Suppr超能文献

帕金森病患者照顾者的负担、焦虑和抑郁。

Burden, Anxiety, and Depression Among Caregivers of Parkinson's Disease Patients.

机构信息

Neurology Unit, Department of Medicine, College of Medicine, King Saud University, Riyadh, Saudi Arabia.

Chair of Medical and Molecular Genetics Research, Department of Clinical Laboratory Sciences, College of Applied Medical Sciences, King Saud University, Riyadh, Saudi Arabia.

出版信息

J Parkinsons Dis. 2024;14(7):1495-1505. doi: 10.3233/JPD-240014.

Abstract

BACKGROUND

Parkinson's disease (PD) is a disabling neurodegenerative movement disorder. Most PD patients are looked after by caregivers who are close to them regardless of their relationship. Caregivers may experience a notable impact on their mental health as they dedicate a significant amount of time to the patient while observing the progression of the disease.

OBJECTIVE

The aim of this study was to evaluate the level of burden, depression, anxiety, and stress among caregivers of PD patients.

METHODS

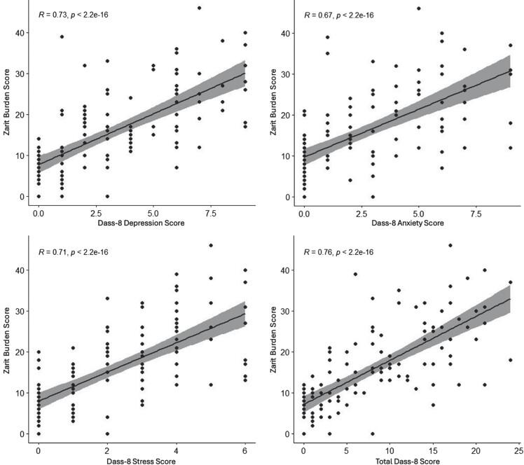
We conducted a cross-sectional analysis between July and September 2023 among caregivers of PD patients following in the Movement Disorders Clinic at King Khalid University Hospital in Riyadh, Saudi Arabia, and through the Saudi Parkinson's Society. The data collection was done anonymously through an electronic self-administered questionnaire. Caregiver burden was assessed by using the validated Arabic version of the Zarit Burden Interview (ZBI) scale, and the Depression Anxiety Stress Scale (DASS) was used to assess the presence and level of anxiety and depression.

RESULTS

There were 118 caregivers (53.39% female, 33.9% aged between 35- 45 years, and 73.73% were sons/daughters) caring for 118 patients (57.63%, male, 38.98% aged between 66- 76). The ZBI score was highest among sibling caregivers. Moreover, burden scores were higher among those who provided care more frequently than others.

CONCLUSIONS

Our study revealed that PD caregivers face a high risk of care burden, especially those who are siblings and spend longer periods in patient care. Additionally, female caregivers reported higher rates of depression, anxiety, and stress.

摘要

背景

帕金森病(PD)是一种使人丧失能力的神经退行性运动障碍。大多数 PD 患者都由与其关系密切的照顾者照顾,无论这种关系是什么。照顾者可能会因为他们在观察疾病进展的同时,为患者投入大量时间,而对自己的心理健康产生显著影响。

目的

本研究旨在评估 PD 患者照顾者的负担、抑郁、焦虑和压力水平。

方法

我们于 2023 年 7 月至 9 月在沙特阿拉伯利雅得的 King Khalid 大学医院的运动障碍诊所和沙特帕金森氏症协会对 PD 患者的照顾者进行了横断面分析。通过电子自我管理问卷匿名收集数据。使用经过验证的阿拉伯语版 Zarit 负担访谈 (ZBI) 量表评估照顾者负担,使用抑郁焦虑压力量表 (DASS) 评估焦虑和抑郁的存在和程度。

结果

共有 118 名照顾者(53.39%为女性,33.9%年龄在 35-45 岁之间,73.73%为子女)照顾着 118 名患者(57.63%为男性,38.98%年龄在 66-76 岁之间)。兄弟姐妹照顾者的 ZBI 评分最高。此外,与其他照顾者相比,那些更频繁地提供照顾的人,其负担评分更高。

结论

我们的研究表明,PD 照顾者面临着高的照顾负担风险,特别是那些兄弟姐妹和在患者护理上花费更多时间的人。此外,女性照顾者报告的抑郁、焦虑和压力水平更高。

https://cdn.ncbi.nlm.nih.gov/pmc/blobs/8d58/11492025/a8098048085a/jpd-14-jpd240014-g001.jpg

文献AI研究员

20分钟写一篇综述,助力文献阅读效率提升50倍。

立即体验

用中文搜PubMed

大模型驱动的PubMed中文搜索引擎

马上搜索

文档翻译

学术文献翻译模型,支持多种主流文档格式。

立即体验