Suppr超能文献

直接 InhA 抑制剂在结核分枝杆菌感染小鼠模型中新药物方案中的作用。

Contribution of direct InhA inhibitors to novel drug regimens in a mouse model of tuberculosis.

机构信息

Global Health Medicines R&D, GSK, Tres Cantos, Madrid, Spain.

Center for Tuberculosis Research, Division of Infectious Diseases, Johns Hopkins University, Baltimore, Maryland, USA.

出版信息

Antimicrob Agents Chemother. 2024 Nov 6;68(11):e0035724. doi: 10.1128/aac.00357-24. Epub 2024 Sep 30.

Abstract

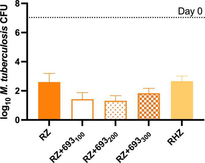
Isoniazid is an important first-line medicine to treat tuberculosis (TB). Isoniazid resistance increases the risk of poor treatment outcomes and development of multidrug resistance, and is driven primarily by mutations involving , encoding the prodrug-activating enzyme, rather than its validated target, InhA. The chemical tractability of InhA has fostered efforts to discover direct inhibitors of InhA (DIIs). In this study, we bridge the gap in understanding the potential contribution of DIIs to novel combination regimens and demonstrate a clear distinction of DIIs, like GSK693 and the newly described GSK138, from isoniazid, based on activity against clinical isolates and contribution to novel drug regimens. The results suggest that DIIs, specifically GSK138 and GSK693, could be promising partners in novel drug regimens, including those used against isoniazid-resistant TB, potentially enhancing their efficacy and/or preventing the selection of resistant mutants and supporting the continued exploration of InhA as a promising target for TB drug development.

摘要

异烟肼是治疗结核病(TB)的重要一线药物。异烟肼耐药会增加治疗效果不佳和发展为耐多药的风险,主要是由涉及编码前药激活酶的突变引起的,而不是其经过验证的靶标 InhA。InhA 的化学可处理性促进了发现 InhA 直接抑制剂(DII)的努力。在这项研究中,我们弥合了对 DII 对新型联合方案潜在贡献的理解差距,并基于对临床分离株的活性和对新型药物方案的贡献,证明了 DII 与异烟肼(如 GSK693 和新描述的 GSK138)之间的明显区别。结果表明,DII,特别是 GSK138 和 GSK693,可能是新型药物方案的有前途的合作伙伴,包括用于治疗异烟肼耐药性结核病的方案,有可能提高其疗效和/或防止耐药突变体的选择,并支持继续探索 InhA 作为结核病药物开发的有前途的靶标。

https://cdn.ncbi.nlm.nih.gov/pmc/blobs/f4bc/11539229/7a3f9a121471/aac.00357-24.f001.jpg

文献检索

告别复杂PubMed语法,用中文像聊天一样搜索,搜遍4000万医学文献。AI智能推荐,让科研检索更轻松。

立即免费搜索

文件翻译

保留排版,准确专业,支持PDF/Word/PPT等文件格式,支持 12+语言互译。

免费翻译文档

深度研究

AI帮你快速写综述,25分钟生成高质量综述,智能提取关键信息,辅助科研写作。

立即免费体验