• 文献检索
  • 文档翻译
  • 深度研究
  • 学术资讯
  • Suppr Zotero 插件Zotero 插件
  • 邀请有礼
  • 套餐&价格
  • 历史记录
应用&插件
Suppr Zotero 插件Zotero 插件浏览器插件Mac 客户端Windows 客户端微信小程序
定价
高级版会员购买积分包购买API积分包
服务
文献检索文档翻译深度研究API 文档MCP 服务
关于我们
关于 Suppr公司介绍联系我们用户协议隐私条款
关注我们

Suppr 超能文献

核心技术专利:CN118964589B侵权必究
粤ICP备2023148730 号-1Suppr @ 2026

文献检索

告别复杂PubMed语法,用中文像聊天一样搜索,搜遍4000万医学文献。AI智能推荐,让科研检索更轻松。

立即免费搜索

文件翻译

保留排版,准确专业,支持PDF/Word/PPT等文件格式,支持 12+语言互译。

免费翻译文档

深度研究

AI帮你快速写综述,25分钟生成高质量综述,智能提取关键信息,辅助科研写作。

立即免费体验

加利福尼亚州 Proposition 65 颁布后,NHANES 生物监测暴露趋势:加利福尼亚州与美国对比。

Trends in NHANES Biomonitored Exposures in California and the United States following Enactment of California's Proposition 65.

机构信息

Silent Spring Institute, Newton, Massachusetts, USA.

School of Public Health, University of California, Berkeley, California, USA.

出版信息

Environ Health Perspect. 2024 Oct;132(10):107007. doi: 10.1289/EHP13956. Epub 2024 Oct 21.

DOI:10.1289/EHP13956
PMID:39432449
原文链接:https://pmc.ncbi.nlm.nih.gov/articles/PMC11493239/
Abstract

BACKGROUND

The prevalence of toxic chemicals in US commerce has prompted some states to adopt laws to reduce exposure. One with broad reach is California's Proposition 65 (Prop 65), which established a list of chemicals that cause cancer, developmental harm, or reproductive toxicity. The law is intended to discourage businesses from using these chemicals and to minimize consumer exposure. However, a key question remains unanswered: Has Prop 65 reduced population-level exposure to the listed chemicals?

OBJECTIVE

We used national biomonitoring data from the Centers for Disease Control and Prevention (CDC) to evaluate the impact of Prop 65 on population-level exposures.

METHODS

We evaluated changes in blood and urine concentrations of 37 chemicals (including phthalates, phenols, VOCs, metals, PAHs, and PFAS), among US National Health and Nutrition Examination Survey (NHANES) participants in relation to the time of chemicals' Prop 65 listing. Of these, 11 were listed prior to, 11 during, and 4 after the biomonitoring period. The remaining 11 were not listed but were closely related to a Prop 65-listed chemical. Where biomonitoring data were available from before and after the date of Prop 65 listing, we estimated the change in concentrations over time for Californians compared with non-Californians, using a difference-in-differences model. We used quantile regression to estimate changes in exposure over time, as well as differences between Californians and non-Californians at the 25th, 75th, and 95th percentiles.

RESULTS

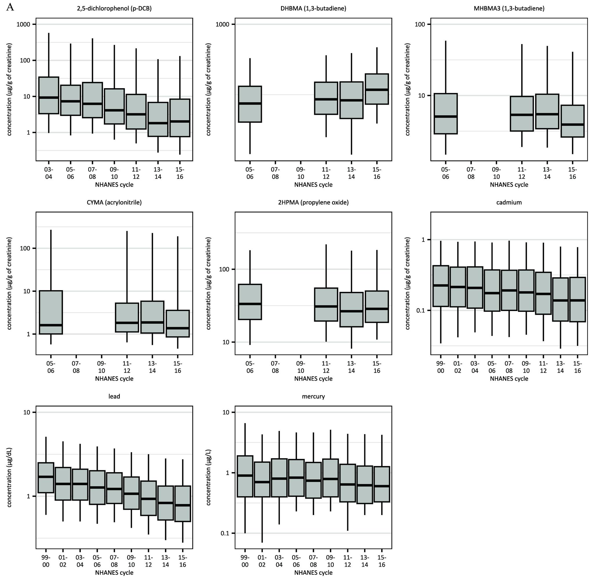
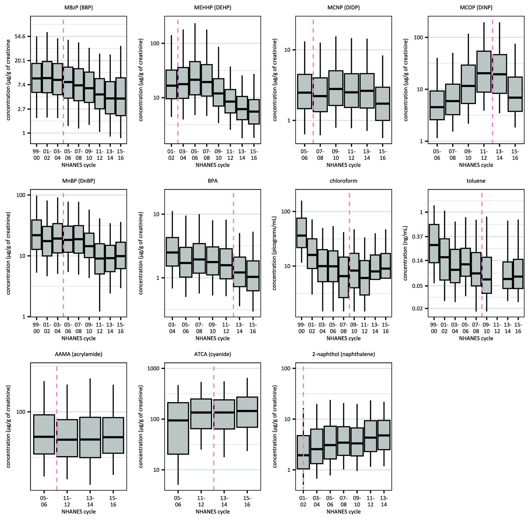
We found that concentrations of biomonitored chemicals generally declined nationwide over time irrespective of their inclusion on the Prop 65 list. Median bisphenol A (BPA) concentrations decreased 15% after BPA's listing on Prop 65, whereas concentrations of the nonlisted but closely related bisphenol S (BPS) increased 20% over this same period, suggesting chemical substitution. Californians generally had lower levels of biomonitored chemicals than the rest of the US population.

