• 文献检索
  • 文档翻译
  • 深度研究
  • 学术资讯
  • Suppr Zotero 插件Zotero 插件
  • 邀请有礼
  • 套餐&价格
  • 历史记录
应用&插件
Suppr Zotero 插件Zotero 插件浏览器插件Mac 客户端Windows 客户端微信小程序
定价
高级版会员购买积分包购买API积分包
服务
文献检索文档翻译深度研究API 文档MCP 服务
关于我们
关于 Suppr公司介绍联系我们用户协议隐私条款
关注我们

Suppr 超能文献

核心技术专利:CN118964589B侵权必究
粤ICP备2023148730 号-1Suppr @ 2026

文献检索

告别复杂PubMed语法,用中文像聊天一样搜索,搜遍4000万医学文献。AI智能推荐,让科研检索更轻松。

立即免费搜索

文件翻译

保留排版,准确专业,支持PDF/Word/PPT等文件格式,支持 12+语言互译。

免费翻译文档

深度研究

AI帮你快速写综述,25分钟生成高质量综述,智能提取关键信息,辅助科研写作。

立即免费体验

()-脱氢姜酮、其()-()-C₂对称二聚体及其甲基化衍生物的光异构化研究

A Study on the Photoisomerization of ()-Dehydrozingerone, Its ()-()-C₂ Symmetric Dimer, and Their -Methylated Derivatives.

作者信息

Dettori Maria Antonietta, Ugone Valeria, Fabbri Davide, Carta Paola

机构信息

Istituto di Chimica Biomolecolare, Consiglio Nazionale delle Ricerche, Traversa La Crucca 3, I-07100 Sassari, Italy.

出版信息

Molecules. 2024 Dec 13;29(24):5901. doi: 10.3390/molecules29245901.

DOI:10.3390/molecules29245901
PMID:39769991
原文链接:https://pmc.ncbi.nlm.nih.gov/articles/PMC11678602/
Abstract

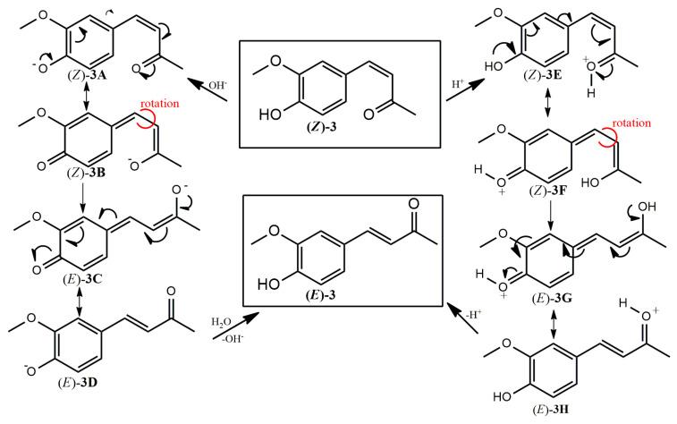
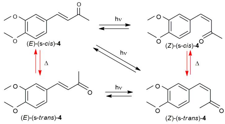
In this study, UV-induced ()-to-() geometrical isomerizations of the curcumin degradation product ()-dehydrozingerone, along with curcumin-inspired ()--methylated dehydrozingerone and their corresponding C-symmetric dimers, were investigated. All compounds produced corresponding () isomers in varying yields upon UV irradiation in deuterated solvents. The efficiency of these photoisomerizations depended on the solvent and wavelength used. While () dehydrozingerone and its corresponding ()-() dimer proved to be highly unstable during purification, the -methylated derivatives were successfully isolated, fully characterized by NMR spectroscopy, and further analyzed by UV-Vis spectroscopy and computational methods.

摘要

在本研究中,研究了紫外线诱导的姜黄素降解产物()-脱氢姜黄酮的()-到-()几何异构化,以及受姜黄素启发的()--甲基化脱氢姜黄酮及其相应的C对称二聚体。在氘代溶剂中进行紫外线照射时,所有化合物均以不同产率生成相应的()异构体。这些光异构化的效率取决于所用的溶剂和波长。虽然()脱氢姜黄酮及其相应的()-()二聚体在纯化过程中被证明高度不稳定,但甲基化衍生物已成功分离,通过核磁共振光谱进行了全面表征,并通过紫外-可见光谱和计算方法进行了进一步分析。

