Suppr超能文献

DrugDAGT:一种具有对比学习的双注意力图转换器可提高药物-药物相互作用预测。

DrugDAGT: a dual-attention graph transformer with contrastive learning improves drug-drug interaction prediction.

机构信息

Institute of Fundamental and Frontier Sciences, University of Electronic Science and Technology of China, Chengdu, China.

Biomedicine Discovery Institute and Department of Biochemistry and Molecular Biology, Monash University, Melbourne, VIC, 3800, Australia.

出版信息

BMC Biol. 2024 Oct 14;22(1):233. doi: 10.1186/s12915-024-02030-9.

Abstract

BACKGROUND

Drug-drug interactions (DDIs) can result in unexpected pharmacological outcomes, including adverse drug events, which are crucial for drug discovery. Graph neural networks have substantially advanced our ability to model molecular representations; however, the precise identification of key local structures and the capture of long-distance structural correlations for better DDI prediction and interpretation remain significant challenges.

RESULTS

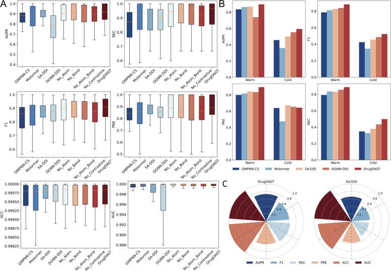
Here, we present DrugDAGT, a dual-attention graph transformer framework with contrastive learning for predicting multiple DDI types. The dual-attention graph transformer incorporates attention mechanisms at both the bond and atomic levels, thereby enabling the integration of short and long-range dependencies within drug molecules to pinpoint key local structures essential for DDI discovery. Moreover, DrugDAGT further implements graph contrastive learning to maximize the similarity of representations across different views for better discrimination of molecular structures. Experiments in both warm-start and cold-start scenarios demonstrate that DrugDAGT outperforms state-of-the-art baseline models, achieving superior overall performance. Furthermore, visualization of the learned representations of drug pairs and the attention map provides interpretable insights instead of black-box results.

CONCLUSIONS

DrugDAGT provides an effective tool for accurately predicting multiple DDI types by identifying key local chemical structures, offering valuable insights for prescribing medications, and guiding drug development. All data and code of our DrugDAGT can be found at https://github.com/codejiajia/DrugDAGT .

摘要

背景

药物-药物相互作用(DDI)会导致意想不到的药理结果,包括药物不良事件,这对于药物发现至关重要。图神经网络极大地提高了我们对分子表示进行建模的能力;然而,对于更好的 DDI 预测和解释,准确识别关键局部结构和捕捉长程结构相关性仍然是重大挑战。

结果

在这里,我们提出了 DrugDAGT,这是一个具有对比学习的双注意图转换器框架,用于预测多种 DDI 类型。双注意图转换器在键和原子级别都采用了注意力机制,从而能够整合药物分子中的短程和长程依赖性,以精确定位发现 DDI 所需的关键局部结构。此外,DrugDAGT 进一步实施了图对比学习,以最大化不同视图表示之间的相似性,从而更好地区分分子结构。在热身和冷启动场景中的实验表明,DrugDAGT 优于最先进的基线模型,实现了卓越的整体性能。此外,对药物对的学习表示和注意力图的可视化提供了可解释的见解,而不是黑盒结果。

结论

DrugDAGT 通过识别关键的局部化学结构,为准确预测多种 DDI 类型提供了有效的工具,为处方药物提供了有价值的见解,并指导药物开发。我们的 DrugDAGT 的所有数据和代码都可以在 https://github.com/codejiajia/DrugDAGT 上找到。

https://cdn.ncbi.nlm.nih.gov/pmc/blobs/9b81/11472440/99eb61005b10/12915_2024_2030_Fig1_HTML.jpg

文献检索

告别复杂PubMed语法,用中文像聊天一样搜索,搜遍4000万医学文献。AI智能推荐,让科研检索更轻松。

立即免费搜索

文件翻译

保留排版,准确专业,支持PDF/Word/PPT等文件格式,支持 12+语言互译。

免费翻译文档

深度研究

AI帮你快速写综述,25分钟生成高质量综述,智能提取关键信息,辅助科研写作。

立即免费体验