• 文献检索
  • 文档翻译
  • 深度研究
  • 学术资讯
  • Suppr Zotero 插件Zotero 插件
  • 邀请有礼
  • 套餐&价格
  • 历史记录
应用&插件
Suppr Zotero 插件Zotero 插件浏览器插件Mac 客户端Windows 客户端微信小程序
定价
高级版会员购买积分包购买API积分包
服务
文献检索文档翻译深度研究API 文档MCP 服务
关于我们
关于 Suppr公司介绍联系我们用户协议隐私条款
关注我们

Suppr 超能文献

核心技术专利:CN118964589B侵权必究
粤ICP备2023148730 号-1Suppr @ 2026

文献检索

告别复杂PubMed语法,用中文像聊天一样搜索,搜遍4000万医学文献。AI智能推荐,让科研检索更轻松。

立即免费搜索

文件翻译

保留排版,准确专业,支持PDF/Word/PPT等文件格式,支持 12+语言互译。

免费翻译文档

深度研究

AI帮你快速写综述,25分钟生成高质量综述,智能提取关键信息,辅助科研写作。

立即免费体验

重复低水平红光疗法对近视控制和脉络膜的影响。

The Effect of Repeated Low-Level Red-Light Therapy on Myopia Control and Choroid.

机构信息

Department of Ophthalmology, Tongji Hospital, Tongji Medical College, Huazhong University of Science and Technology, Wuhan, China.

Department of Ophthalmology, Wuhan Union Hospital, Tongji Medical College, Huazhong University of Science and Technology, Wuhan, China.

出版信息

Transl Vis Sci Technol. 2024 Oct 1;13(10):29. doi: 10.1167/tvst.13.10.29.

DOI:10.1167/tvst.13.10.29
PMID:39432402
原文链接:https://pmc.ncbi.nlm.nih.gov/articles/PMC11498649/
Abstract

PURPOSE

To investigate the long-term effects of repeated low-level red light (RLRL) therapy on the axial length (AL), spherical equivalent (SE), and choroidal parameters.

METHODS

Two hundred eight myopic eyes were recruited. The RLRL group included 100 eyes, whereas the control group included 108 eyes. Throughout the one-year follow-up period, changes in AL and SE were recorded for both groups. The RLRL group underwent additional choroidal imaging, and changes in choroidal thickness (CT), choroidal vascularity (CV), and choriocapillaris luminal area (CLA) were assessed before and after RLRL therapy.

RESULTS

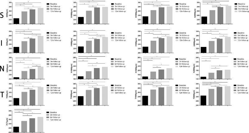
During the follow-up period, the changing trends in AL and SE differed significantly between the RLRL and control groups. In the RLRL group, AL decreased at three and six months (both P < 0.05) and returned to pretreatment values at 12 months (P = 0.453). In contrast, AL increased significantly throughout the follow-up period (three, six, and 12 months) in the control group (all P < 0.001). The SE increased significantly during the entire follow-up period in the RLRL group (all P < 0.001), whereas it decreased significantly in the control group (all P < 0.05). Regarding choroidal parameters, significant improvements were observed in CT, CV and CLA throughout the follow-up period (all P < 0.05), and changes in most choroidal parameters were significantly correlated with changes in AL and SE during the follow-up period (all P < 0.05). Furthermore, AL, SE, and most choroidal parameters showed significant correlations between changes at three and 12 months (all P < 0.05).

CONCLUSIONS

RLRL therapy significantly improved choroidal blood perfusion and circulation, which may explain the observed slowing or reversal of myopia progression in the RLRL group. Thus RLRL therapy may be a novel and effective method for controlling myopia. Furthermore, the short-term effect of photobiomodulation therapy (i.e., changes at three months) can be used to predict the long-term effects (i.e., changes at 12 months).

TRANSLATIONAL RELEVANCE

In this study, RLRL therapy showed a significant control effect on the development of axial length and spherical equivalent. RLRL therapy also promoted the choroidal blood perfusion and circulation. RLRL therapy could be a novel and effective method for myopia control.

