• 文献检索
  • 文档翻译
  • 深度研究
  • 学术资讯
  • Suppr Zotero 插件Zotero 插件
  • 邀请有礼
  • 套餐&价格
  • 历史记录
应用&插件
Suppr Zotero 插件Zotero 插件浏览器插件Mac 客户端Windows 客户端微信小程序
定价
高级版会员购买积分包购买API积分包
服务
文献检索文档翻译深度研究API 文档MCP 服务
关于我们
关于 Suppr公司介绍联系我们用户协议隐私条款
关注我们

Suppr 超能文献

核心技术专利:CN118964589B侵权必究
粤ICP备2023148730 号-1Suppr @ 2026

文献检索

告别复杂PubMed语法,用中文像聊天一样搜索,搜遍4000万医学文献。AI智能推荐,让科研检索更轻松。

立即免费搜索

文件翻译

保留排版,准确专业,支持PDF/Word/PPT等文件格式,支持 12+语言互译。

免费翻译文档

深度研究

AI帮你快速写综述,25分钟生成高质量综述,智能提取关键信息,辅助科研写作。

立即免费体验

利用电子健康记录预测儿科人群的粮食不安全状况。

Predicting food insecurity in a pediatric population using the electronic health record.

作者信息

Rigdon Joseph, Montez Kimberly, Palakshappa Deepak, Brown Callie, Downs Stephen M, Albertini Laurie W, Taxter Alysha

机构信息

Department of Biostatistics and Data Science, Wake Forest School of Medicine, Winston-Salem, USA.

Department of Pediatrics, Wake Forest School of Medicine, Winston-Salem, USA.

出版信息

J Clin Transl Sci. 2024 Oct 28;8(1):e195. doi: 10.1017/cts.2024.645. eCollection 2024.

DOI:10.1017/cts.2024.645
PMID:39655033
原文链接:https://pmc.ncbi.nlm.nih.gov/articles/PMC11626594/
Abstract

INTRODUCTION

More than 5 million children in the United States experience food insecurity (FI), yet little guidance exists regarding screening for FI. A prediction model of FI could be useful for healthcare systems and practices working to identify and address children with FI. Our objective was to predict FI using demographic, geographic, medical, and historic unmet health-related social needs data available within most electronic health records.

METHODS

This was a retrospective longitudinal cohort study of children evaluated in an academic pediatric primary care clinic and screened at least once for FI between January 2017 and August 2021. American Community Survey Data provided additional insight into neighborhood-level information such as home ownership and poverty level. Household FI was screened using two validated questions. Various combinations of predictor variables and modeling approaches, including logistic regression, random forest, and gradient-boosted machine, were used to build and validate prediction models.

RESULTS

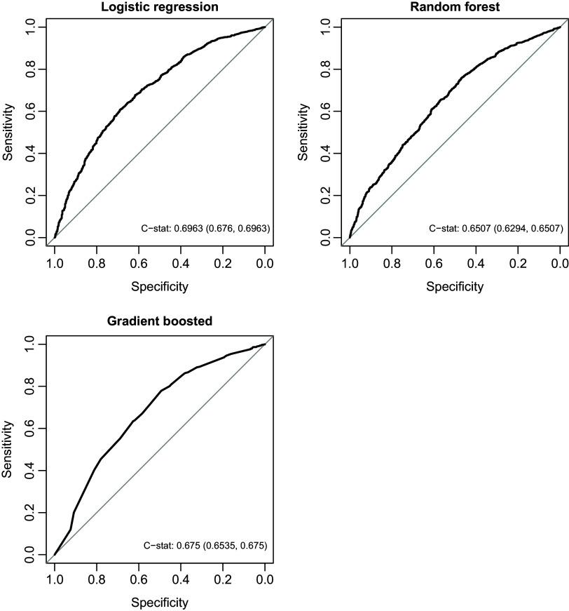
A total of 25,214 encounters from 8521 unique patients were included, with FI present in 3820 (15%) encounters. Logistic regression with a 12-month look-back using census block group neighborhood variables showed the best performance in the test set (C-statistic 0.70, positive predictive value 0.92), had superior C-statistics to both random forest (0.65, < 0.01) and gradient boosted machine (0.68, = 0.01), and showed the best calibration. Results were nearly unchanged when coding missing data as a category.

