Suppr超能文献

高血压患者的动脉僵硬度与心血管药物处方模式、身体成分参数及血压调节质量相关联吗?

Is Arterial Stiffness Interconnected with Cardiovascular Drug Prescription Patterns, Body Composition Parameters, and the Quality of Blood Pressure Regulation in Hypertensive Patients?

作者信息

Radić Josipa, Vučković Marijana, Đogaš Hana, Gelemanović Andrea, Belančić Andrej, Radić Mislav

机构信息

Department of Internal Medicine, Division of Nephrology and Dialysis, University Hospital of Split, 21000 Split, Croatia.

School of Medicine, University of Split, 21000 Split, Croatia.

出版信息

Biomedicines. 2024 Sep 10;12(9):2062. doi: 10.3390/biomedicines12092062.

Abstract

BACKGROUND

Arterial hypertension (AH) is a significant risk factor for cardiovascular disease and is associated with increased arterial stiffness, particularly as measured by pulse wave velocity (PWV). This study aims to explore the relationships between age groups, antihypertensive and new oral antidiabetic drugs, body composition, and arterial stiffness parameters in hypertensive patients.

METHODS

A single-center cross-sectional study was conducted including 584 participants who underwent 24 h ambulatory blood pressure monitoring (including central blood pressure (BP) and PWV measurement), body composition analysis, and provided medical history and current pharmacotherapy data.

RESULTS

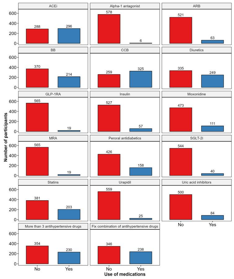
The study found that PWV was significantly higher in patients with poorly regulated BP in those aged 65 years and older. Significant PWV predictors included systolic BP, heart rate, peripheral mean arterial pressure, peripheral pulse pressure, augmentation index, calcium channel blockers, moxonidine, sodium-glucose co-transporter 2 inhibitors, urapidil, and statin prescription. Also, statistically significant negative correlations were found between PWV and visceral fat level, fat-free mass, and the percentage of muscle mass.

CONCLUSIONS

The findings suggest that arterial stiffness is interconnected with peripheral and central blood pressure parameters, body composition parameters, and prescribed hypertensive and new antidiabetic drugs.

摘要

背景

动脉高血压(AH)是心血管疾病的一个重要危险因素,并且与动脉僵硬度增加相关,尤其是通过脉搏波速度(PWV)来衡量时。本研究旨在探讨高血压患者年龄组、抗高血压药物和新型口服抗糖尿病药物、身体成分与动脉僵硬度参数之间的关系。

方法

进行了一项单中心横断面研究,纳入584名参与者,这些参与者接受了24小时动态血压监测(包括中心血压(BP)和PWV测量)、身体成分分析,并提供了病史和当前药物治疗数据。

结果

研究发现,65岁及以上血压控制不佳的患者PWV显著更高。PWV的显著预测因素包括收缩压、心率、外周平均动脉压、外周脉压、增强指数、钙通道阻滞剂、莫索尼定、钠-葡萄糖协同转运蛋白2抑制剂、乌拉地尔和他汀类药物处方。此外,还发现PWV与内脏脂肪水平、去脂体重和肌肉质量百分比之间存在统计学显著的负相关。

结论

研究结果表明,动脉僵硬度与外周和中心血压参数、身体成分参数以及处方的抗高血压药物和新型抗糖尿病药物相互关联。

https://cdn.ncbi.nlm.nih.gov/pmc/blobs/84fe/11429216/956cfcf6c052/biomedicines-12-02062-g001.jpg

文献检索

告别复杂PubMed语法,用中文像聊天一样搜索,搜遍4000万医学文献。AI智能推荐,让科研检索更轻松。

立即免费搜索

文件翻译

保留排版,准确专业,支持PDF/Word/PPT等文件格式,支持 12+语言互译。

免费翻译文档

深度研究

AI帮你快速写综述,25分钟生成高质量综述,智能提取关键信息,辅助科研写作。

立即免费体验