https://cdn.ncbi.nlm.nih.gov/pmc/blobs/f4a5/11678602/24189b75eec5/molecules-29-05901-g017.jpg
https://cdn.ncbi.nlm.nih.gov/pmc/blobs/f4a5/11678602/25bb597e4db7/molecules-29-05901-g001.jpg
https://cdn.ncbi.nlm.nih.gov/pmc/blobs/f4a5/11678602/e1e5c784bd10/molecules-29-05901-g002.jpg
https://cdn.ncbi.nlm.nih.gov/pmc/blobs/f4a5/11678602/478b70e99f21/molecules-29-05901-g003.jpg
https://cdn.ncbi.nlm.nih.gov/pmc/blobs/f4a5/11678602/4280f25be0fe/molecules-29-05901-g004.jpg
https://cdn.ncbi.nlm.nih.gov/pmc/blobs/f4a5/11678602/91aa3c57f7ea/molecules-29-05901-g005.jpg
https://cdn.ncbi.nlm.nih.gov/pmc/blobs/f4a5/11678602/382ed415a578/molecules-29-05901-g006.jpg
https://cdn.ncbi.nlm.nih.gov/pmc/blobs/f4a5/11678602/7ed50161c325/molecules-29-05901-g007.jpg
https://cdn.ncbi.nlm.nih.gov/pmc/blobs/f4a5/11678602/04b0223ec9b4/molecules-29-05901-g008.jpg
https://cdn.ncbi.nlm.nih.gov/pmc/blobs/f4a5/11678602/9f4b67b4254b/molecules-29-05901-sch001.jpg
https://cdn.ncbi.nlm.nih.gov/pmc/blobs/f4a5/11678602/1c05f5b87991/molecules-29-05901-sch002.jpg
https://cdn.ncbi.nlm.nih.gov/pmc/blobs/f4a5/11678602/11836ce94ee1/molecules-29-05901-sch003.jpg
https://cdn.ncbi.nlm.nih.gov/pmc/blobs/f4a5/11678602/0653ad01db6b/molecules-29-05901-g009.jpg
https://cdn.ncbi.nlm.nih.gov/pmc/blobs/f4a5/11678602/eba63341d338/molecules-29-05901-g010.jpg
https://cdn.ncbi.nlm.nih.gov/pmc/blobs/f4a5/11678602/7cb3663d21c2/molecules-29-05901-g011.jpg
https://cdn.ncbi.nlm.nih.gov/pmc/blobs/f4a5/11678602/d600fc7d0453/molecules-29-05901-g012.jpg
https://cdn.ncbi.nlm.nih.gov/pmc/blobs/f4a5/11678602/f85bd347a04c/molecules-29-05901-g013.jpg
https://cdn.ncbi.nlm.nih.gov/pmc/blobs/f4a5/11678602/bfda8cd8b1a1/molecules-29-05901-sch004.jpg
https://cdn.ncbi.nlm.nih.gov/pmc/blobs/f4a5/11678602/ccf1223a8a3f/molecules-29-05901-g014.jpg
https://cdn.ncbi.nlm.nih.gov/pmc/blobs/f4a5/11678602/bf36bf3a367a/molecules-29-05901-g015.jpg
https://cdn.ncbi.nlm.nih.gov/pmc/blobs/f4a5/11678602/d79875acc1e6/molecules-29-05901-g016.jpg
https://cdn.ncbi.nlm.nih.gov/pmc/blobs/f4a5/11678602/24189b75eec5/molecules-29-05901-g017.jpg
https://cdn.ncbi.nlm.nih.gov/pmc/blobs/f4a5/11678602/25bb597e4db7/molecules-29-05901-g001.jpg
https://cdn.ncbi.nlm.nih.gov/pmc/blobs/f4a5/11678602/e1e5c784bd10/molecules-29-05901-g002.jpg
https://cdn.ncbi.nlm.nih.gov/pmc/blobs/f4a5/11678602/478b70e99f21/molecules-29-05901-g003.jpg
https://cdn.ncbi.nlm.nih.gov/pmc/blobs/f4a5/11678602/4280f25be0fe/molecules-29-05901-g004.jpg
https://cdn.ncbi.nlm.nih.gov/pmc/blobs/f4a5/11678602/91aa3c57f7ea/molecules-29-05901-g005.jpg
https://cdn.ncbi.nlm.nih.gov/pmc/blobs/f4a5/11678602/382ed415a578/molecules-29-05901-g006.jpg
https://cdn.ncbi.nlm.nih.gov/pmc/blobs/f4a5/11678602/7ed50161c325/molecules-29-05901-g007.jpg
https://cdn.ncbi.nlm.nih.gov/pmc/blobs/f4a5/11678602/04b0223ec9b4/molecules-29-05901-g008.jpg
https://cdn.ncbi.nlm.nih.gov/pmc/blobs/f4a5/11678602/9f4b67b4254b/molecules-29-05901-sch001.jpg
https://cdn.ncbi.nlm.nih.gov/pmc/blobs/f4a5/11678602/1c05f5b87991/molecules-29-05901-sch002.jpg
https://cdn.ncbi.nlm.nih.gov/pmc/blobs/f4a5/11678602/11836ce94ee1/molecules-29-05901-sch003.jpg
https://cdn.ncbi.nlm.nih.gov/pmc/blobs/f4a5/11678602/0653ad01db6b/molecules-29-05901-g009.jpg
https://cdn.ncbi.nlm.nih.gov/pmc/blobs/f4a5/11678602/eba63341d338/molecules-29-05901-g010.jpg
https://cdn.ncbi.nlm.nih.gov/pmc/blobs/f4a5/11678602/7cb3663d21c2/molecules-29-05901-g011.jpg
https://cdn.ncbi.nlm.nih.gov/pmc/blobs/f4a5/11678602/d600fc7d0453/molecules-29-05901-g012.jpg
https://cdn.ncbi.nlm.nih.gov/pmc/blobs/f4a5/11678602/f85bd347a04c/molecules-29-05901-g013.jpg
https://cdn.ncbi.nlm.nih.gov/pmc/blobs/f4a5/11678602/bfda8cd8b1a1/molecules-29-05901-sch004.jpg
https://cdn.ncbi.nlm.nih.gov/pmc/blobs/f4a5/11678602/ccf1223a8a3f/molecules-29-05901-g014.jpg
https://cdn.ncbi.nlm.nih.gov/pmc/blobs/f4a5/11678602/bf36bf3a367a/molecules-29-05901-g015.jpg
https://cdn.ncbi.nlm.nih.gov/pmc/blobs/f4a5/11678602/d79875acc1e6/molecules-29-05901-g016.jpg
https://cdn.ncbi.nlm.nih.gov/pmc/blobs/f4a5/11678602/24189b75eec5/molecules-29-05901-g017.jpg