摘要

目的

研究重复低水平红光(RLRL)治疗对眼轴(AL)、等效球镜(SE)和脉络膜参数的长期影响。

方法

招募了 208 只近视眼。RLRL 组包括 100 只眼,对照组包括 108 只眼。在整个 1 年的随访期间,记录两组 AL 和 SE 的变化。RLRL 组还进行了额外的脉络膜成像,并评估 RLRL 治疗前后脉络膜厚度(CT)、脉络膜血管密度(CV)和脉络膜毛细血管腔面积(CLA)的变化。

结果

在随访期间,RLRL 组和对照组的 AL 和 SE 变化趋势明显不同。RLRL 组中,AL 在 3 个月和 6 个月时(均 P < 0.05)下降,12 个月时恢复到治疗前水平(P = 0.453)。相反,对照组的 AL 在整个随访期间均显著增加(均 P < 0.001)。RLRL 组的 SE 在整个随访期间均显著增加(均 P < 0.001),而对照组的 SE 则显著降低(均 P < 0.05)。关于脉络膜参数,在整个随访期间,CT、CV 和 CLA 均显著改善(均 P < 0.05),并且在随访期间,AL 和 SE 的大部分变化与脉络膜参数的变化显著相关(均 P < 0.05)。此外,AL、SE 和大多数脉络膜参数在 3 个月和 12 个月时的变化之间存在显著相关性(均 P < 0.05)。

结论

RLRL 治疗显著改善了脉络膜的血液灌注和循环,这可能解释了 RLRL 组近视进展的减缓或逆转。因此,RLRL 治疗可能是一种控制近视的新方法。此外,光生物调节治疗的短期效果(即 3 个月时的变化)可用于预测长期效果(即 12 个月时的变化)。

https://cdn.ncbi.nlm.nih.gov/pmc/blobs/2a9f/11498649/007647ea1378/tvst-13-10-29-f006.jpg
https://cdn.ncbi.nlm.nih.gov/pmc/blobs/2a9f/11498649/5fb6a1f0e6cb/tvst-13-10-29-f001.jpg
https://cdn.ncbi.nlm.nih.gov/pmc/blobs/2a9f/11498649/2cb69e756cb1/tvst-13-10-29-f002.jpg
https://cdn.ncbi.nlm.nih.gov/pmc/blobs/2a9f/11498649/16c804bd461c/tvst-13-10-29-f003.jpg
https://cdn.ncbi.nlm.nih.gov/pmc/blobs/2a9f/11498649/dc06665f3894/tvst-13-10-29-f004.jpg
https://cdn.ncbi.nlm.nih.gov/pmc/blobs/2a9f/11498649/0c5eede9b20c/tvst-13-10-29-f005.jpg
https://cdn.ncbi.nlm.nih.gov/pmc/blobs/2a9f/11498649/007647ea1378/tvst-13-10-29-f006.jpg
https://cdn.ncbi.nlm.nih.gov/pmc/blobs/2a9f/11498649/5fb6a1f0e6cb/tvst-13-10-29-f001.jpg
https://cdn.ncbi.nlm.nih.gov/pmc/blobs/2a9f/11498649/2cb69e756cb1/tvst-13-10-29-f002.jpg
https://cdn.ncbi.nlm.nih.gov/pmc/blobs/2a9f/11498649/16c804bd461c/tvst-13-10-29-f003.jpg
https://cdn.ncbi.nlm.nih.gov/pmc/blobs/2a9f/11498649/dc06665f3894/tvst-13-10-29-f004.jpg
https://cdn.ncbi.nlm.nih.gov/pmc/blobs/2a9f/11498649/0c5eede9b20c/tvst-13-10-29-f005.jpg
https://cdn.ncbi.nlm.nih.gov/pmc/blobs/2a9f/11498649/007647ea1378/tvst-13-10-29-f006.jpg