CONCLUSIONS

Although our models could predict FI, further work is needed to develop a more robust prediction model for pediatric FI.

摘要

引言

美国有超过500万儿童面临粮食不安全(FI)问题,但关于FI筛查的指导却很少。FI预测模型对于致力于识别和解决有FI问题儿童的医疗保健系统和医疗机构可能会有所帮助。我们的目标是利用大多数电子健康记录中可用的人口统计学、地理、医疗和历史未满足的与健康相关的社会需求数据来预测FI。

方法

这是一项回顾性纵向队列研究,研究对象为在一家学术性儿科初级保健诊所接受评估且在2017年1月至2021年8月期间至少接受过一次FI筛查的儿童。美国社区调查数据提供了关于邻里层面信息(如房屋所有权和贫困水平)的更多见解。使用两个经过验证的问题对家庭FI进行筛查。采用多种预测变量组合和建模方法,包括逻辑回归、随机森林和梯度提升机,来构建和验证预测模型。

结果

共纳入了来自8521名独特患者的25214次就诊记录,其中3820次(15%)就诊存在FI。使用人口普查街区组邻里变量进行12个月回顾的逻辑回归在测试集中表现最佳(C统计量为0.70,阳性预测值为0.92),其C统计量优于随机森林(0.65,<0.01)和梯度提升机(0.68,=0.01),并且校准效果最佳。将缺失数据编码为一个类别时,结果几乎没有变化。

结论

尽管我们的模型可以预测FI,但仍需要进一步开展工作来开发一个更强大的儿科FI预测模型。

https://cdn.ncbi.nlm.nih.gov/pmc/blobs/ddd0/11626594/ed0a287c96ad/S2059866124006459_fig2.jpg
https://cdn.ncbi.nlm.nih.gov/pmc/blobs/ddd0/11626594/e0e8ddadb73d/S2059866124006459_fig1.jpg
https://cdn.ncbi.nlm.nih.gov/pmc/blobs/ddd0/11626594/ed0a287c96ad/S2059866124006459_fig2.jpg
https://cdn.ncbi.nlm.nih.gov/pmc/blobs/ddd0/11626594/e0e8ddadb73d/S2059866124006459_fig1.jpg
https://cdn.ncbi.nlm.nih.gov/pmc/blobs/ddd0/11626594/ed0a287c96ad/S2059866124006459_fig2.jpg

相似文献

1
Predicting food insecurity in a pediatric population using the electronic health record.利用电子健康记录预测儿科人群的粮食不安全状况。
J Clin Transl Sci. 2024 Oct 28;8(1):e195. doi: 10.1017/cts.2024.645. eCollection 2024.
2
Folic acid supplementation and malaria susceptibility and severity among people taking antifolate antimalarial drugs in endemic areas.在流行地区,服用抗叶酸抗疟药物的人群中,叶酸补充剂与疟疾易感性和严重程度的关系。
Cochrane Database Syst Rev. 2022 Feb 1;2(2022):CD014217. doi: 10.1002/14651858.CD014217.
3
Trends in food insecurity rates at an academic primary care clinic: a retrospective cohort study.一家学术性初级保健诊所的粮食不安全率趋势:一项回顾性队列研究。
BMC Pediatr. 2021 Aug 27;21(1):364. doi: 10.1186/s12887-021-02829-3.
4
Feasibility and Impact Assessment of a Food Insecurity Protocol in a Large Urban Pediatric Primary Care Network.大型城市儿科初级保健网络中粮食不安全协议的可行性和影响评估。
J Prim Care Community Health. 2024 Jan-Dec;15:21501319241236009. doi: 10.1177/21501319241236009.
5
Stability of food insecurity status in paediatric primary care.儿童初级保健中食物不安全状况的稳定性。
Public Health Nutr. 2021 Apr;24(5):845-850. doi: 10.1017/S1368980020002281. Epub 2020 Aug 19.
6
Can Predictive Modeling Tools Identify Patients at High Risk of Prolonged Opioid Use After ACL Reconstruction?预测模型工具能否识别 ACL 重建术后阿片类药物使用时间延长的高风险患者?
Clin Orthop Relat Res. 2020 Jul;478(7):0-1618. doi: 10.1097/CORR.0000000000001251.
7
Frequency of Food Insecurity and Associated Health Outcomes in Pediatric Patients at a Federally Qualified Health Center.在一家联邦合格健康中心,儿科患者食物不安全的频率及其相关健康后果。
J Community Health. 2018 Oct;43(5):896-900. doi: 10.1007/s10900-018-0499-8.
8
Disparities and Biases in Food Insecurity Screening Among Admitted Children.入院儿童中粮食不安全筛查的差异和偏差。
Hosp Pediatr. 2024 Jul 1;14(7):e304-e307. doi: 10.1542/hpeds.2023-007602.
9
Food Insecurity in a Pediatric Emergency Department and the Feasibility of Universal Screening.儿科急诊中的食物不安全状况和普遍筛查的可行性。
West J Emerg Med. 2021 Oct 27;22(6):1295-1300. doi: 10.5811/westjem.2021.7.52519.
10
Revealing the Prevalence and Consequences of Food Insecurity in Children with Epilepsy.揭示癫痫儿童中食物不安全的流行情况和后果。
J Community Health. 2017 Dec;42(6):1213-1219. doi: 10.1007/s10900-017-0372-1.

