Suppr超能文献

对精英运动员进行心理干预以减轻使用兴奋剂带来的心理运动后果:人格的调节作用。

Testing a Psychological Intervention in Elite Athletes to Alleviate the Psychomotor Consequences of Doping: The Moderating Role of Personality.

作者信息

Coli Eugen, Zgrean Leon, Grigore Monica, Popa-Wagner Aurel

机构信息

Doctoral School, University of Medicine and Pharmacy "Carol Davila", Bucharest, Romania.

University of Medicine and Pharmacy "Carol Davila", Bucharest, Romania.

出版信息

Curr Health Sci J. 2024 Jul-Sep;50(3):392-404. doi: 10.12865/CHSJ.50.03.06. Epub 2024 Sep 30.

Abstract

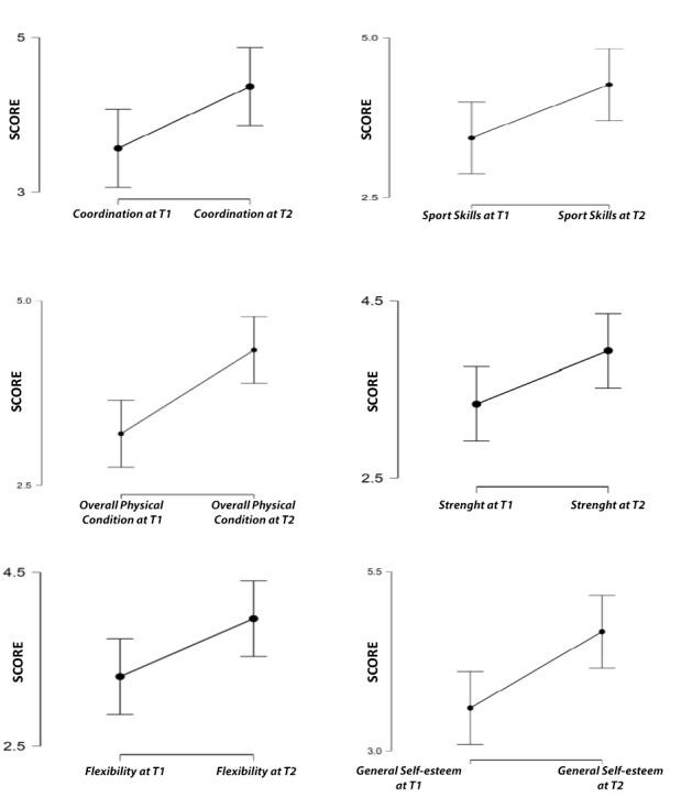
This study aimed to evaluate a psychological intervention intended to reduce the psychomotor effects of doping. The research also examined how conscientiousness and emotional stability moderated the intervention's effectiveness. The intervention was developed based on the literature and included two components: biofeedback and mental imagery/rehearsal. Athletes reported higher scores post-intervention in coordination, sports skills, overall physical condition, strength, flexibility, endurance, and general self-esteem. Similar results have been observed in previous studies related to biofeedback and mental imagery. According to the results, athletes with higher conscientiousness benefited more from the intervention in terms of coordination, flexibility, and endurance. The data support the idea that emotionally stable athletes benefit more from the intervention in terms of overall physical condition and general self-esteem. Theoretically, the studies highlight the importance of psychological interventions in enhancing athletes' psychomotor performance and the interaction between these interventions and individual differences among participants. The findings are relevant for sports psychology practitioners, as they provide additional evidence for the use of biofeedback and mental imagery with athletes.

摘要

本研究旨在评估一项旨在减轻使用兴奋剂对心理运动产生的影响的心理干预措施。该研究还考察了尽责性和情绪稳定性如何调节该干预措施的效果。该干预措施是根据文献开发的,包括两个组成部分:生物反馈和心理意象/演练。运动员在干预后报告称,他们在协调性、运动技能、整体身体状况、力量、柔韧性、耐力和总体自尊方面的得分更高。在先前与生物反馈和心理意象相关的研究中也观察到了类似的结果。根据研究结果,尽责性较高的运动员在协调性、柔韧性和耐力方面从干预中获益更多。数据支持这样一种观点,即情绪稳定的运动员在整体身体状况和总体自尊方面从干预中获益更多。从理论上讲,这些研究凸显了心理干预在提高运动员心理运动表现方面的重要性,以及这些干预措施与参与者个体差异之间的相互作用。这些研究结果对运动心理学从业者具有参考价值,因为它们为对运动员使用生物反馈和心理意象提供了更多证据。

https://cdn.ncbi.nlm.nih.gov/pmc/blobs/3c8e/11578365/6433b99c1753/CHSJ-50-03-392-fig1.jpg

文献检索

告别复杂PubMed语法,用中文像聊天一样搜索,搜遍4000万医学文献。AI智能推荐,让科研检索更轻松。

立即免费搜索

文件翻译

保留排版,准确专业,支持PDF/Word/PPT等文件格式,支持 12+语言互译。

免费翻译文档

深度研究

AI帮你快速写综述,25分钟生成高质量综述,智能提取关键信息,辅助科研写作。

立即免费体验