• 文献检索
  • 文档翻译
  • 深度研究
  • 学术资讯
  • Suppr Zotero 插件Zotero 插件
  • 邀请有礼
  • 套餐&价格
  • 历史记录
应用&插件
Suppr Zotero 插件Zotero 插件浏览器插件Mac 客户端Windows 客户端微信小程序
定价
高级版会员购买积分包购买API积分包
服务
文献检索文档翻译深度研究API 文档MCP 服务
关于我们
关于 Suppr公司介绍联系我们用户协议隐私条款
关注我们

Suppr 超能文献

核心技术专利:CN118964589B侵权必究
粤ICP备2023148730 号-1Suppr @ 2026

文献检索

告别复杂PubMed语法,用中文像聊天一样搜索,搜遍4000万医学文献。AI智能推荐,让科研检索更轻松。

立即免费搜索

文件翻译

保留排版,准确专业,支持PDF/Word/PPT等文件格式,支持 12+语言互译。

免费翻译文档

深度研究

AI帮你快速写综述,25分钟生成高质量综述,智能提取关键信息,辅助科研写作。

立即免费体验

使用叉指电极对大麻二酚浓度进行非接触式区分的可行性研究。

Feasibility Study of a Non-Contact Differentiation of Cannabidiol Concentrations Using Interdigital Electrodes.

作者信息

Boonrat Kanitsorn, Jaroenkunpanit Pinyada, Wounchoum Phairote, Jantarachote Vasan, Chetpattananondh Pakamas, Chetpattananondh Kanadit

机构信息

Department of Electrical and Biomedical Engineering, Faculty of Engineering, Prince of Songkla University, Hat Yai, Songkhla 90110, Thailand.

Department of Chemical Engineering, Faculty of Engineering, Prince of Songkla University, Hat Yai, Songkhla 90110, Thailand.

出版信息

ACS Omega. 2024 Dec 17;9(52):51515-51524. doi: 10.1021/acsomega.4c08811. eCollection 2024 Dec 31.

DOI:10.1021/acsomega.4c08811
PMID:39758664
原文链接:https://pmc.ncbi.nlm.nih.gov/articles/PMC11696433/
Abstract

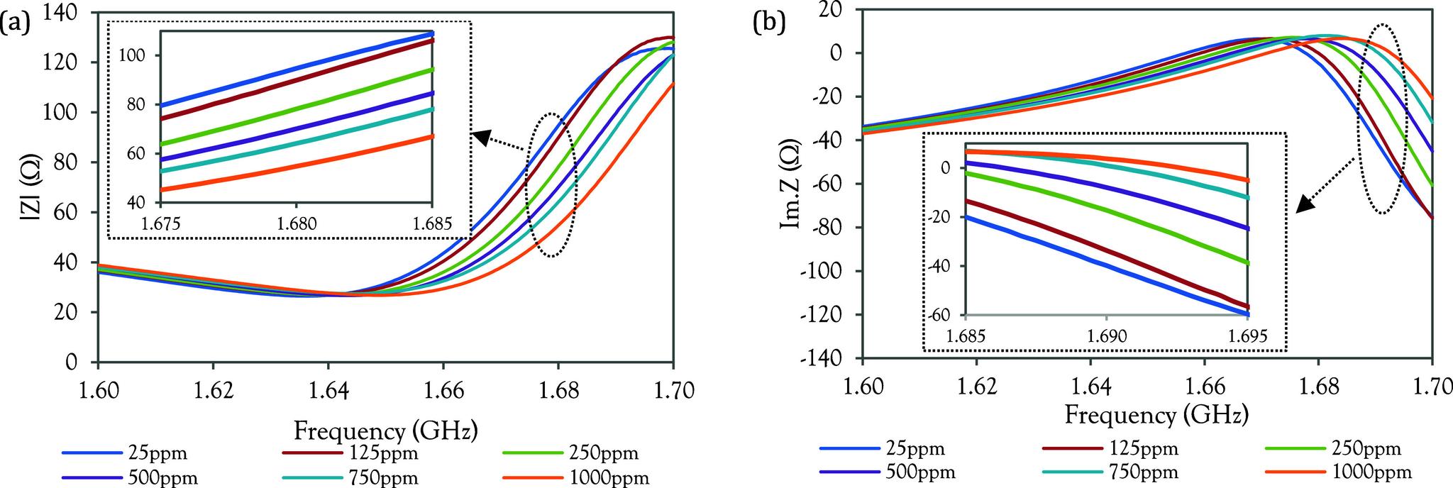
This feasibility study presents a novel noncontact method for differentiating standard cannabidiol (CBD) concentrations using optimized interdigital electrodes. The electrode design, with a 100 mm sensing area on a 64 mm × 77 mm FR-4 substrate, was improved through finite element analysis. Methanol-CBD solutions (25-1000 ppm) in 2 mL glass vials were analyzed using a vector network analyzer connected via a high-frequency SMA connector, focusing on scattering parameter (S-parameter) changes. The method demonstrated high effectiveness in CBD concentration differentiation, achieving a concentration resolution of 145 MHz/50 ppm based on resonant frequency shift, with an error of 0.17% of the reading, and 0.5 dB/50 ppm using S amplitude measurement. The proposed method offers a promising, linear, and precise technique for noncontact CBD standard analysis, with potential applications in future research. In addition, impedance measurements can be applied to enhance concentration differentiation further.

