Suppr超能文献

来自嗜盐细菌Hahella sp. CCB MM4的两种细菌酪氨酸酶的特性分析,这两种酶与湿地中酚类化合物的氧化有关。

Characterization of two bacterial tyrosinases from the halophilic bacterium Hahella sp. CCB MM4 relevant for phenolic compounds oxidation in wetlands.

作者信息

de Almeida Santos Gustavo, Englund Andrea N B, Dalleywater Eirin L, Røhr Åsmund Kjendseth

机构信息

Faculty of Chemistry, Biotechnology and Food Science, NMBU - Norwegian University of Life Sciences, Ås, Norway.

出版信息

FEBS Open Bio. 2024 Dec;14(12):2038-2058. doi: 10.1002/2211-5463.13906. Epub 2024 Oct 9.

Abstract

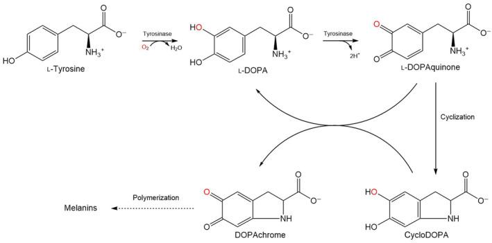
Tyrosinases (TYRs) are type-3 copper proteins that are widely distributed in nature. They can hydroxylate and oxidize phenolic molecules and are mostly known for producing melanins that confer protection against photo induced damage. TYRs are also thought to play an important role in the 'latch mechanism', where high concentrations of phenolic compounds inhibit oxidative decomposition of organic biomass and subsequent CO release, especially relevant in wetland environments. In the present study, we describe two TYRs, HcTyr1 and HcTyr2, from halophilic bacterium Hahella sp. CCB MM4 previously isolated at Matang mangrove forest in Perak, Malaysia. The structure of HcTyr1 was determined by X-ray crystallography at a resolution of 1.9 Å and represents an uncharacterized group of prokaryotic TYRs as demonstrated by a sequence similarity network analysis. The genes encoding the enzymes were cloned, expressed, purified and thoroughly characterized by biochemical methods. HcTyr1 was able to self-cleave its lid-domain (LID) in a protease independent manner, whereas the LID of HcTyr2 was essential for activity and stability. Both enzymes showed variable activity in the presence of different metals, surfactants and NaCl, and were able to oxidize lignin constituents. The high salinity tolerance of HcTyr1 indicates that the enzyme can be an efficient catalyst in the habitat of the host.

摘要

酪氨酸酶(TYRs)是一类广泛分布于自然界的3型铜蛋白。它们能够羟基化和氧化酚类分子,主要以产生黑色素而闻名,黑色素可提供对光诱导损伤的保护作用。酪氨酸酶还被认为在“闩锁机制”中发挥重要作用,即高浓度的酚类化合物抑制有机生物质的氧化分解及随后的CO释放,这在湿地环境中尤为重要。在本研究中,我们描述了来自嗜盐细菌Hahella sp. CCB MM4的两种酪氨酸酶,HcTyr1和HcTyr2,该细菌先前从马来西亚霹雳州马当红树林中分离得到。通过X射线晶体学以1.9 Å的分辨率确定了HcTyr1的结构,序列相似性网络分析表明其代表了一类未被表征的原核酪氨酸酶。通过生化方法对编码这些酶的基因进行了克隆、表达、纯化及全面表征。HcTyr1能够以不依赖蛋白酶的方式自我切割其盖子结构域(LID),而HcTyr2的LID对活性和稳定性至关重要。两种酶在不同金属、表面活性剂和NaCl存在下均表现出可变活性,并且能够氧化木质素成分。HcTyr1对高盐度的耐受性表明该酶在宿主栖息地中可以是一种高效催化剂。

https://cdn.ncbi.nlm.nih.gov/pmc/blobs/1d1b/11609597/766c6abacec4/FEB4-14-2038-g011.jpg

文献检索

告别复杂PubMed语法,用中文像聊天一样搜索,搜遍4000万医学文献。AI智能推荐,让科研检索更轻松。

立即免费搜索

文件翻译

保留排版,准确专业,支持PDF/Word/PPT等文件格式,支持 12+语言互译。

免费翻译文档

深度研究

AI帮你快速写综述,25分钟生成高质量综述,智能提取关键信息,辅助科研写作。

立即免费体验