DISCUSSION

Our findings suggest that increased scientific and regulatory attention, as well as public awareness of the harms of Prop 65-listed chemicals, prompted changes in product formulations that reduced exposure to those chemicals nationwide. Trends in bisphenols and several phthalates suggest that manufacturers replaced some listed chemicals with closely related but unlisted chemicals, increasing exposure to the substitutes. Our findings have implications for the design of policies to reduce toxic exposures, biomonitoring programs to inform policy interventions, and future research into the regulatory and market forces that affect chemical exposure. https://doi.org/10.1289/EHP13956.

https://cdn.ncbi.nlm.nih.gov/pmc/blobs/d6d7/11493239/649b8b8a56ea/ehp13956_f4.jpg
https://cdn.ncbi.nlm.nih.gov/pmc/blobs/d6d7/11493239/5994aa930fab/ehp13956_f1.jpg
https://cdn.ncbi.nlm.nih.gov/pmc/blobs/d6d7/11493239/c82bce0b3540/ehp13956_f2.jpg
https://cdn.ncbi.nlm.nih.gov/pmc/blobs/d6d7/11493239/3eb023ce0b86/ehp13956_f3a.jpg
https://cdn.ncbi.nlm.nih.gov/pmc/blobs/d6d7/11493239/649b8b8a56ea/ehp13956_f4.jpg
https://cdn.ncbi.nlm.nih.gov/pmc/blobs/d6d7/11493239/5994aa930fab/ehp13956_f1.jpg
https://cdn.ncbi.nlm.nih.gov/pmc/blobs/d6d7/11493239/c82bce0b3540/ehp13956_f2.jpg
https://cdn.ncbi.nlm.nih.gov/pmc/blobs/d6d7/11493239/3eb023ce0b86/ehp13956_f3a.jpg
https://cdn.ncbi.nlm.nih.gov/pmc/blobs/d6d7/11493239/649b8b8a56ea/ehp13956_f4.jpg
摘要

背景

美国商业领域有毒化学物质的流行促使一些州通过法律来减少接触。其中一个影响广泛的法律是加州的第 65 号提案(Prop 65),该提案列出了一些会导致癌症、发育损害或生殖毒性的化学物质。该法律旨在阻止企业使用这些化学物质,并尽量减少消费者的接触。然而,一个关键问题仍未得到解答:Prop 65 是否降低了列出化学物质的人群暴露水平?

目的

我们使用美国疾病控制与预防中心(CDC)的全国生物监测数据来评估 Prop 65 对人群暴露水平的影响。

方法

我们评估了 37 种化学物质(包括邻苯二甲酸酯、酚类、挥发性有机化合物、金属、多环芳烃和全氟和多氟烷基物质)在与化学物质列入 Prop 65 时间相关的美国国家健康和营养检查调查(NHANES)参与者的血液和尿液浓度中的变化。其中,11 种在生物监测期之前列入,11 种在生物监测期期间列入,4 种在生物监测期之后列入。其余 11 种未列入,但与列入 Prop 65 的化学物质密切相关。对于有列入 Prop 65 之前和之后的生物监测数据的化学物质,我们使用差异中的差异模型估计加利福尼亚州与非加利福尼亚州之间随时间变化的浓度变化。我们使用分位数回归来估计随时间的暴露变化,以及加利福尼亚州和非加利福尼亚州在第 25、75 和 95 百分位数的差异。

