• 文献检索
  • 文档翻译
  • 深度研究
  • 学术资讯
  • Suppr Zotero 插件Zotero 插件
  • 邀请有礼
  • 套餐&价格
  • 历史记录
应用&插件
Suppr Zotero 插件Zotero 插件浏览器插件Mac 客户端Windows 客户端微信小程序
定价
高级版会员购买积分包购买API积分包
服务
文献检索文档翻译深度研究API 文档MCP 服务
关于我们
关于 Suppr公司介绍联系我们用户协议隐私条款
关注我们

Suppr 超能文献

核心技术专利:CN118964589B侵权必究
粤ICP备2023148730 号-1Suppr @ 2026

文献检索

告别复杂PubMed语法,用中文像聊天一样搜索,搜遍4000万医学文献。AI智能推荐,让科研检索更轻松。

立即免费搜索

文件翻译

保留排版,准确专业,支持PDF/Word/PPT等文件格式,支持 12+语言互译。

免费翻译文档

深度研究

AI帮你快速写综述,25分钟生成高质量综述,智能提取关键信息,辅助科研写作。

立即免费体验

通过学习跨多种表型的效应共享模式来改进基于汇总数据的多基因预测。

Improving polygenic prediction from summary data by learning patterns of effect sharing across multiple phenotypes.

作者信息

Kunkel Deborah, Sørensen Peter, Shankar Vijay, Morgante Fabio

机构信息

School of Mathematical and Statistical Sciences, Clemson University, Clemson, South Carolina, United States of America.

Center for Quantitative Genetics and Genomics, Aarhus University, Aarhus, Denmark.

出版信息

PLoS Genet. 2025 Jan 7;21(1):e1011519. doi: 10.1371/journal.pgen.1011519. eCollection 2025 Jan.

DOI:10.1371/journal.pgen.1011519
PMID:39775068
原文链接:https://pmc.ncbi.nlm.nih.gov/articles/PMC11741642/
Abstract

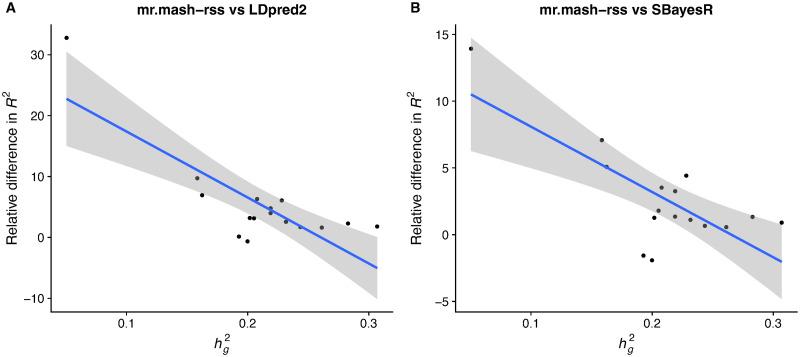
Polygenic prediction of complex trait phenotypes has become important in human genetics, especially in the context of precision medicine. Recently, mr.mash, a flexible and computationally efficient method that models multiple phenotypes jointly and leverages sharing of effects across such phenotypes to improve prediction accuracy, was introduced. However, a drawback of mr.mash is that it requires individual-level data, which are often not publicly available. In this work, we introduce mr.mash-rss, an extension of the mr.mash model that requires only summary statistics from Genome-Wide Association Studies (GWAS) and linkage disequilibrium (LD) estimates from a reference panel. By using summary data, we achieve the twin goal of increasing the applicability of the mr.mash model to data sets that are not publicly available and making it scalable to biobank-size data. Through simulations, we show that mr.mash-rss is competitive with, and often outperforms, current state-of-the-art methods for single- and multi-phenotype polygenic prediction in a variety of scenarios that differ in the pattern of effect sharing across phenotypes, the number of phenotypes, the number of causal variants, and the genomic heritability. We also present a real data analysis of 16 blood cell phenotypes in the UK Biobank, showing that mr.mash-rss achieves higher prediction accuracy than competing methods for the majority of traits, especially when the data set has smaller sample size.