相似文献

1
The Effect of Repeated Low-Level Red-Light Therapy on Myopia Control and Choroid.重复低水平红光疗法对近视控制和脉络膜的影响。
Transl Vis Sci Technol. 2024 Oct 1;13(10):29. doi: 10.1167/tvst.13.10.29.
2
Effects on choroid after repeated low-level red-light therapy in preclinical and clinical myopic children: a randomized controlled trial.临床前和临床近视儿童反复低强度红光治疗后对脉络膜的影响:一项随机对照试验。
Photodiagnosis Photodyn Ther. 2025 Aug;54:104651. doi: 10.1016/j.pdpdt.2025.104651. Epub 2025 May 29.
3
Cone Density Changes After Repeated Low-Level Red Light Treatment in Children With Myopia.近视儿童反复接受低强度红光治疗后视锥细胞密度变化
JAMA Ophthalmol. 2025 Apr 24. doi: 10.1001/jamaophthalmol.2025.0835.
4
Interventions for myopia control in children: a living systematic review and network meta-analysis.儿童近视控制干预措施:一项实时系统评价和网状Meta分析
Cochrane Database Syst Rev. 2025 Feb 13;2(2):CD014758. doi: 10.1002/14651858.CD014758.pub3.
5
Early changes in choroidal thickness and ocular biometry in predicting who will achieve full myopia control with repeated low-level red light therapy.脉络膜厚度和眼生物测量的早期变化对预测谁将通过重复低强度红光治疗实现完全近视控制的作用
Photodiagnosis Photodyn Ther. 2025 Jun 16;54:104672. doi: 10.1016/j.pdpdt.2025.104672.
6
Longitudinal Changes in Choroidal Vascularity in Myopic and Non-Myopic Children.近视与非近视儿童脉络膜血流的纵向变化。
Transl Vis Sci Technol. 2024 Aug 1;13(8):38. doi: 10.1167/tvst.13.8.38.
7
Diverse Segments Defocus Optimization spectacle lenses induce rapid changes in axial length and regional changes in choroidal thickness in children with myopia.多段离焦优化型眼镜片可使近视儿童的眼轴长度迅速变化,并使脉络膜厚度发生局部变化。
Ophthalmic Physiol Opt. 2025 Sep;45(6):1447-1455. doi: 10.1111/opo.13532. Epub 2025 Jun 6.
8
The Effect of Repeated Low-Level Red Light Versus 0.01% Atropine Treatment on Axial Length and Choroidal Parameters in Children with Myopia.重复低强度红光与0.01%阿托品治疗对近视儿童眼轴长度和脉络膜参数的影响
Ophthalmol Ther. 2025 Jun 6. doi: 10.1007/s40123-025-01169-0.
9
A meta-analysis of randomized controlled trials evaluating the effectiveness and safety of the repeated low-level red light therapy in slowing the progression of myopia in children and adolescents.一项评价重复低强度红光疗法在减缓儿童和青少年近视进展的有效性和安全性的随机对照试验的荟萃分析。
Indian J Ophthalmol. 2024 Feb 1;72(Suppl 2):S203-S210. doi: 10.4103/IJO.IJO_1037_23. Epub 2023 Dec 15.
10
The correlation between intraocular pressure and choroidal microcirculation in patients with high myopia.高度近视患者眼压与脉络膜微循环之间的相关性
Int J Med Sci. 2025 Jun 20;22(12):3032-3043. doi: 10.7150/ijms.113035. eCollection 2025.

引用本文的文献

1
Effects of repeated low-level red light therapy on myopia progression in children: a systematic review and meta-analysis.重复低强度红光疗法对儿童近视进展的影响:一项系统评价和荟萃分析。
Front Med (Lausanne). 2025 Aug 13;12:1640403. doi: 10.3389/fmed.2025.1640403. eCollection 2025.
2
Contributions from light level and spectral content on refractive development in young rabbits.光照水平和光谱成分对幼兔屈光发育的影响
Int J Ophthalmol. 2025 Mar 18;18(3):390-397. doi: 10.18240/ijo.2025.03.03. eCollection 2025.
3
Protective effects of docosahexaenoic acid combined with bilberry extract on myopic Guinea pigs.

