Achikanath Chirakkara Radhika, Federrath Christoph, Seta Amit
Research School of Astronomy and Astrophysics, Australian National University, Canberra, ACT 2611, Australia.
Australian Research Council Centre of Excellence in All Sky Astrophysics (ASTRO3D), Canberra, ACT 2611, Australia.
Mon Not R Astron Soc. 2024 Sep 19;534(4):3761-3782. doi: 10.1093/mnras/stae2188. eCollection 2024 Nov.
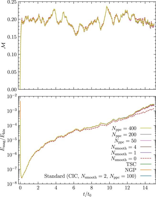
We introduce Astrophysical Hybrid-Kinetic simulations with the flash code ([Formula: see text]) - a new Hybrid particle-in-cell (PIC) code developed within the framework of the multiphysics code flash. The new code uses a second-order accurate Boris integrator and a predictor-predictor-corrector algorithm for advancing the Hybrid-kinetic equations, using the constraint transport method to ensure that magnetic fields are divergence-free. The code supports various interpolation schemes between the particles and grid cells, with post-interpolation smoothing to reduce finite particle noise. We further implement a [Formula: see text] method to study instabilities in weakly collisional plasmas. The new code is tested on standard physical problems such as the motion of charged particles in uniform and spatially varying magnetic fields, the propagation of Alfvén and whistler waves, and Landau damping of ion acoustic waves. We test different interpolation kernels and demonstrate the necessity of performing post-interpolation smoothing. We couple the turbgen turbulence driving module to the new Hybrid PIC code, allowing us to test the code on the highly complex physical problem of the turbulent dynamo. To investigate steady-state turbulence with a fixed sonic Mach number, it is important to maintain isothermal plasma conditions. Therefore, we introduce a novel cooling method for Hybrid PIC codes and provide tests and calibrations of this method to keep the plasma isothermal. We describe and test the 'hybrid precision' method, which significantly reduces (by a factor [Formula: see text]) the computational cost, without compromising the accuracy of the numerical solutions. Finally, we test the parallel scalability of the new code, showing excellent scaling up to 10,000 cores.
我们介绍了使用FLASH代码([公式:见正文])进行的天体物理混合动力学模拟——这是一种在多物理场代码FLASH框架内开发的新型混合粒子在单元(PIC)代码。新代码使用二阶精确的鲍里斯积分器和预测器-预测器-校正器算法来推进混合动力学方程,采用约束传输方法以确保磁场无散度。该代码支持粒子与网格单元之间的各种插值方案,并进行插值后平滑处理以减少有限粒子噪声。我们进一步实现了一种[公式:见正文]方法来研究弱碰撞等离子体中的不稳定性。新代码在标准物理问题上进行了测试,如带电粒子在均匀和空间变化磁场中的运动、阿尔文波和哨声波的传播以及离子声波的朗道阻尼。我们测试了不同的插值核,并证明了进行插值后平滑处理的必要性。我们将turbgen湍流驱动模块与新的混合PIC代码耦合,从而能够在湍流发电机这一高度复杂的物理问题上对代码进行测试。为了研究具有固定声马赫数的稳态湍流,保持等温等离子体条件很重要。因此,我们为混合PIC代码引入了一种新颖的冷却方法,并对该方法进行了测试和校准以保持等离子体等温。我们描述并测试了“混合精度”方法,该方法在不影响数值解准确性的情况下,显著降低(降低因子为[公式:见正文])了计算成本。最后,我们测试了新代码的并行可扩展性,结果表明在高达10000个核心的情况下具有出色的扩展性。