Suppr超能文献

壳聚糖、茉莉酸甲酯和硅诱导菜豆对由[病原体名称未给出]引起的角斑病产生抗性,并伴有防御相关基因的表达和酶活性。

Chitosan, Methyl Jasmonate, and Silicon Induce Resistance to Angular Leaf Spot in Common Bean, Caused by , with Expression of Defense-Related Genes and Enzyme Activities.

作者信息

Palacıoğlu Gülsüm

机构信息

Department of Plant Protection, Fethiye Faculty of Agriculture, Muğla Sıtkı Koçman University, 48300 Muğla, Türkiye.

出版信息

Plants (Basel). 2024 Oct 18;13(20):2915. doi: 10.3390/plants13202915.

Abstract

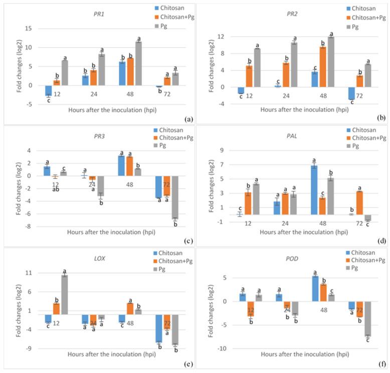
This study assessed the efficacy of chitosan, methyl jasmonate, and silicon in the reduction of disease severity and the induction of defense responses in common bean plants against angular leaf spot caused by The expression level of several pathogenesis-related (PR) proteins, PR1, PR2 (β-1,3-glucanase), and PR3 (chitinase), and defense-related enzymes, phenylalanine ammonia-lyase, peroxidase, and lipoxygenase, was analyzed at different time points in common bean plants after different treatments. Elicitor treatments significantly reduced disease severity 21 days after inoculation, with silicon at a 2 mM concentration proving most effective with 38.93% disease control, followed by 1 mM MeJA and 2% chitosan, respectively. Treatments with chitosan, methyl jasmonate, and silicon, regardless of pathogen infection, significantly elevated , , and gene expressions at 48 h after inoculation (hpi). PAL and POD activities were similarly increased following elicitor treatments and pathogen infection, especially at 48 hpi. Chemical elicitors applied post-inoculation induced PR proteins, PAL, and POD enzyme activities at 48 hpi, while LOX activity exhibited a variable fluctuation with treatments. These findings suggested that chemical elicitors, especially silicon, were effective in reducing ALS disease severity in common beans, with improved resistance associated with the expression of pathogen-responsive genes. This study is the first to analyze the expression profiles of defense-related genes in common beans treated with chemical elicitors prior to . infection.

摘要

本研究评估了壳聚糖、茉莉酸甲酯和硅在降低菜豆植株病害严重程度以及诱导其对由[病原体名称未给出]引起的角斑病产生防御反应方面的功效。在不同处理后的不同时间点,分析了几种病程相关(PR)蛋白(PR1、PR2(β-1,3-葡聚糖酶)和PR3(几丁质酶))以及防御相关酶(苯丙氨酸解氨酶、过氧化物酶和脂氧合酶)的表达水平。诱导处理在接种后21天显著降低了病害严重程度,2 mM浓度的硅最为有效,病害防治率为38.93%,其次分别是1 mM茉莉酸甲酯和2%壳聚糖。无论是否受到病原体感染,壳聚糖、茉莉酸甲酯和硅处理在接种后48小时(hpi)均显著提高了[相关基因名称未给出]、[相关基因名称未给出]和[相关基因名称未给出]的基因表达。诱导处理和病原体感染后,苯丙氨酸解氨酶(PAL)和过氧化物酶(POD)活性同样增加,尤其是在48 hpi时。接种后施用化学诱导剂在48 hpi时诱导了PR蛋白、PAL和POD酶活性,而脂氧合酶(LOX)活性随处理呈现出不同的波动。这些发现表明,化学诱导剂,尤其是硅,在降低菜豆角斑病病害严重程度方面有效,抗性提高与病原体响应基因的表达有关。本研究首次分析了在[病原体感染未给出]之前用化学诱导剂处理的菜豆中防御相关基因的表达谱。

https://cdn.ncbi.nlm.nih.gov/pmc/blobs/13d5/11511326/9ecbf333a9b3/plants-13-02915-g001.jpg

文献检索

告别复杂PubMed语法,用中文像聊天一样搜索,搜遍4000万医学文献。AI智能推荐,让科研检索更轻松。

立即免费搜索

文件翻译

保留排版,准确专业,支持PDF/Word/PPT等文件格式,支持 12+语言互译。

免费翻译文档

深度研究

AI帮你快速写综述,25分钟生成高质量综述,智能提取关键信息,辅助科研写作。

立即免费体验