Suppr超能文献

模拟医学问诊期间专家医生与医学专业新手学生的注视行为为何不同:一项混合方法研究。

Why the gaze behavior of expert physicians and novice medical students differ during a simulated medical interview: A mixed methods study.

作者信息

Yamada Rie, Xu Kuangzhe, Kondo Satoshi, Fujimoto Makoto

机构信息

Department of Adult Nursing, Faculty of Medicine, Academic Assembly, University of Toyama, Toyama, Japan.

Institute for Promotion of Higher Education, Hirosaki University, Aomori, Japan.

出版信息

PLoS One. 2025 Jan 2;20(1):e0315405. doi: 10.1371/journal.pone.0315405. eCollection 2025.

Abstract

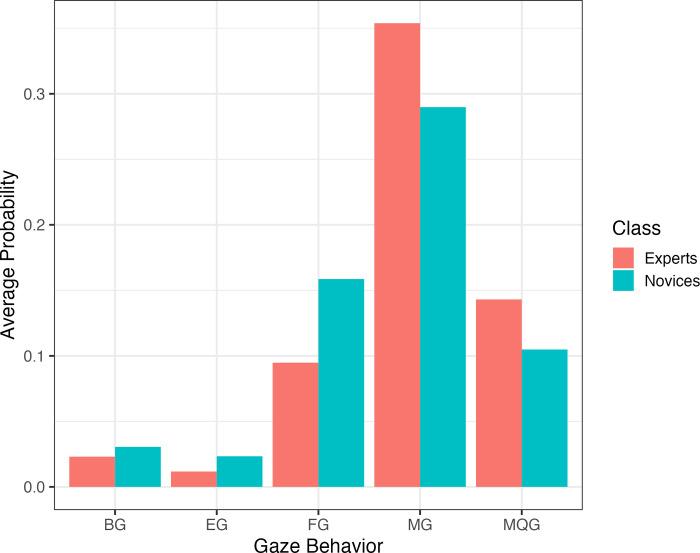
Human cognition is reflected in gaze behavior, which involves eye movements to fixate or shift focus between areas. In natural interactions, gaze behavior serves two functions: signal transmission and information gathering. While expert gaze as a tool for gathering information has been studied, its underlying cognitive processes remain insufficiently explored. This study investigated differences in gaze behavior and cognition between expert physicians and novice medical students during a simulated medical interview with a simulated patient, drawing implications for medical education. This study employed an exploratory sequential mixed methods design. During the simulated medical interview, participants' gaze behavior was measured across five areas: the patient's eyes, face, body trunk, medical chart, and medical questionnaire. A hierarchical Bayesian model analyzed differences in gaze behavior between expert physicians and novice medical students. Then, a semi-structured interview was conducted with participants to discern their perceptions during their gaze behavior; their recorded gaze behavior was presented to them, and analyzed using a qualitative descriptive approach. Model analyses indicated that experts looked at the simulated patient's eyes less frequently compared to novices during the simulated medical interview. Expert physicians stated that because of the potential for discomfort, looking at the patient's eyes was less frequent, despite its importance for obtaining diagnostic findings. Conversely, novice medical students did not provide narratives for obtaining such findings, but increased the number of times they did so to improve patient satisfaction. This association between different perceptions of gaze behavior may lead to new approaches in medical education. This study highlights the importance of understanding gaze behavior in the context of medical education and suggests that different motivations underlie the gaze behavior of expert physicians and novice medical students. Incorporating training in effective gaze behavior may improve the quality of patient care and medical students' learning outcomes.

摘要

人类认知反映在注视行为中,这涉及眼球运动以在不同区域之间进行注视或转移焦点。在自然互动中,注视行为具有两个功能:信号传递和信息收集。虽然专家注视作为一种信息收集工具已得到研究,但其潜在的认知过程仍未得到充分探索。本研究调查了专家医生和医学专业新生在与模拟患者进行模拟医疗问诊期间的注视行为和认知差异,为医学教育提供启示。本研究采用了探索性序列混合方法设计。在模拟医疗问诊期间,在五个区域测量了参与者的注视行为:患者的眼睛、面部、躯干、病历和医疗问卷。一个分层贝叶斯模型分析了专家医生和医学专业新生在注视行为上的差异。然后,对参与者进行了半结构化访谈,以了解他们在注视行为期间的感知;向他们展示了记录的注视行为,并采用定性描述方法进行分析。模型分析表明,在模拟医疗问诊期间,与新生相比,专家较少看模拟患者的眼睛。专家医生表示,由于可能会让患者感到不适,尽管看患者的眼睛对获取诊断结果很重要,但这种情况并不常见。相反,医学专业新生没有提及获取此类结果的相关描述,但他们增加了看患者眼睛的次数以提高患者满意度。对注视行为的不同认知之间的这种关联可能会带来医学教育的新方法。本研究强调了在医学教育背景下理解注视行为的重要性,并表明专家医生和医学专业新生的注视行为背后存在不同的动机。纳入有效的注视行为训练可能会提高患者护理质量和医学生的学习成果。

https://cdn.ncbi.nlm.nih.gov/pmc/blobs/9705/11694983/f7d401398962/pone.0315405.g001.jpg

文献AI研究员

20分钟写一篇综述,助力文献阅读效率提升50倍。

立即体验

用中文搜PubMed

大模型驱动的PubMed中文搜索引擎

马上搜索

文档翻译

学术文献翻译模型,支持多种主流文档格式。

立即体验