• 文献检索
  • 文档翻译
  • 深度研究
  • 学术资讯
  • Suppr Zotero 插件Zotero 插件
  • 邀请有礼
  • 套餐&价格
  • 历史记录
应用&插件
Suppr Zotero 插件Zotero 插件浏览器插件Mac 客户端Windows 客户端微信小程序
定价
高级版会员购买积分包购买API积分包
服务
文献检索文档翻译深度研究API 文档MCP 服务
关于我们
关于 Suppr公司介绍联系我们用户协议隐私条款
关注我们

Suppr 超能文献

核心技术专利:CN118964589B侵权必究
粤ICP备2023148730 号-1Suppr @ 2026

文献检索

告别复杂PubMed语法,用中文像聊天一样搜索,搜遍4000万医学文献。AI智能推荐,让科研检索更轻松。

立即免费搜索

文件翻译

保留排版,准确专业,支持PDF/Word/PPT等文件格式,支持 12+语言互译。

免费翻译文档

深度研究

AI帮你快速写综述,25分钟生成高质量综述,智能提取关键信息,辅助科研写作。

立即免费体验

一种基于机器学习的放射组学方法用于预测胃癌中第14v组淋巴结转移

A machine learning based radiomics approach for predicting No. 14v station lymph node metastasis in gastric cancer.

作者信息

Ma Tingting, Zhao Mengran, Li Xiangli, Song Xiangchao, Wang Lingwei, Ye Zhaoxiang

机构信息

Department of Radiology, Tianjin Cancer Hospital Airport Hospital, Tianjin, China.

Department of Radiology, Tianjin Medical University Cancer Institute and Hospital, Tianjin, China.

出版信息

Front Med (Lausanne). 2024 Oct 18;11:1464632. doi: 10.3389/fmed.2024.1464632. eCollection 2024.

DOI:10.3389/fmed.2024.1464632
PMID:39493708
原文链接:https://pmc.ncbi.nlm.nih.gov/articles/PMC11527654/
Abstract

PURPOSE

To evaluate the potential of radiomics approach for predicting No. 14v station lymph node metastasis (14vM) in gastric cancer (GC).

METHODS

The contrast enhanced CT (CECT) images with corresponding clinical information of 288 GC patients were retrospectively collected. Patients were separated into training set ( = 202) and testing set ( = 86). A total of 1,316 radiomics feature were extracted from portal venous phase images of CECT. Seven machine learning (ML) algorithms including naïve Bayes (NB), -nearest neighbor (KNN), decision tree (DT), logistic regression (LR), random forest (RF), eXtreme gradient boosting (XGBoost) and support vector machine (SVM) were trained for development of optimal radiomics signature. A combined model was established by combining radiomics with important clinicopathological factors. The diagnostic ability of the signature and model were evaluated.

RESULTS

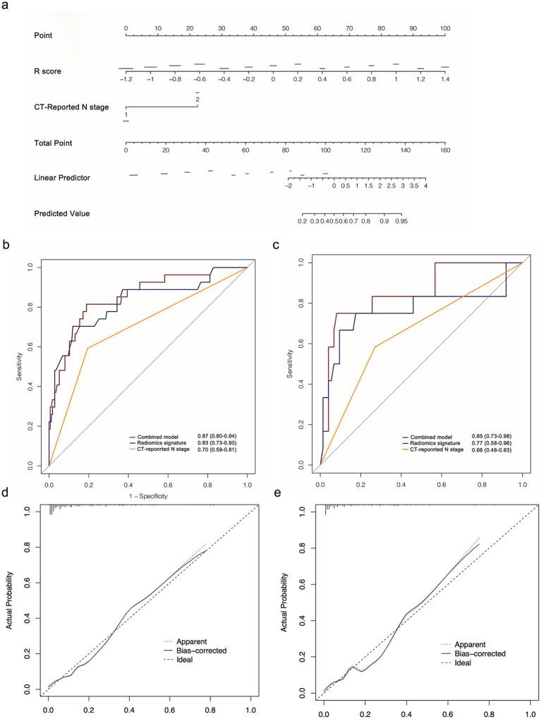
LR algorithm was chosen for signature construction. The radiomics signature exhibited good discrimination accuracy of 14vM with AUCs of 0.83 in the training and 0.77 in the testing set. The risk of 14vM showed significant association with higher radiomics score. A combined model exhibited increased predictive ability and good agreement in the training (AUC = 0.87) and testing (AUC = 0.85) sets.

