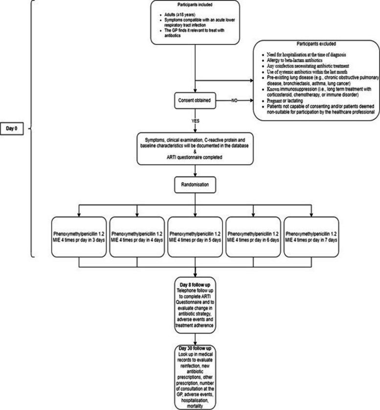
Use of antibiotics is the main driver of antimicrobial resistance which is considered one of the biggest threats to human health. In Denmark, most antibiotics are prescribed in general practice. Acute lower respiratory tract infections, including community-acquired pneumonia (CAP), are among the most frequent indications for antibiotic prescribing. Phenoxymethylpenicillin is established as first-line treatment in general practice in Denmark. However, the treatment duration with phenoxymethylpenicillin is mostly based on traditions. Both 5 and 7 days of treatment is recommended in Danish guidelines, and when asking the general practitioners about what treatment duration, they prescribe the variation is even bigger. Several hospital-based studies have proven short course (≤ 6 days) antibiotic treatment non-inferior to long course (≥ 7 days) treatment of CAP. No evidence exists on the optimal treatment duration for CAP in non-hospitalised patients. This randomised controlled trial aim to investigate the optimal treatment duration with phenoxymethylpenicillin for CAP in adults diagnosed in general practice in Denmark.

METHODS

This is an open-label, pragmatic, randomised controlled, five-arm DURATIONS trial. Participants will be recruited from at least 24 general practices in Denmark. Eligible participants are adults, with no pre-existing lung disease, presenting with symptoms of CAP, and in whom the general practitioner finds it relevant to treat with antibiotics. The study will compare treatment with phenoxymethylpenicillin 1.2 MIE q.i.d. in 3, 4, 5, 6, and 7 days.

DISCUSSION

This study will provide evidence for the optimal antibiotic treatment duration of CAP in general practice and inform future guidelines on CAP in all countries using phenoxymethylpenicillin for the treatment of acute respiratory tract infections in adults. The results of this study might also be used to guide treatment recommendations in other countries using phenoxymethylpenicillin. Moreover, a (potential) reduction in antibiotic use might lower the development of antimicrobial resistance, increase patient treatment adherence, reduce risks of adverse events, and lower the economical exp TRIAL REGISTRATION: ClinicalTrials.gov: NCT06295120. Registered 28 February 2024.  The Scientific Ethics Committee for the North Denmark Region: N-20230039.

摘要

背景

抗生素的使用是导致抗菌药物耐药性的主要因素,而后者被认为是对人类健康的最大威胁之一。在丹麦,大多数抗生素都是在全科医生那里开的。急性下呼吸道感染,包括社区获得性肺炎 (CAP),是抗生素开处方最常见的指征之一。苯氧甲基青霉素是丹麦全科医生中治疗 CAP 的一线药物。然而,苯氧甲基青霉素的治疗持续时间大多基于传统。丹麦指南推荐使用 5 天和 7 天的治疗方案,当询问全科医生治疗持续时间时,他们的处方差异更大。几项基于医院的研究已经证明,短疗程(≤6 天)抗生素治疗与 CAP 的长疗程(≥7 天)治疗效果相当。在非住院患者中,没有证据表明 CAP 的最佳治疗持续时间。本随机对照试验旨在研究丹麦全科医生诊断的成人 CAP 患者使用苯氧甲基青霉素的最佳治疗持续时间。

方法

这是一项开放标签、实用、随机对照、五臂 DURATIONS 试验。参与者将从丹麦至少 24 家全科医生处招募。合格的参与者是没有预先存在的肺部疾病、出现 CAP 症状且全科医生认为需要用抗生素治疗的成年人。该研究将比较苯氧甲基青霉素 1.2 MIE q.i.d. 3、4、5、6 和 7 天的治疗效果。

讨论

本研究将为全科医生治疗 CAP 的最佳抗生素治疗持续时间提供证据,并为所有使用苯氧甲基青霉素治疗成人急性呼吸道感染的国家的 CAP 指南提供信息。本研究的结果也可能用于指导其他国家使用苯氧甲基青霉素的治疗建议。此外,减少抗生素的使用可能会降低抗菌药物耐药性的发展,提高患者的治疗依从性,降低不良反应的风险,并降低经济成本。

