Suppr超能文献

网络分析 COVID-19 大流行期间学生的抑郁和焦虑症状与幸福感的关系:一项重复的横断面研究。

Network analysis of depressive and anxiety symptoms with well-being in students during the COVID-19 pandemic: a repeated cross-sectional study.

机构信息

Department of Social Sciences, Faculty of Medicine, Academy of Silesia, 40-555, Katowice, Poland.

Department of Molecular Biology and Genetics, Faculty of Medicine, Academy of Silesia, 40-555, Katowice, Poland.

出版信息

Sci Rep. 2024 Nov 20;14(1):28789. doi: 10.1038/s41598-024-80095-w.

Abstract

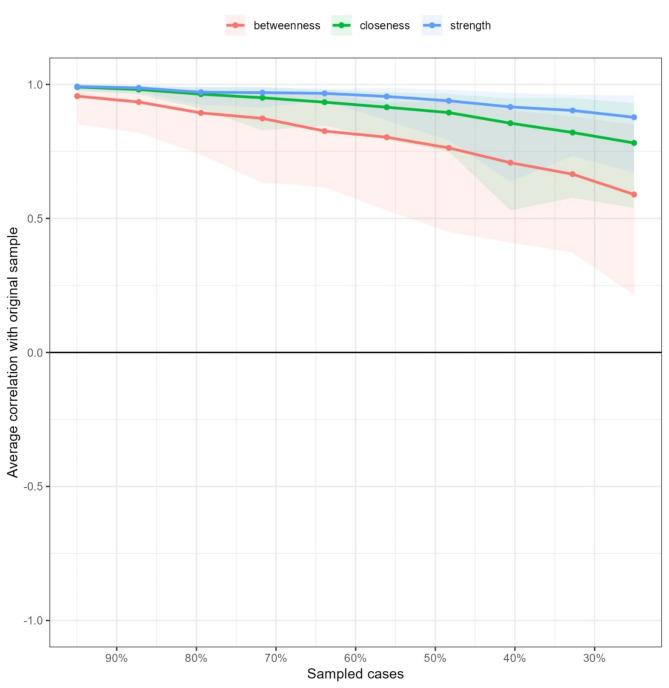
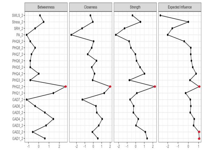
The university student population is particularly vulnerable to depression, which was identified during the COVID-19 pandemic. Understanding how depressive symptoms are interrelated with mental and physical health in students is essential. The aim of this study was to reveal the network of depressive and anxiety symptoms with respect to well-being (life satisfaction, physical health, physical activity, and perceived stress) during a difficult situation-the COVID-19 pandemic-at two measurement points of different pandemic severities. A repeated cross-sectional study was conducted in June 2020 (T1) (lower pandemic severity) and March 2021 (T2) (higher pandemic severity) among 592 and 1230 Czech university students, respectively. The measurements used were the PHQ-9, GAD-7, PSS-10, SWLS, self-rated physical health (SRH), and sociodemographic survey. The network analysis approach was utilized. For the significance of differences, the χ test, Student's t test, and ANOVA were performed. The results revealed that scale-level depression, stress, and worse SRH increased over time, whereas life satisfaction decreased. Scale-level anxiety and physical activity were stable over time. PHQ2 Sad mood was the most central and influential node at T1 and T2. PHQ9 Suicidal Ideation was closely related to other variables at T1, whereas PHQ1 Anhedonia was closely related to other variables at T2. The most influential risk factors were the PHQ-2 score and the GAD-2 score, which are associated with uncontrollable worrying, whereas life satisfaction, physical health, and physical activity were the most protective factors. It is crucial to recognize and decrease the PHQ2 score and increase life satisfaction to improve the mental health of university students.

摘要

大学生群体尤其容易受到抑郁的影响,而这在 COVID-19 大流行期间已得到确认。了解学生的抑郁症状与身心健康之间的相互关系至关重要。本研究的目的是揭示在困难时期(COVID-19 大流行)中,抑郁和焦虑症状与幸福感(生活满意度、身体健康、身体活动和感知压力)之间的网络关系,在两个不同大流行严重程度的测量点进行。在 2020 年 6 月(T1)(大流行严重程度较低)和 2021 年 3 月(T2)(大流行严重程度较高),分别对 592 名和 1230 名捷克大学生进行了重复的横断面研究。使用的测量工具包括 PHQ-9、GAD-7、PSS-10、SWLS、自我评估身体健康(SRH)和社会人口学调查。采用网络分析方法。对于差异的显著性,进行了 χ 检验、学生 t 检验和 ANOVA。结果显示,随着时间的推移,量表水平的抑郁、压力和更差的 SRH 增加,而生活满意度降低。量表水平的焦虑和身体活动保持稳定。PHQ2 悲伤情绪在 T1 和 T2 时是最中心和最有影响力的节点。PHQ9 自杀意念在 T1 时与其他变量密切相关,而 PHQ1 快感缺失在 T2 时与其他变量密切相关。最具影响力的风险因素是 PHQ-2 评分和 GAD-2 评分,与无法控制的担忧相关,而生活满意度、身体健康和身体活动是最具保护作用的因素。认识到并降低 PHQ2 评分并提高生活满意度对于改善大学生的心理健康至关重要。

https://cdn.ncbi.nlm.nih.gov/pmc/blobs/7a5a/11579462/62092dd93a1f/41598_2024_80095_Fig1_HTML.jpg

文献检索

告别复杂PubMed语法,用中文像聊天一样搜索,搜遍4000万医学文献。AI智能推荐,让科研检索更轻松。

立即免费搜索

文件翻译

保留排版,准确专业,支持PDF/Word/PPT等文件格式,支持 12+语言互译。

免费翻译文档

深度研究

AI帮你快速写综述,25分钟生成高质量综述,智能提取关键信息,辅助科研写作。

立即免费体验