结果

我们发现,无论这些化学物质是否列入 Prop 65,其生物监测浓度总体上随时间呈下降趋势。在双酚 A(BPA)列入 Prop 65 之后,BPA 的浓度下降了 15%,而与其密切相关但未列入的双酚 S(BPS)的浓度在此期间上升了 20%,表明存在化学物质替代。加利福尼亚州的参与者通常比美国其他地区的参与者具有更低的生物监测化学物质水平。

讨论

我们的研究结果表明,科学和监管关注度的增加,以及公众对列入 Prop 65 的化学物质危害的认识提高,促使产品配方发生了变化,从而降低了全国范围内对这些化学物质的暴露。双酚和几种邻苯二甲酸酯的趋势表明,制造商用与其密切相关但未列入的化学物质替代了一些列入的化学物质,增加了替代品的暴露。我们的研究结果对制定减少有毒暴露的政策、为政策干预提供信息的生物监测计划以及未来研究影响化学物质暴露的监管和市场力量具有重要意义。https://doi.org/10.1289/EHP13956.

相似文献

1
Trends in NHANES Biomonitored Exposures in California and the United States following Enactment of California's Proposition 65.加利福尼亚州 Proposition 65 颁布后,NHANES 生物监测暴露趋势:加利福尼亚州与美国对比。
Environ Health Perspect. 2024 Oct;132(10):107007. doi: 10.1289/EHP13956. Epub 2024 Oct 21.
2
The Minderoo-Monaco Commission on Plastics and Human Health.美诺集团-摩纳哥基金会塑料与人体健康委员会
Ann Glob Health. 2023 Mar 21;89(1):23. doi: 10.5334/aogh.4056. eCollection 2023.
3
Factors affecting interpretation of national biomonitoring data from multiple countries: BPA as a case study.影响多国生物监测数据解读的因素:以双酚 A 为例。
Environ Res. 2019 Jun;173:318-329. doi: 10.1016/j.envres.2019.03.047. Epub 2019 Mar 26.
4
Changes in urinary excretion of phthalates, phthalate substitutes, bisphenols and other polychlorinated and phenolic substances in young Danish men; 2009-2017.2009-2017 年丹麦年轻男性尿液中邻苯二甲酸酯、邻苯二甲酸酯替代品、双酚及其他多氯和酚类物质排泄量的变化。
Int J Hyg Environ Health. 2020 Jan;223(1):93-105. doi: 10.1016/j.ijheh.2019.10.002. Epub 2019 Oct 25.
5
Co-exposure to non-persistent organic chemicals among American pre-school aged children: A pilot study.美国学龄前儿童中同时接触非持久性有机化学物质的情况:一项试点研究。
Int J Hyg Environ Health. 2017 Mar;220(2 Pt A):55-63. doi: 10.1016/j.ijheh.2016.10.008. Epub 2016 Oct 21.
6
Characterizing Chemical Exposure Trends from NHANES Urinary Biomonitoring Data.从 NHANES 尿液生物监测数据中描述化学暴露趋势。
Environ Health Perspect. 2024 Jan;132(1):17009. doi: 10.1289/EHP12188. Epub 2024 Jan 29.
7
Temporal trends in bisphenol A exposure in the United States from 2003-2012 and factors associated with BPA exposure: Spot samples and urine dilution complicate data interpretation.2003年至2012年美国双酚A暴露的时间趋势以及与双酚A暴露相关的因素:即时样本和尿液稀释使数据解读复杂化。
Environ Res. 2015 Oct;142:84-95. doi: 10.1016/j.envres.2015.06.013. Epub 2015 Jun 26.
8
Consumer behavior and exposure to parabens, bisphenols, triclosan, dichlorophenols, and benzophenone-3: Results from a crowdsourced biomonitoring study.消费者行为与对对羟基苯甲酸酯、双酚、三氯生、二氯酚和二苯甲酮-3的暴露:一项众包生物监测研究的结果
Int J Hyg Environ Health. 2020 Sep;230:113624. doi: 10.1016/j.ijheh.2020.113624. Epub 2020 Sep 30.
9
Effects of Behavioral, Clinical, and Policy Interventions in Reducing Human Exposure to Bisphenols and Phthalates: A Scoping Review.行为、临床和政策干预措施对减少人类双酚 A 和邻苯二甲酸酯暴露的影响:范围综述。
Environ Health Perspect. 2024 Mar;132(3):36001. doi: 10.1289/EHP11760. Epub 2024 Mar 13.
10
Identifying Toxic Consumer Products: A Novel Data Set Reveals Air Emissions of Potent Carcinogens, Reproductive Toxicants, and Developmental Toxicants.识别有毒消费产品:一个新的数据集揭示了强致癌物质、生殖毒物和发育毒物的空气排放。
Environ Sci Technol. 2023 May 16;57(19):7454-7465. doi: 10.1021/acs.est.2c07247. Epub 2023 May 2.