试验注册

ClinicalTrials.gov:NCT06295120。2024 年 2 月 28 日注册。丹麦北日德兰地区科学伦理委员会:N-20230039。

https://cdn.ncbi.nlm.nih.gov/pmc/blobs/6dc9/11429885/012dd34faa53/13063_2024_8477_Fig2_HTML.jpg
https://cdn.ncbi.nlm.nih.gov/pmc/blobs/6dc9/11429885/fafc57814b65/13063_2024_8477_Fig1_HTML.jpg
https://cdn.ncbi.nlm.nih.gov/pmc/blobs/6dc9/11429885/012dd34faa53/13063_2024_8477_Fig2_HTML.jpg
https://cdn.ncbi.nlm.nih.gov/pmc/blobs/6dc9/11429885/fafc57814b65/13063_2024_8477_Fig1_HTML.jpg
https://cdn.ncbi.nlm.nih.gov/pmc/blobs/6dc9/11429885/012dd34faa53/13063_2024_8477_Fig2_HTML.jpg

相似文献

1
The optimal antibiotic treatment duration for community-acquired pneumonia in adults diagnosed in general practice in Denmark (CAP-D): an open-label, pragmatic, randomised controlled trial.丹麦普通实践中诊断的成人社区获得性肺炎(CAP-D)的最佳抗生素治疗持续时间:一项开放标签、实用、随机对照试验。
Trials. 2024 Sep 27;25(1):627. doi: 10.1186/s13063-024-08477-z.
2
The effect of focused lung ultrasonography on antibiotic prescribing in patients with acute lower respiratory tract infections in Danish general practice: study protocol for a pragmatic randomized controlled trial (PLUS-FLUS).聚焦肺部超声检查对丹麦全科医疗中急性下呼吸道感染患者抗生素处方的影响:一项实用随机对照试验(PLUS-FLUS)的研究方案
Trials. 2024 May 2;25(1):298. doi: 10.1186/s13063-024-08129-2.
3
Antibiotic treatment of community-acquired pneumonia: A questionnaire survey in Danish general practice.社区获得性肺炎的抗生素治疗:丹麦全科医疗中的问卷调查
Basic Clin Pharmacol Toxicol. 2022 Jan;130(1):151-157. doi: 10.1111/bcpt.13684. Epub 2021 Nov 16.
4
Amoxicillin duration and dose for community-acquired pneumonia in children: the CAP-IT factorial non-inferiority RCT.儿童社区获得性肺炎的阿莫西林疗程和剂量:CAP-IT 析因非劣效 RCT。
Health Technol Assess. 2021 Nov;25(60):1-72. doi: 10.3310/hta25600.
5
The IMPROVE-GAP Trial aiming to improve evidence-based management of community-acquired pneumonia: study protocol for a stepped-wedge randomised controlled trial.旨在改善社区获得性肺炎循证管理的IMPROVE-GAP试验:一项阶梯式楔形随机对照试验的研究方案
Trials. 2018 Feb 5;19(1):88. doi: 10.1186/s13063-017-2407-4.
6
Short-course antibiotic therapy of 5 days in community-acquired pneumonia (CAP5): study protocol for a randomised controlled trial.社区获得性肺炎(CAP5)5 天短程抗生素治疗:一项随机对照试验的研究方案。
BMJ Open. 2023 Jul 21;13(7):e069013. doi: 10.1136/bmjopen-2022-069013.
7
Antibiotic treatment recommendations for acute respiratory tract infections in Scandinavian general practices-time for harmonization?斯堪的纳维亚普通诊所中急性呼吸道感染的抗生素治疗建议——是时候统一了吗?
Scand J Prim Health Care. 2025 Mar;43(1):205-208. doi: 10.1080/02813432.2024.2422441. Epub 2024 Nov 4.
8
Efficacy, safety and impact on antimicrobial resistance of duration and dose of amoxicillin treatment for young children with Community-Acquired Pneumonia: a protocol for a randomIsed controlled Trial (CAP-IT).儿童社区获得性肺炎阿莫西林治疗时间和剂量的疗效、安全性和对抗微生物药物耐药性的影响:一项随机对照试验(CAP-IT)方案。
BMJ Open. 2019 May 22;9(5):e029875. doi: 10.1136/bmjopen-2019-029875.
9
Short-course vs long-course antibiotic treatment for community-acquired pneumonia: A literature review.短疗程与长疗程抗生素治疗社区获得性肺炎的文献复习。
Basic Clin Pharmacol Toxicol. 2019 May;124(5):550-559. doi: 10.1111/bcpt.13205. Epub 2019 Feb 21.
10
Procalcitonin and lung ultrasonography point-of-care testing to decide on antibiotic prescription in patients with lower respiratory tract infection in primary care: protocol of a pragmatic cluster randomized trial.降钙素原和肺部超声即时检验用于指导基层医疗机构下呼吸道感染患者抗生素处方决策的实用性整群随机临床试验方案
BMC Pulm Med. 2019 Aug 6;19(1):143. doi: 10.1186/s12890-019-0898-3.