相似文献

1
A Study on the Photoisomerization of ()-Dehydrozingerone, Its ()-()-C₂ Symmetric Dimer, and Their -Methylated Derivatives.()-脱氢姜酮、其()-()-C₂对称二聚体及其甲基化衍生物的光异构化研究
Molecules. 2024 Dec 13;29(24):5901. doi: 10.3390/molecules29245901.
2
Structure-function activity of dehydrozingerone and its derivatives as antioxidant and antimicrobial compounds.脱氢紫堇酮及其衍生物作为抗氧化和抗菌化合物的结构-功能活性。
J Food Sci Technol. 2014 Feb;51(2):245-55. doi: 10.1007/s13197-011-0488-8. Epub 2011 Aug 17.
3
Inhibitory effects of dehydrozingerone and related compounds on 12-O-tetradecanoylphorbol-13-acetate induced Epstein-Barr virus early antigen activation.脱氢姜酮及相关化合物对12-O-十四酰佛波醇-13-乙酸酯诱导的爱泼斯坦-巴尔病毒早期抗原激活的抑制作用。
Cancer Lett. 1998 Dec 11;134(1):37-42. doi: 10.1016/s0304-3835(98)00239-0.
4
Photoisomerization of two 2-hydroxy-5-arylazobenzaldehydes in solvents of different polarities.两种2-羟基-5-芳基偶氮苯甲醛在不同极性溶剂中的光异构化作用。
Photochem Photobiol Sci. 2024 Oct;23(10):1971-1981. doi: 10.1007/s43630-024-00646-y. Epub 2024 Oct 7.
5
Synthesis, structure, spectral properties and DFT quantum chemical calculations of 4-aminoazobenzene dyes. Effect of intramolecular hydrogen bonding on photoisomerization.4-氨基偶氮苯染料的合成、结构、光谱性质及密度泛函理论量子化学计算。分子内氢键对光异构化的影响。
Spectrochim Acta A Mol Biomol Spectrosc. 2017 Mar 15;175:76-91. doi: 10.1016/j.saa.2016.12.005. Epub 2016 Dec 9.
6
Polarity dependent photoisomerization of ether substituted azodyes: Synthesis and photoswitching behavior.醚取代偶氮染料的极性依赖光异构化:合成与光开关行为
Spectrochim Acta A Mol Biomol Spectrosc. 2015 Oct 5;149:875-80. doi: 10.1016/j.saa.2015.05.027. Epub 2015 May 16.
7
Photoisomerization of Pt Complexes Containing Two Different Photochromic Chromophores: Boron Chromophore versus Dithienylethene Chromophore.含有两种不同光致变色发色团的铂配合物的光异构化:硼发色团与二噻吩乙烯发色团
Chemistry. 2019 Apr 17;25(22):5757-5767. doi: 10.1002/chem.201900279. Epub 2019 Mar 26.
8
Highly efficient reversible Z-E photoisomerization of a bridged azobenzene with visible light through resolved S(1)(n pi*) absorption bands.通过分辨 S(1)(n pi*) 吸收带实现了桥联偶氮苯的高效可见光可逆 Z-E 光异构化。
J Am Chem Soc. 2009 Nov 4;131(43):15594-5. doi: 10.1021/ja906547d.
9
(F(8)TPP)Fe(II)/O(2) reactivity studies [F(8)TPP = tetrakis(2,6-difluorophenyl)porphyrinate(2-)]: spectroscopic (UV-Visible and NMR) and kinetic study of solvent-dependent (Fe/O(2) = 1:1 or 2:1) reversible O(2)-reduction and ferryl formation.(F(8)TPP)铁(II)/氧气反应性研究[F(8)TPP = 四(2,6 - 二氟苯基)卟啉酸根(2 - )]:对溶剂依赖性(铁/氧气 = 1:1或2:1)可逆氧气还原和高铁酰基形成的光谱学(紫外可见和核磁共振)及动力学研究。
Inorg Chem. 2001 Nov 5;40(23):5754-67. doi: 10.1021/ic0105866.
10
Structural and spectroscopic characterization of E- and Z-isomers of azobenzene.偶氮苯 E-和 Z-异构体的结构和光谱特性。
Phys Chem Chem Phys. 2014 Aug 28;16(32):16919-30. doi: 10.1039/c4cp00240g. Epub 2014 Mar 19.