本文引用的文献

1
Retinal Damage After Repeated Low-level Red-Light Laser Exposure.反复低强度红光激光照射后的视网膜损伤
JAMA Ophthalmol. 2023 Jul 1;141(7):693-695. doi: 10.1001/jamaophthalmol.2023.1548.
2
Photobiomodulation therapy retarded axial length growth in children with myopia: evidence from a 12-month randomized controlled trial evidence.光生物调节疗法可减缓近视儿童眼轴增长:来自为期 12 个月的随机对照试验的证据。
Sci Rep. 2023 Feb 27;13(1):3321. doi: 10.1038/s41598-023-30500-7.
3
Immediate Effect in the Retina and Choroid after 650 nm Low-Level Red Light Therapy in Children.
二十二碳六烯酸联合越橘提取物对近视豚鼠的保护作用
Front Med (Lausanne). 2024 Dec 17;11:1502612. doi: 10.3389/fmed.2024.1502612. eCollection 2024.
650nm 低水平红光疗法对儿童视网膜和脉络膜的即时影响。
Ophthalmic Res. 2023;66(1):312-318. doi: 10.1159/000527787. Epub 2022 Oct 31.
4
Efficacy Comparison of Repeated Low-Level Red Light and Low-Dose Atropine for Myopia Control: A Randomized Controlled Trial.重复低强度红光与低浓度阿托品治疗近视疗效比较:一项随机对照试验。
Transl Vis Sci Technol. 2022 Oct 3;11(10):33. doi: 10.1167/tvst.11.10.33.
5
Investigation of the Efficacy and Safety of 650 nm Low-Level Red Light for Myopia Control in Children: A Randomized Controlled Trial.650纳米低强度红光对儿童近视控制的疗效和安全性研究:一项随机对照试验
Ophthalmol Ther. 2022 Dec;11(6):2259-2270. doi: 10.1007/s40123-022-00585-w. Epub 2022 Oct 8.
6
Sustained and rebound effect of repeated low-level red-light therapy on myopia control: A 2-year post-trial follow-up study.重复低水平红光疗法对近视控制的持续和反弹效应:2 年随访研究。
Clin Exp Ophthalmol. 2022 Dec;50(9):1013-1024. doi: 10.1111/ceo.14149. Epub 2022 Sep 7.
7
Myopia Control Effect of Repeated Low-Level Red-Light Therapy in Chinese Children: A Randomized, Double-Blind, Controlled Clinical Trial.中国儿童重复低强度红光疗法的近视控制效果:一项随机、双盲、对照临床试验。
Ophthalmology. 2023 Feb;130(2):198-204. doi: 10.1016/j.ophtha.2022.08.024. Epub 2022 Aug 29.
8
Low-intensity red-light therapy in slowing myopic progression and the rebound effect after its cessation in Chinese children: a randomized controlled trial.低强度红光疗法延缓中国儿童近视进展及停止治疗后的反弹效应:一项随机对照试验
Graefes Arch Clin Exp Ophthalmol. 2023 Feb;261(2):575-584. doi: 10.1007/s00417-022-05794-4. Epub 2022 Aug 17.
9
Macular Retinal Microvasculature of Hyperopia, Emmetropia, and Myopia in Children.儿童远视、正视和近视的黄斑视网膜微血管系统
Front Med (Lausanne). 2022 May 20;9:900486. doi: 10.3389/fmed.2022.900486. eCollection 2022.
10
Assessment of Choroidal Vascularity and Choriocapillaris Blood Perfusion After Accommodation in Myopia, Emmetropia, and Hyperopia Groups Among Children.儿童近视、正视和远视组调节后脉络膜血管状态及脉络膜毛细血管血流灌注的评估
Front Physiol. 2022 Mar 17;13:854240. doi: 10.3389/fphys.2022.854240. eCollection 2022.