摘要

本可行性研究提出了一种使用优化叉指电极区分标准大麻二酚(CBD)浓度的新型非接触方法。通过有限元分析改进了电极设计,该电极在64 mm×77 mm的FR-4基板上具有100 mm的传感面积。使用通过高频SMA连接器连接的矢量网络分析仪分析了2 mL玻璃瓶中的甲醇-CBD溶液(25-1000 ppm),重点关注散射参数(S参数)的变化。该方法在CBD浓度区分方面显示出高效性,基于共振频率偏移实现了145 MHz/50 ppm的浓度分辨率,读数误差为0.17%,使用S幅度测量时为0.5 dB/50 ppm。所提出的方法为非接触式CBD标准分析提供了一种有前景、线性且精确的技术,在未来研究中具有潜在应用。此外,阻抗测量可用于进一步提高浓度区分能力。

https://cdn.ncbi.nlm.nih.gov/pmc/blobs/0c96/11696433/f34d10000f95/ao4c08811_0010.jpg
https://cdn.ncbi.nlm.nih.gov/pmc/blobs/0c96/11696433/92a22dc09059/ao4c08811_0001.jpg
https://cdn.ncbi.nlm.nih.gov/pmc/blobs/0c96/11696433/622341c9f3be/ao4c08811_0002.jpg
https://cdn.ncbi.nlm.nih.gov/pmc/blobs/0c96/11696433/f923f515b601/ao4c08811_0003.jpg
https://cdn.ncbi.nlm.nih.gov/pmc/blobs/0c96/11696433/8d1caba60bb9/ao4c08811_0004.jpg
https://cdn.ncbi.nlm.nih.gov/pmc/blobs/0c96/11696433/3bdc9dd61430/ao4c08811_0005.jpg
https://cdn.ncbi.nlm.nih.gov/pmc/blobs/0c96/11696433/e12eef31b022/ao4c08811_0006.jpg
https://cdn.ncbi.nlm.nih.gov/pmc/blobs/0c96/11696433/f87013a3304b/ao4c08811_0007.jpg
https://cdn.ncbi.nlm.nih.gov/pmc/blobs/0c96/11696433/bf7d759cdd07/ao4c08811_0008.jpg
https://cdn.ncbi.nlm.nih.gov/pmc/blobs/0c96/11696433/e733956d0e5a/ao4c08811_0009.jpg
https://cdn.ncbi.nlm.nih.gov/pmc/blobs/0c96/11696433/f34d10000f95/ao4c08811_0010.jpg
https://cdn.ncbi.nlm.nih.gov/pmc/blobs/0c96/11696433/92a22dc09059/ao4c08811_0001.jpg
https://cdn.ncbi.nlm.nih.gov/pmc/blobs/0c96/11696433/622341c9f3be/ao4c08811_0002.jpg
https://cdn.ncbi.nlm.nih.gov/pmc/blobs/0c96/11696433/f923f515b601/ao4c08811_0003.jpg
https://cdn.ncbi.nlm.nih.gov/pmc/blobs/0c96/11696433/8d1caba60bb9/ao4c08811_0004.jpg
https://cdn.ncbi.nlm.nih.gov/pmc/blobs/0c96/11696433/3bdc9dd61430/ao4c08811_0005.jpg
https://cdn.ncbi.nlm.nih.gov/pmc/blobs/0c96/11696433/e12eef31b022/ao4c08811_0006.jpg
https://cdn.ncbi.nlm.nih.gov/pmc/blobs/0c96/11696433/f87013a3304b/ao4c08811_0007.jpg
https://cdn.ncbi.nlm.nih.gov/pmc/blobs/0c96/11696433/bf7d759cdd07/ao4c08811_0008.jpg
https://cdn.ncbi.nlm.nih.gov/pmc/blobs/0c96/11696433/e733956d0e5a/ao4c08811_0009.jpg
https://cdn.ncbi.nlm.nih.gov/pmc/blobs/0c96/11696433/f34d10000f95/ao4c08811_0010.jpg