本文引用的文献

1
Antibiotic treatment of community-acquired pneumonia: A questionnaire survey in Danish general practice.社区获得性肺炎的抗生素治疗:丹麦全科医疗中的问卷调查
Basic Clin Pharmacol Toxicol. 2022 Jan;130(1):151-157. doi: 10.1111/bcpt.13684. Epub 2021 Nov 16.
2
Danish GPs' Experiences When Managing Patients Presenting to General Practice with Symptoms of Acute Lower Respiratory Tract Infections: A Qualitative Study.丹麦全科医生管理出现急性下呼吸道感染症状前来全科医疗就诊患者的经验:一项定性研究。
Antibiotics (Basel). 2021 Jun 1;10(6):661. doi: 10.3390/antibiotics10060661.
3
Discontinuing β-lactam treatment after 3 days for patients with community-acquired pneumonia in non-critical care wards (PTC): a double-blind, randomised, placebo-controlled, non-inferiority trial.
非重症监护病房中接受社区获得性肺炎治疗的患者,在 3 天后停止使用β-内酰胺治疗(PTC):一项双盲、随机、安慰剂对照、非劣效性试验。
Lancet. 2021 Mar 27;397(10280):1195-1203. doi: 10.1016/S0140-6736(21)00313-5.
4
The DURATIONS randomised trial design: Estimation targets, analysis methods and operating characteristics.DURATIONS 随机试验设计:估计目标、分析方法和运行特征。
Clin Trials. 2020 Dec;17(6):644-653. doi: 10.1177/1740774520944377. Epub 2020 Aug 16.
5
Acute lower respiratory tract infections: Symptoms, findings and management in Danish general practice.丹麦全科医学中的急性下呼吸道感染:症状、表现与处理。
Eur J Gen Pract. 2020 Dec;26(1):14-20. doi: 10.1080/13814788.2019.1674279. Epub 2019 Oct 25.
6
Short-course vs long-course antibiotic treatment for community-acquired pneumonia: A literature review.短疗程与长疗程抗生素治疗社区获得性肺炎的文献复习。
Basic Clin Pharmacol Toxicol. 2019 May;124(5):550-559. doi: 10.1111/bcpt.13205. Epub 2019 Feb 21.
7
Short- vs long-course antibiotic therapy for pneumonia: a comparison of systematic reviews and guidelines for the SIMI Choosing Wisely Campaign.肺炎的短程与长程抗生素治疗:比较系统评价和 SIMI 明智选择活动的指南。
Intern Emerg Med. 2019 Apr;14(3):377-394. doi: 10.1007/s11739-018-1955-2. Epub 2018 Oct 8.
8
Short-course versus long-course therapy of the same antibiotic for community-acquired pneumonia in adolescent and adult outpatients.青少年及成人门诊社区获得性肺炎患者使用同一种抗生素的短程与长程治疗对比
Cochrane Database Syst Rev. 2018 Sep 6;9(9):CD009070. doi: 10.1002/14651858.CD009070.pub2.
9
Systematic Review and Meta-analysis of the Efficacy of Short-Course Antibiotic Treatments for Community-Acquired Pneumonia in Adults.系统评价和荟萃分析成人社区获得性肺炎短期抗生素治疗的疗效。
Antimicrob Agents Chemother. 2018 Aug 27;62(9). doi: 10.1128/AAC.00635-18. Print 2018 Sep.
10
Rethinking non-inferiority: a practical trial design for optimising treatment duration.重新思考非劣效性:优化治疗持续时间的实用试验设计。
Clin Trials. 2018 Oct;15(5):477-488. doi: 10.1177/1740774518778027. Epub 2018 Jun 5.