本文引用的文献

1
Direct Observation of Triplet States in the Isomerization of Alkenylboronates by Energy Transfer Catalysis.通过能量转移催化直接观察链烯基硼酸酯异构化中的三重态
J Am Chem Soc. 2023 Oct 4;145(39):21576-21586. doi: 10.1021/jacs.3c07678. Epub 2023 Sep 20.
2
Advances in the Isomerization of Alkenes Using Small Molecule Photocatalysts.使用小分子光催化剂实现烯烃异构化的研究进展
Chem Rev. 2022 Jan 26;122(2):2650-2694. doi: 10.1021/acs.chemrev.1c00324. Epub 2021 Aug 27.
3
Curcumin as an Antiviral Agent.姜黄素作为抗病毒药物。
Viruses. 2020 Oct 31;12(11):1242. doi: 10.3390/v12111242.
4
Degradation of Curcumin: From Mechanism to Biological Implications.姜黄素的降解:从机制到生物学意义
J Agric Food Chem. 2015 Sep 9;63(35):7606-14. doi: 10.1021/acs.jafc.5b00244. Epub 2015 Apr 2.
5
In vivo protective effects of dietary curcumin and capsaicin against alcohol-induced oxidative stress.膳食姜黄素和辣椒素对酒精诱导的氧化应激的体内保护作用。
Biofactors. 2014 Sep-Oct;40(5):494-500. doi: 10.1002/biof.1172. Epub 2014 Jun 5.
6
Small molecules interacting with α-synuclein: antiaggregating and cytoprotective properties.小分子与α-突触核蛋白相互作用:抗聚集和细胞保护特性。
Amino Acids. 2013 Aug;45(2):327-38. doi: 10.1007/s00726-013-1503-3. Epub 2013 May 5.
7
Molecular changes induced by the curcumin analogue D6 in human melanoma cells.姜黄素类似物 D6 诱导人黑色素瘤细胞的分子变化。
Mol Cancer. 2013 May 4;12:37. doi: 10.1186/1476-4598-12-37.
8
Curcumin in inflammatory diseases.姜黄素在炎症性疾病中的应用。
Biofactors. 2013 Jan-Feb;39(1):69-77. doi: 10.1002/biof.1066. Epub 2012 Dec 22.
9
Enhanced anti-tumor activity of a new curcumin-related compound against melanoma and neuroblastoma cells.新型姜黄素类化合物对黑素瘤和神经母细胞瘤细胞的抗肿瘤活性增强。
Mol Cancer. 2010 Jun 3;9:137. doi: 10.1186/1476-4598-9-137.
10
Universal solvation model based on solute electron density and on a continuum model of the solvent defined by the bulk dielectric constant and atomic surface tensions.基于溶质电子密度以及由体介电常数和原子表面张力定义的溶剂连续介质模型的通用溶剂化模型。
J Phys Chem B. 2009 May 7;113(18):6378-96. doi: 10.1021/jp810292n.