引用本文的文献

1
How a Right-to-Know Law Shifts Industry away from Chemicals of Concern: The Case of California's Proposition 65.知情权法如何促使行业远离受关注化学品:以加利福尼亚州第65号提案为例。
Environ Sci Technol. 2025 Feb 25;59(7):3344-3354. doi: 10.1021/acs.est.4c07495. Epub 2025 Feb 12.
2
A Wide Reach: California's Prop 65 and Reduced Chemical Exposures Across the United States.广泛影响:加利福尼亚州第65号提案与美国全国范围内化学物质暴露的减少
Environ Health Perspect. 2024 Dec;132(12):124003. doi: 10.1289/EHP16435. Epub 2024 Dec 17.

本文引用的文献

1
Examining differences in menstrual and intimate care product use by race/ethnicity and education among menstruating individuals.研究不同种族/族裔和教育程度的经期女性在月经护理和私密护理产品使用方面的差异。
Front Reprod Health. 2023 Dec 6;5:1286920. doi: 10.3389/frph.2023.1286920. eCollection 2023.
2
Biomarkers of exposure in urine of active smokers, non-smokers, and vapers.尿液中主动吸烟者、非吸烟者和电子烟使用者的暴露生物标志物。
Anal Bioanal Chem. 2023 Nov;415(27):6677-6688. doi: 10.1007/s00216-023-04943-w. Epub 2023 Sep 25.
3
Evaluating Exposure to VOCs and Naphthalene for Firefighters Wearing Different PPE Configurations through Measures in Air, Exhaled Breath, and Urine.
评估穿着不同个人防护装备的消防员在空气中、呼气和尿液中接触 VOCs 和萘的情况。
Int J Environ Res Public Health. 2023 Jun 6;20(12):6057. doi: 10.3390/ijerph20126057.
4
Identifying Toxic Consumer Products: A Novel Data Set Reveals Air Emissions of Potent Carcinogens, Reproductive Toxicants, and Developmental Toxicants.识别有毒消费产品:一个新的数据集揭示了强致癌物质、生殖毒物和发育毒物的空气排放。
Environ Sci Technol. 2023 May 16;57(19):7454-7465. doi: 10.1021/acs.est.2c07247. Epub 2023 May 2.
5
Exposure to Contemporary and Emerging Chemicals in Commerce among Pregnant Women in the United States: The Environmental influences on Child Health Outcome (ECHO) Program.美国孕妇在商业环境中接触当代和新兴化学物质:环境对儿童健康结果的影响(ECHO)计划。
Environ Sci Technol. 2022 May 17;56(10):6560-6573. doi: 10.1021/acs.est.1c08942. Epub 2022 May 10.
6
1,3-Butadiene: a ubiquitous environmental mutagen and its associations with diseases.1,3 - 丁二烯:一种普遍存在的环境诱变剂及其与疾病的关联。
Genes Environ. 2022 Jan 10;44(1):3. doi: 10.1186/s41021-021-00233-y.
7
Scientific Basis for Managing PFAS as a Chemical Class.将全氟和多氟烷基物质(PFAS)作为一类化学品进行管理的科学依据。
Environ Sci Technol Lett. 2020 Aug 11;7(8):532-543. doi: 10.1021/acs.estlett.0c00255. Epub 2020 Jun 30.
8
Personal care product use among diverse women in California: Taking Stock Study.加州不同女性的个人护理产品使用情况:存量研究。
J Expo Sci Environ Epidemiol. 2021 May;31(3):487-502. doi: 10.1038/s41370-021-00327-3. Epub 2021 May 6.
9
Confronting Racism in Environmental Health Sciences: Moving the Science Forward for Eliminating Racial Inequities.直面环境健康科学中的种族主义:推进科学发展以消除种族不平等。
Environ Health Perspect. 2021 May;129(5):55002. doi: 10.1289/EHP8186. Epub 2021 May 4.
10
Do flame retardant concentrations change in dust after older upholstered furniture is replaced?更换旧的软垫家具后,灰尘中的阻燃剂浓度会发生变化吗?
Environ Int. 2021 Aug;153:106513. doi: 10.1016/j.envint.2021.106513. Epub 2021 Mar 23.