本文引用的文献

1
Chronic Food Insecurity in US Families With Children.美国家庭中儿童面临的长期粮食不安全问题。
JAMA Pediatr. 2023 Apr 1;177(4):434-435. doi: 10.1001/jamapediatrics.2022.5820.
2
Electronic screening for unmet social needs in a pediatric pulmonary clinic: Acceptability and associations with health outcomes.儿科肺病诊所中未满足社会需求的电子筛查:可接受性及其与健康结果的关联
Pediatr Pulmonol. 2023 May;58(5):1444-1453. doi: 10.1002/ppul.26339. Epub 2023 Feb 8.
3
Food Insecurity Was Associated With Greater Family Health Care Expenditures In The US, 2016-17.
2016-17 年,美国食物无保障与更多家庭医疗保健支出相关。
Health Aff (Millwood). 2023 Jan;42(1):44-52. doi: 10.1377/hlthaff.2022.00414.
4
Machine learning applied to electronic health record data in home healthcare: A scoping review.机器学习在家庭医疗保健中的电子健康记录数据中的应用:范围综述。
Int J Med Inform. 2023 Feb;170:104978. doi: 10.1016/j.ijmedinf.2022.104978. Epub 2022 Dec 30.
5
A machine learning approach to identifying patients with pulmonary hypertension using real-world electronic health records.一种使用真实世界电子健康记录识别肺动脉高压患者的机器学习方法。
Int J Cardiol. 2023 Mar 1;374:95-99. doi: 10.1016/j.ijcard.2022.12.016. Epub 2022 Dec 14.
6
Developing a Model to Predict High Health Care Utilization Among Patients in a New York City Safety Net System.开发一个模型,预测纽约市医疗保障系统中高医疗利用率患者。
Med Care. 2023 Feb 1;61(2):102-108. doi: 10.1097/MLR.0000000000001807. Epub 2022 Dec 6.
7
Household food insecurity and its association with overweight and obesity in children aged 2 to 14 years.家庭食物不安全与 2 至 14 岁儿童超重和肥胖的关系。
BMC Public Health. 2022 Oct 17;22(1):1930. doi: 10.1186/s12889-022-14308-0.
8
Social Risk Factors Influence Pediatric Emergency Department Utilization and Hospitalizations.社会风险因素影响儿科急诊就诊和住院情况。
J Pediatr. 2022 Oct;249:35-42.e4. doi: 10.1016/j.jpeds.2022.06.004. Epub 2022 Jun 10.
9
Food Insecurity in a Pediatric Emergency Department and the Feasibility of Universal Screening.儿科急诊中的食物不安全状况和普遍筛查的可行性。
West J Emerg Med. 2021 Oct 27;22(6):1295-1300. doi: 10.5811/westjem.2021.7.52519.
10
On the Nature of Informative Presence Bias in Analyses of Electronic Health Records.电子健康记录分析中信息性存在偏差的本质。
Epidemiology. 2022 Jan 1;33(1):105-113. doi: 10.1097/EDE.0000000000001432.