CONCLUSION

The ML-based radiomics model provided a promising image biomarker for preoperative detection of 14vM and may help the surgeon to decide whether to add 14v dissection to lymphadenectomy.

摘要

目的

评估放射组学方法预测胃癌(GC)中14v组淋巴结转移(14vM)的潜力。

方法

回顾性收集288例GC患者的对比增强CT(CECT)图像及相应临床信息。将患者分为训练集(n = 202)和测试集(n = 86)。从CECT门静脉期图像中提取了总共1316个放射组学特征。对包括朴素贝叶斯(NB)、K近邻(KNN)、决策树(DT)、逻辑回归(LR)、随机森林(RF)、极端梯度提升(XGBoost)和支持向量机(SVM)在内的七种机器学习(ML)算法进行训练,以开发最佳放射组学特征。通过将放射组学与重要的临床病理因素相结合建立联合模型。评估该特征和模型的诊断能力。

结果

选择LR算法构建特征。放射组学特征对14vM表现出良好的鉴别准确性,训练集中的AUC为0.83,测试集中为0.77。14vM的风险与较高的放射组学评分显著相关。联合模型在训练集(AUC = 0.87)和测试集(AUC = 0.85)中表现出更高的预测能力和良好的一致性。

结论

基于ML的放射组学模型为术前检测14vM提供了一种有前景的影像生物标志物,可能有助于外科医生决定是否在淋巴结清扫术中增加14v组清扫。

https://cdn.ncbi.nlm.nih.gov/pmc/blobs/fb9b/11527654/47f8c80db9c3/fmed-11-1464632-g005.jpg
https://cdn.ncbi.nlm.nih.gov/pmc/blobs/fb9b/11527654/15c220cdcca0/fmed-11-1464632-g001.jpg
https://cdn.ncbi.nlm.nih.gov/pmc/blobs/fb9b/11527654/1f18a5e689c1/fmed-11-1464632-g002.jpg
https://cdn.ncbi.nlm.nih.gov/pmc/blobs/fb9b/11527654/b31abac37e8a/fmed-11-1464632-g003.jpg
https://cdn.ncbi.nlm.nih.gov/pmc/blobs/fb9b/11527654/6dbbe0230b6c/fmed-11-1464632-g004.jpg
https://cdn.ncbi.nlm.nih.gov/pmc/blobs/fb9b/11527654/47f8c80db9c3/fmed-11-1464632-g005.jpg
https://cdn.ncbi.nlm.nih.gov/pmc/blobs/fb9b/11527654/15c220cdcca0/fmed-11-1464632-g001.jpg
https://cdn.ncbi.nlm.nih.gov/pmc/blobs/fb9b/11527654/1f18a5e689c1/fmed-11-1464632-g002.jpg
https://cdn.ncbi.nlm.nih.gov/pmc/blobs/fb9b/11527654/b31abac37e8a/fmed-11-1464632-g003.jpg
https://cdn.ncbi.nlm.nih.gov/pmc/blobs/fb9b/11527654/6dbbe0230b6c/fmed-11-1464632-g004.jpg
https://cdn.ncbi.nlm.nih.gov/pmc/blobs/fb9b/11527654/47f8c80db9c3/fmed-11-1464632-g005.jpg