相似文献

1
Feasibility Study of a Non-Contact Differentiation of Cannabidiol Concentrations Using Interdigital Electrodes.使用叉指电极对大麻二酚浓度进行非接触式区分的可行性研究。
ACS Omega. 2024 Dec 17;9(52):51515-51524. doi: 10.1021/acsomega.4c08811. eCollection 2024 Dec 31.
2
Novel Intravenous Nanoemulsions Based on Cannabidiol-Enriched Hemp Oil-Development and Validation of an HPLC-DAD Method for Cannabidiol Determination.基于富含大麻二酚的大麻油的新型静脉纳米乳剂——大麻二酚测定的HPLC-DAD方法的开发与验证
Molecules. 2025 Jan 12;30(2):278. doi: 10.3390/molecules30020278.
3
An improved method for the determination of cannabidiol in topical products using ultrasound-assisted extraction and gas chromatography-mass spectrometry.超声辅助提取-气相色谱-质谱法测定外用制剂中大麻二酚的含量
J Pharm Biomed Anal. 2022 Aug 5;217:114840. doi: 10.1016/j.jpba.2022.114840. Epub 2022 May 20.
4
Real-Time Monitoring of the Cytotoxic and Antimetastatic Properties of Cannabidiol in Human Oral Squamous Cell Carcinoma Cells Using Electric Cell-Substrate Impedance Sensing.利用电细胞-基质阻抗传感实时监测大麻二酚对人口腔鳞状细胞癌细胞的细胞毒性和抗转移特性。
Int J Mol Sci. 2022 Dec 13;23(24):15842. doi: 10.3390/ijms232415842.
5
Designed Structures of Interdigital Electrodes for Thin Film SAW Devices.用于薄膜声表面波器件的叉指电极设计结构。
Micromachines (Basel). 2023 Oct 14;14(10):1929. doi: 10.3390/mi14101929.
6
A Fast and Highly Selective Nitrite Sensor Based on Interdigital Electrodes Modified With Nanogold Film and Chrome-Black T.基于纳米金膜和铬黑T修饰的叉指电极的快速高选择性亚硝酸盐传感器
Front Chem. 2020 Apr 29;8:366. doi: 10.3389/fchem.2020.00366. eCollection 2020.
7
Microwave Sensor for the Determination of DMSO Concentration in Water-DMSO Binary Mixture.用于测定水 - 二甲基亚砜二元混合物中二甲亚砜浓度的微波传感器。
Micromachines (Basel). 2023 Jul 5;14(7):1378. doi: 10.3390/mi14071378.
8
Influence of Electrode Connection Tracks on Biological Cell Measurements by Impedance Spectroscopy.电极连接轨道对阻抗谱生物细胞测量的影响。
Sensors (Basel). 2019 Jun 26;19(13):2839. doi: 10.3390/s19132839.
9
In Situ Determination of Cannabidiol in Hemp Oil by Near-Infrared Spectroscopy.近红外光谱法原位测定麻籽油中的大麻二酚。
J Nat Prod. 2021 Nov 26;84(11):2851-2857. doi: 10.1021/acs.jnatprod.1c00557. Epub 2021 Nov 16.
10
Development of High-Frequency (>60 MHz) Intravascular Ultrasound (IVUS) Transducer by Using Asymmetric Electrodes for Improved Beam Profile.采用非对称电极改善波束轮廓的高频(>60 MHz)血管内超声(IVUS)换能器的研制。
Sensors (Basel). 2018 Dec 13;18(12):4414. doi: 10.3390/s18124414.

