Suppr超能文献

优化绿色提取方法以最大化蒲公英、水飞蓟和洋甘菊种子提取物的生物潜力。

Optimizing Green Extraction Methods for Maximizing the Biological Potential of Dandelion, Milk Thistle, and Chamomile Seed Extracts.

作者信息

Milovanovic Stoja, Tyśkiewicz Katarzyna, Konkol Marcin, Grzegorczyk Agnieszka, Salwa Kinga, Świątek Łukasz

机构信息

Faculty of Technology and Metallurgy, University of Belgrade, Karnegijeva 4, 11120 Belgrade, Serbia.

Łukasiewicz Research Network-New Chemical Syntheses Institute, Al. Tysiąclecia Państwa Polskiego 13a, 24-110 Puławy, Poland.

出版信息

Foods. 2024 Dec 3;13(23):3907. doi: 10.3390/foods13233907.

Abstract

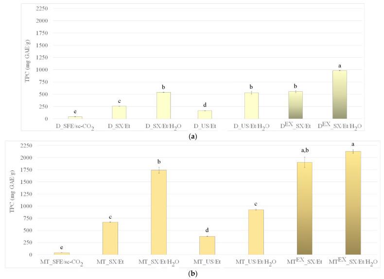
This study investigates the underutilized potential of agri-crops from the family by employing sustainable and green technologies (supercritical fluid, ultrasound, and Soxhlet extractions) to enhance the recovery of bioactive compounds. A total of 21 extracts from native and waste seeds of dandelion, milk thistle, and chamomile were systematically compared utilizing a combination of solvents (supercritical CO and absolute or aqueous ethanol). Supercritical CO extraction yielded up to 281 mg/g of oils from native seeds, while conventional techniques with ethanol recovered an additional 142 mg/g of extracts from waste seeds. Notably, waste seed extracts exhibited superior biological activity, including potent antioxidant properties (IC values as low as 0.3 mg/mL in the DPPH assay) and broad-spectrum antimicrobial activity against 32 microbial strains, including methicillin-resistant , Gram-negative bacteria, and yeast strains. Phenolic compounds were abundant, with up to 2126 mg GAE/g, alongside 25.9 mg QE/g flavonoids, and 805.5 mg/kg chlorophyll A. A selective anticancer activity of waste milk thistle extracts was observed, with a selectivity index of 1.9 to 2.7. The oils recovered from native seeds demonstrated lower bioactivity and are well-suited for applications in food. The potent bioactivity of the smaller quantities of waste seed extracts positions them as valuable candidates for pharmaceutical use.

摘要

本研究通过采用可持续和绿色技术(超临界流体、超声和索氏提取)来提高生物活性化合物的回收率,从而探究菊科农作物未被充分利用的潜力。利用溶剂组合(超临界二氧化碳以及无水乙醇或乙醇水溶液),系统地比较了来自蒲公英、水飞蓟和洋甘菊的原生种子和废弃种子的21种提取物。超临界二氧化碳提取从原生种子中获得了高达281毫克/克的油,而使用乙醇的传统技术从废弃种子中又回收了142毫克/克的提取物。值得注意的是,废弃种子提取物表现出卓越的生物活性,包括强大的抗氧化特性(在DPPH测定中IC值低至0.3毫克/毫升)以及对32种微生物菌株的广谱抗菌活性,这些菌株包括耐甲氧西林金黄色葡萄球菌、革兰氏阴性菌和酵母菌株。酚类化合物含量丰富,高达2126毫克没食子酸当量/克,同时还有25.9毫克槲皮素当量/克的黄酮类化合物以及805.5毫克/千克的叶绿素A。观察到废弃水飞蓟提取物具有选择性抗癌活性,选择性指数为1.9至2.7。从原生种子中回收的油生物活性较低,非常适合用于食品。少量废弃种子提取物的强大生物活性使其成为有价值的药用候选物。

https://cdn.ncbi.nlm.nih.gov/pmc/blobs/1719/11640657/12cef57c3a77/foods-13-03907-g001.jpg

文献检索

告别复杂PubMed语法,用中文像聊天一样搜索,搜遍4000万医学文献。AI智能推荐,让科研检索更轻松。

立即免费搜索

文件翻译

保留排版,准确专业,支持PDF/Word/PPT等文件格式,支持 12+语言互译。

免费翻译文档

深度研究

AI帮你快速写综述,25分钟生成高质量综述,智能提取关键信息,辅助科研写作。

立即免费体验