Suppr超能文献

行星健康饮食指数与美国人群生物老化的关系。

Association between the Planetary Health Diet Index and biological aging among the U.S. population.

机构信息

Department of Oncology Surgery, Fuzhou Hospital of Traditional Chinese Medicine Affiliated to Fujian University of Traditional Chinese Medicine, Fuzhou, Fujian, China.

College of Clinical Medicine, Chengdu University of Traditional Chinese Medicine, Chengdu, Sichuan, China.

出版信息

Front Public Health. 2024 Oct 22;12:1482959. doi: 10.3389/fpubh.2024.1482959. eCollection 2024.

Abstract

BACKGROUND

The Planetary Health Diet (PHD) is a novel dietary pattern proposed by the EAT-Lancet Commission in 2019, yet a limited study has investigated the anti-aging effects of PHD to date.

OBJECTIVES

This study aimed to explore the association between adherence to PHD, as quantified by the Planetary Health Diet Index (PHDI), and biological aging in American populations.

METHODS

Data were obtained from the National Health and Nutrition Examination Survey (NHANES) for 1999-2018. Food consumption information was relied on two 24-h diet recall questionnaires. The biological aging condition was comprehensively assessed by four biological markers, including phenotypic age, biological age, telomere length, and klotho concentration. Weighted multivariate linear models, restricted cubic spline (RCS), and subgroup analysis were subsequently carried out to evaluate the influence of PHDI on biological aging.

RESULTS

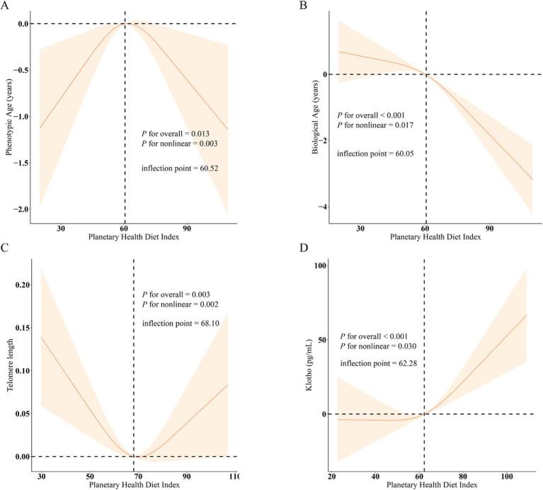
44,925 participants with complete data were finally enrolled in our study. The fully adjusted models showed decreased 0.20 years in phenotypic age [-0.20 (-0.31, -0.10)] and declined 0.54 years in biological age [-0.54 (-0.69, -0.38)] correlated with PHDI per 10 scores increment. Klotho concentration [6.2 (1.0, 11.0)] was positively related to PHDI. In Model 2, telomere length increased by 0.02 bp for every 10-point rise in PHDI. Besides, the RCS analysis results exhibited a curvilinear relationship between PHDI and four indicators.

CONCLUSION

Our study explored a significant correlation between PHDI and biological aging, indicating that adherence to PHD may prevent biological aging.

摘要

背景

行星健康饮食(PHD)是 EAT-柳叶刀委员会于 2019 年提出的一种新的饮食模式,但迄今为止,很少有研究调查 PHD 的抗衰老作用。

目的

本研究旨在探讨美国人群中 PHDI 所代表的 PHD 依从性与生物衰老之间的关系。

方法

数据来自 1999-2018 年的国家健康和营养调查(NHANES)。食物消费信息依赖于两份 24 小时饮食回忆问卷。通过四个生物标志物综合评估生物衰老状况,包括表型年龄、生物年龄、端粒长度和 klotho 浓度。随后进行加权多变量线性模型、限制性立方样条(RCS)和亚组分析,以评估 PHDI 对生物衰老的影响。

结果

最终纳入了 44925 名具有完整数据的参与者。完全调整模型显示,PHDI 每增加 10 分,表型年龄降低 0.20 岁[-0.20(-0.31,-0.10)],生物年龄降低 0.54 岁[-0.54(-0.69,-0.38)]。klotho 浓度[6.2(1.0,11.0)]与 PHDI 呈正相关。在模型 2 中,每增加 10 分 PHDI,端粒长度增加 0.02 bp。此外,RCS 分析结果显示 PHDI 与四个指标之间存在曲线关系。

结论

本研究探讨了 PHDI 与生物衰老之间的显著相关性,表明 PHD 的依从性可能预防生物衰老。

https://cdn.ncbi.nlm.nih.gov/pmc/blobs/0f37/11534585/89265be58a94/fpubh-12-1482959-g001.jpg

文献检索

告别复杂PubMed语法,用中文像聊天一样搜索,搜遍4000万医学文献。AI智能推荐,让科研检索更轻松。

立即免费搜索

文件翻译

保留排版,准确专业,支持PDF/Word/PPT等文件格式,支持 12+语言互译。

免费翻译文档

深度研究

AI帮你快速写综述,25分钟生成高质量综述,智能提取关键信息,辅助科研写作。

立即免费体验