本文引用的文献

1
Electrochemical Impedance Spectroscopy for Ion Sensors with Interdigitated Electrodes: Capacitance Calculations, Equivalent Circuit Models and Design Optimizations.叉指电极离子传感器的电化学阻抗谱:电容计算、等效电路模型与设计优化。
Biosensors (Basel). 2024 May 10;14(5):241. doi: 10.3390/bios14050241.
2
Fast Response Facile Fabricated IDE-Based Ultra-sensitive Humidity Sensor for Medical Applications.用于医疗应用的基于快速响应简易制造的叉指式超灵敏湿度传感器。
ACS Omega. 2023 May 6;8(19):16842-16850. doi: 10.1021/acsomega.3c00448. eCollection 2023 May 16.
3
Pencil-on-Paper Humidity Sensor Treated with NaCl Solution for Health Monitoring and Skin Characterization.
用于健康监测和皮肤表征的经氯化钠溶液处理的纸基湿度传感器。
Nano Lett. 2023 Feb 22;23(4):1252-1260. doi: 10.1021/acs.nanolett.2c04384. Epub 2022 Dec 30.
4
RF Remote Blood Glucose Sensor and a Microfluidic Vascular Phantom for Sensor Validation.射频遥控血糖传感器和血管微流控模型用于传感器验证。
Biosensors (Basel). 2021 Dec 3;11(12):494. doi: 10.3390/bios11120494.
5
Reasons for cannabidiol use: a cross-sectional study of CBD users, focusing on self-perceived stress, anxiety, and sleep problems.使用大麻二酚的原因:一项针对大麻二酚使用者的横断面研究,重点关注自我感知的压力、焦虑和睡眠问题。
J Cannabis Res. 2021 Feb 18;3(1):5. doi: 10.1186/s42238-021-00061-5.
6
Combination of UV and MS/MS detection for the LC analysis of cannabidiol-rich products.采用 LC 分析富含大麻二酚的产品,结合使用紫外和 MS/MS 检测方法。
Talanta. 2020 Nov 1;219:121250. doi: 10.1016/j.talanta.2020.121250. Epub 2020 Jun 17.
7
Quantitative determination and validation of 17 cannabinoids in cannabis and hemp using liquid chromatography-tandem mass spectrometry.采用液相色谱-串联质谱法对大麻和大麻植物中的 17 种大麻素进行定量测定和验证。
Anal Bioanal Chem. 2020 Nov;412(27):7381-7393. doi: 10.1007/s00216-020-02862-8. Epub 2020 Aug 24.
8
Critical Influence of Dielectric Sensitive Material and Manufactured Process in Microwave Gas-Sensing: Application of Ammonia Detection with an Interdigital Sensor.介电敏感材料和制造工艺在微波气体传感中的关键影响:叉指式传感器在氨气检测中的应用
ACS Omega. 2020 May 13;5(20):11507-11514. doi: 10.1021/acsomega.0c00596. eCollection 2020 May 26.
9
Fabrication of SnO Composite Nanofiber-Based Gas Sensor using the Electrospinning Method for Tetrahydrocannabinol (THC) Detection.采用静电纺丝法制备用于检测四氢大麻酚(THC)的基于SnO复合纳米纤维的气体传感器。
Micromachines (Basel). 2020 Feb 12;11(2):190. doi: 10.3390/mi11020190.
10
A Rapid Response Electrochemical Biosensor for Detecting Thc In Saliva.一种用于检测唾液中四氢大麻酚的快速响应电化学生物传感器。
Sci Rep. 2019 Sep 3;9(1):12701. doi: 10.1038/s41598-019-49185-y.