相似文献

1
A machine learning based radiomics approach for predicting No. 14v station lymph node metastasis in gastric cancer.一种基于机器学习的放射组学方法用于预测胃癌中第14v组淋巴结转移
Front Med (Lausanne). 2024 Oct 18;11:1464632. doi: 10.3389/fmed.2024.1464632. eCollection 2024.
2
The value of machine learning based radiomics model in preoperative detection of perineural invasion in gastric cancer: a two-center study.基于机器学习的影像组学模型在胃癌术前检测神经周围侵犯中的价值:一项双中心研究。
Front Oncol. 2023 Jun 14;13:1205163. doi: 10.3389/fonc.2023.1205163. eCollection 2023.
3
The CT-based intratumoral and peritumoral machine learning radiomics analysis in predicting lymph node metastasis in rectal carcinoma.基于CT的肿瘤内及瘤周机器学习影像组学分析在预测直肠癌淋巴结转移中的应用
BMC Gastroenterol. 2022 Nov 16;22(1):463. doi: 10.1186/s12876-022-02525-1.
4
Computed tomography-based radiomics machine learning classifiers to differentiate type I and type II epithelial ovarian cancers.基于计算机断层扫描的放射组学机器学习分类器,以区分 I 型和 II 型上皮性卵巢癌。
Eur Radiol. 2023 Jul;33(7):5193-5204. doi: 10.1007/s00330-022-09318-w. Epub 2022 Dec 14.
5
Machine Learning Model for Predicting Axillary Lymph Node Metastasis in Clinically Node Positive Breast Cancer Based on Peritumoral Ultrasound Radiomics and SHAP Feature Analysis.基于瘤周超声影像组学和SHAP特征分析的临床淋巴结阳性乳腺癌腋窝淋巴结转移预测机器学习模型
J Ultrasound Med. 2024 Sep;43(9):1611-1625. doi: 10.1002/jum.16483. Epub 2024 May 29.
6
Noninvasive prediction of lymph node metastasis in pancreatic cancer using an ultrasound-based clinicoradiomics machine learning model.基于超声的临床放射组学机器学习模型无创预测胰腺癌淋巴结转移。
Biomed Eng Online. 2024 Jun 18;23(1):56. doi: 10.1186/s12938-024-01259-3.
7
Multimodality radiomics prediction of radiotherapy-induced the early proctitis and cystitis in rectal cancer patients: a machine learning study.多模态放射组学预测直肠癌患者放疗诱导的早期直肠炎和膀胱炎:一项机器学习研究。
Biomed Phys Eng Express. 2023 Dec 20;10(1). doi: 10.1088/2057-1976/ad0f3e.
8
Prediction of the Ki-67 expression level in head and neck squamous cell carcinoma with machine learning-based multiparametric MRI radiomics: a multicenter study.基于机器学习的多参数 MRI 放射组学对头颈部鳞状细胞癌 Ki-67 表达水平的预测:一项多中心研究。
BMC Cancer. 2024 Apr 5;24(1):418. doi: 10.1186/s12885-024-12026-x.
9
Computed Tomography-Based Radiomics Model to Predict Central Cervical Lymph Node Metastases in Papillary Thyroid Carcinoma: A Multicenter Study.基于计算机断层扫描的影像组学模型预测甲状腺乳头状癌中央颈部淋巴结转移:一项多中心研究。
Front Endocrinol (Lausanne). 2021 Oct 21;12:741698. doi: 10.3389/fendo.2021.741698. eCollection 2021.
10
Machine learning model based on enhanced CT radiomics for the preoperative prediction of lymphovascular invasion in esophageal squamous cell carcinoma.基于增强CT影像组学的机器学习模型用于术前预测食管鳞状细胞癌的淋巴管侵犯
Front Oncol. 2024 Feb 23;14:1308317. doi: 10.3389/fonc.2024.1308317. eCollection 2024.

引用本文的文献

1
Muscle-Driven prognostication in gastric cancer: A multicenter deep learning framework integrating Iliopsoas and erector spinae radiomics for 5-Year survival prediction.肌肉驱动的胃癌预后评估:一个整合髂腰肌和竖脊肌影像组学的多中心深度学习框架用于5年生存预测。
Sci Rep. 2025 Jul 1;15(1):22347. doi: 10.1038/s41598-025-09083-y.
2
Machine learning models for prediction of lymph node metastasis in patients with gastric cancer: a Chinese single-centre study with external validation in an Asian American population.用于预测胃癌患者淋巴结转移的机器学习模型:一项在中国单中心开展并在亚裔美国人群中进行外部验证的研究
BMJ Open. 2025 Mar 25;15(3):e098476. doi: 10.1136/bmjopen-2024-098476.