摘要

复杂性状表型的多基因预测在人类遗传学中变得越来越重要,尤其是在精准医学的背景下。最近,mr.mash被引入,这是一种灵活且计算高效的方法,它联合对多个表型进行建模,并利用这些表型间效应的共享来提高预测准确性。然而,mr.mash的一个缺点是它需要个体水平的数据,而这些数据通常并非公开可用。在这项工作中,我们引入了mr.mash-rss,它是mr.mash模型的扩展,仅需要全基因组关联研究(GWAS)的汇总统计数据以及来自参考面板的连锁不平衡(LD)估计值。通过使用汇总数据,我们实现了双重目标:提高mr.mash模型对非公开可用数据集的适用性,并使其能够扩展到生物样本库规模的数据。通过模拟,我们表明在表型间效应共享模式、表型数量、因果变异数量和基因组遗传力不同的各种场景中,mr.mash-rss在单表型和多表型多基因预测方面与当前最先进的方法具有竞争力,并且常常表现更优。我们还对英国生物样本库中的16种血细胞表型进行了实际数据分析,结果表明对于大多数性状,mr.mash-rss比竞争方法具有更高的预测准确性,尤其是当数据集样本量较小时。

https://cdn.ncbi.nlm.nih.gov/pmc/blobs/a2c9/11741642/da5150f9ed54/pgen.1011519.g005.jpg
https://cdn.ncbi.nlm.nih.gov/pmc/blobs/a2c9/11741642/94ebc221b14a/pgen.1011519.g001.jpg
https://cdn.ncbi.nlm.nih.gov/pmc/blobs/a2c9/11741642/51b43324158e/pgen.1011519.g002.jpg
https://cdn.ncbi.nlm.nih.gov/pmc/blobs/a2c9/11741642/bfa7e6eb8510/pgen.1011519.g003.jpg
https://cdn.ncbi.nlm.nih.gov/pmc/blobs/a2c9/11741642/2418cd251162/pgen.1011519.g004.jpg
https://cdn.ncbi.nlm.nih.gov/pmc/blobs/a2c9/11741642/da5150f9ed54/pgen.1011519.g005.jpg
https://cdn.ncbi.nlm.nih.gov/pmc/blobs/a2c9/11741642/94ebc221b14a/pgen.1011519.g001.jpg
https://cdn.ncbi.nlm.nih.gov/pmc/blobs/a2c9/11741642/51b43324158e/pgen.1011519.g002.jpg
https://cdn.ncbi.nlm.nih.gov/pmc/blobs/a2c9/11741642/bfa7e6eb8510/pgen.1011519.g003.jpg
https://cdn.ncbi.nlm.nih.gov/pmc/blobs/a2c9/11741642/2418cd251162/pgen.1011519.g004.jpg
https://cdn.ncbi.nlm.nih.gov/pmc/blobs/a2c9/11741642/da5150f9ed54/pgen.1011519.g005.jpg

