Suppr超能文献

深度学习在机器人前列腺切除术中的语义分割应用:卷积神经网络与视觉转换器的比较。

Application of deep learning for semantic segmentation in robotic prostatectomy: Comparison of convolutional neural networks and visual transformers.

机构信息

Department of Urology, Kangnam Sacred Heart Hospital, Hallym University College of Medicine, Seoul, Korea.

STARLABS Corp., Seoul, Korea.

出版信息

Investig Clin Urol. 2024 Nov;65(6):551-558. doi: 10.4111/icu.20240159.

Abstract

PURPOSE

Semantic segmentation is a fundamental part of the surgical application of deep learning. Traditionally, segmentation in vision tasks has been performed using convolutional neural networks (CNNs), but the transformer architecture has recently been introduced and widely investigated. We aimed to investigate the performance of deep learning models in segmentation in robot-assisted radical prostatectomy (RARP) and identify which of the architectures is superior for segmentation in robotic surgery.

MATERIALS AND METHODS

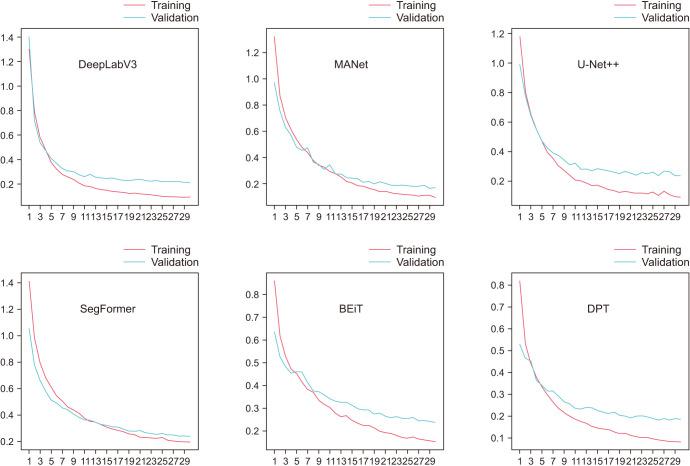
Intraoperative images during RARP were obtained. The dataset was randomly split into training and validation data. Segmentation of the surgical instruments, bladder, prostate, vas and seminal vesicle was performed using three CNN models (DeepLabv3, MANet, and U-Net++) and three transformers (SegFormer, BEiT, and DPT), and their performances were analyzed.

RESULTS

The overall segmentation performance during RARP varied across different model architectures. For the CNN models, DeepLabV3 achieved a mean Dice score of 0.938, MANet scored 0.944, and U-Net++ reached 0.930. For the transformer architectures, SegFormer attained a mean Dice score of 0.919, BEiT scored 0.916, and DPT achieved 0.940. The performance of CNN models was superior to that of transformer models in segmenting the prostate, vas, and seminal vesicle.

CONCLUSIONS

Deep learning models provided accurate segmentation of the surgical instruments and anatomical structures observed during RARP. Both CNN and transformer models showed reliable predictions in the segmentation task; however, CNN models may be more suitable than transformer models for organ segmentation and may be more applicable in unusual cases. Further research with large datasets is needed.

摘要

目的

语义分割是深度学习在外科应用中的一个基本部分。传统上,视觉任务中的分割是使用卷积神经网络(CNN)完成的,但最近引入了并广泛研究了变压器架构。我们旨在研究深度学习模型在机器人辅助根治性前列腺切除术(RARP)中的分割性能,并确定哪种架构更适合机器人手术中的分割。

材料和方法

在 RARP 期间获得了术中图像。数据集随机分为训练和验证数据。使用三个 CNN 模型(DeepLabv3、MANet 和 U-Net++)和三个变压器(SegFormer、BEiT 和 DPT)对手术器械、膀胱、前列腺、血管和精囊进行分割,并分析其性能。

结果

在 RARP 期间,整体分割性能因模型架构而异。对于 CNN 模型,DeepLabV3 的平均 Dice 得分为 0.938,MANet 得分为 0.944,U-Net++ 达到 0.930。对于变压器架构,SegFormer 的平均 Dice 得分为 0.919,BEiT 的得分为 0.916,DPT 的得分为 0.940。CNN 模型在分割前列腺、血管和精囊方面的性能优于变压器模型。

结论

深度学习模型能够准确分割 RARP 期间观察到的手术器械和解剖结构。CNN 和变压器模型在分割任务中均表现出可靠的预测能力;然而,与变压器模型相比,CNN 模型可能更适合器官分割,并且在异常情况下可能更适用。需要进一步使用大型数据集进行研究。

https://cdn.ncbi.nlm.nih.gov/pmc/blobs/e76e/11543645/b01525644c04/icu-65-551-g001.jpg

文献检索

告别复杂PubMed语法,用中文像聊天一样搜索,搜遍4000万医学文献。AI智能推荐,让科研检索更轻松。

立即免费搜索

文件翻译

保留排版,准确专业,支持PDF/Word/PPT等文件格式,支持 12+语言互译。

免费翻译文档

深度研究

AI帮你快速写综述,25分钟生成高质量综述,智能提取关键信息,辅助科研写作。

立即免费体验