本文引用的文献

1
A review of radiomics and genomics applications in cancers: the way towards precision medicine.放射组学和基因组学在癌症中的应用综述:迈向精准医学之路。
Radiat Oncol. 2022 Dec 30;17(1):217. doi: 10.1186/s13014-022-02192-2.
2
A radiomics nomogram for the ultrasound-based evaluation of central cervical lymph node metastasis in papillary thyroid carcinoma.基于超声的甲状腺乳头状癌中央颈部淋巴结转移的放射组学列线图。
Front Endocrinol (Lausanne). 2022 Nov 30;13:1064434. doi: 10.3389/fendo.2022.1064434. eCollection 2022.
3
Comparison of MRI and CT-Based Radiomics and Their Combination for Early Identification of Pathological Response to Neoadjuvant Chemotherapy in Locally Advanced Gastric Cancer.
基于MRI和CT的影像组学及其联合应用在局部进展期胃癌新辅助化疗病理反应早期识别中的比较
J Magn Reson Imaging. 2023 Sep;58(3):907-923. doi: 10.1002/jmri.28570. Epub 2022 Dec 17.
4
Development and validation of a deep learning signature for predicting lymph node metastasis in lung adenocarcinoma: comparison with radiomics signature and clinical-semantic model.用于预测肺腺癌淋巴结转移的深度学习特征的开发与验证:与影像组学特征及临床语义模型的比较
Eur Radiol. 2023 Mar;33(3):1949-1962. doi: 10.1007/s00330-022-09153-z. Epub 2022 Sep 28.
5
Novel CT based clinical nomogram comparable to radiomics model for identification of occult peritoneal metastasis in advanced gastric cancer.基于 CT 的新型临床列线图可与放射组学模型媲美,用于识别晚期胃癌隐匿性腹膜转移。
Eur J Surg Oncol. 2022 Oct;48(10):2166-2173. doi: 10.1016/j.ejso.2022.06.034. Epub 2022 Jun 30.
6
Radiomics-Based Preoperative Prediction of Lymph Node Metastasis in Intrahepatic Cholangiocarcinoma Using Contrast-Enhanced Computed Tomography.基于影像组学的增强 CT 术前预测肝内胆管细胞癌淋巴结转移
Ann Surg Oncol. 2022 Oct;29(11):6786-6799. doi: 10.1245/s10434-022-12028-8. Epub 2022 Jul 4.
7
Radiomics in precision medicine for gastric cancer: opportunities and challenges.精准医学中的胃癌放射组学:机遇与挑战。
Eur Radiol. 2022 Sep;32(9):5852-5868. doi: 10.1007/s00330-022-08704-8. Epub 2022 Mar 22.
8
Gastric Cancer, Version 2.2022, NCCN Clinical Practice Guidelines in Oncology.《胃癌,第2.2022版,美国国立综合癌症网络(NCCN)肿瘤学临床实践指南》
J Natl Compr Canc Netw. 2022 Feb;20(2):167-192. doi: 10.6004/jnccn.2022.0008.
9
Clinical Significance of Metastasis or Micrometastasis to the Lymph Node Along the Superior Mesenteric Vein in Gastric Carcinoma: A Retrospective Analysis.胃癌肠系膜上静脉旁淋巴结转移或微转移的临床意义:一项回顾性分析
Front Oncol. 2021 Jul 29;11:707249. doi: 10.3389/fonc.2021.707249. eCollection 2021.
10
The role of [18F]FDG PET/CT for gastric cancer management.[18F]FDG PET/CT 在胃癌管理中的作用。
Nucl Med Rev Cent East Eur. 2021;24(2):99-103. doi: 10.5603/NMR.2021.0021.