相似文献

1
Improving polygenic prediction from summary data by learning patterns of effect sharing across multiple phenotypes.通过学习跨多种表型的效应共享模式来改进基于汇总数据的多基因预测。
PLoS Genet. 2025 Jan 7;21(1):e1011519. doi: 10.1371/journal.pgen.1011519. eCollection 2025 Jan.
2
Improving polygenic prediction from summary data by learning patterns of effect sharing across multiple phenotypes.通过学习多种表型间效应共享模式来改善基于汇总数据的多基因预测。
bioRxiv. 2024 May 10:2024.05.06.592745. doi: 10.1101/2024.05.06.592745.
3
Non-parametric Polygenic Risk Prediction via Partitioned GWAS Summary Statistics.基于分区 GWAS 汇总统计量的非参数多基因风险预测。
Am J Hum Genet. 2020 Jul 2;107(1):46-59. doi: 10.1016/j.ajhg.2020.05.004. Epub 2020 May 28.
4
Evaluation of Bayesian Linear Regression models for gene set prioritization in complex diseases.贝叶斯线性回归模型在复杂疾病基因集优先级中的评价。
PLoS Genet. 2024 Nov 4;20(11):e1011463. doi: 10.1371/journal.pgen.1011463. eCollection 2024 Nov.
5
Fast and scalable ensemble learning method for versatile polygenic risk prediction.快速且可扩展的集成学习方法,用于多功能多基因风险预测。
Proc Natl Acad Sci U S A. 2024 Aug 13;121(33):e2403210121. doi: 10.1073/pnas.2403210121. Epub 2024 Aug 7.
6
Polygenic prediction via Bayesian regression and continuous shrinkage priors.基于贝叶斯回归和连续收缩先验的多基因预测。
Nat Commun. 2019 Apr 16;10(1):1776. doi: 10.1038/s41467-019-09718-5.
7
POLARIS: Polygenic LD-adjusted risk score approach for set-based analysis of GWAS data.POLARIS:用于全基因组关联研究(GWAS)数据基于集合分析的多基因连锁不平衡调整风险评分方法。
Genet Epidemiol. 2018 Jun;42(4):366-377. doi: 10.1002/gepi.22117. Epub 2018 Mar 12.
8
Leveraging LD eigenvalue regression to improve the estimation of SNP heritability and confounding inflation.利用 LD 特征值回归提高 SNP 遗传力和混杂膨胀的估计。
Am J Hum Genet. 2022 May 5;109(5):802-811. doi: 10.1016/j.ajhg.2022.03.013. Epub 2022 Apr 13.
9
Joint modeling of genetically correlated diseases and functional annotations increases accuracy of polygenic risk prediction.对基因相关疾病和功能注释进行联合建模可提高多基因风险预测的准确性。
PLoS Genet. 2017 Jun 9;13(6):e1006836. doi: 10.1371/journal.pgen.1006836. eCollection 2017 Jun.
10
Variable prediction accuracy of polygenic scores within an ancestry group.群体内多基因评分的预测准确性存在差异。
Elife. 2020 Jan 30;9:e48376. doi: 10.7554/eLife.48376.

本文引用的文献

1
Integrative polygenic risk score improves the prediction accuracy of complex traits and diseases.整合多基因风险评分可提高复杂性状和疾病的预测准确性。
Cell Genom. 2024 Apr 10;4(4):100523. doi: 10.1016/j.xgen.2024.100523. Epub 2024 Mar 19.
2
Deep learning-based phenotype imputation on population-scale biobank data increases genetic discoveries.基于深度学习的人群规模生物库数据表型推断可增加遗传发现。
Nat Genet. 2023 Dec;55(12):2269-2276. doi: 10.1038/s41588-023-01558-w. Epub 2023 Nov 20.
3
Phenotype integration improves power and preserves specificity in biobank-based genetic studies of major depressive disorder.
表型整合提高了基于生物库的重度抑郁症遗传研究的功效并保持了特异性。
Nat Genet. 2023 Dec;55(12):2082-2093. doi: 10.1038/s41588-023-01559-9. Epub 2023 Nov 20.
4
Expanded utility of the R package, qgg, with applications within genomic medicine.扩展 R 包 qgg 的实用功能,在基因组医学中应用。
Bioinformatics. 2023 Nov 1;39(11). doi: 10.1093/bioinformatics/btad656.
5
mtPGS: Leverage multiple correlated traits for accurate polygenic score construction.mtPGS:利用多个相关性状进行准确的多基因评分构建。
Am J Hum Genet. 2023 Oct 5;110(10):1673-1689. doi: 10.1016/j.ajhg.2023.08.016. Epub 2023 Sep 15.
6
Multi-PGS enhances polygenic prediction by combining 937 polygenic scores.多基因评分聚合(Multi-PGS)通过整合 937 个多基因评分来增强多基因预测。
Nat Commun. 2023 Aug 5;14(1):4702. doi: 10.1038/s41467-023-40330-w.
7
A flexible empirical Bayes approach to multivariate multiple regression, and its improved accuracy in predicting multi-tissue gene expression from genotypes.一种灵活的经验贝叶斯多元多重回归方法,及其在预测基因型多组织基因表达方面的准确性的提高。
PLoS Genet. 2023 Jul 7;19(7):e1010539. doi: 10.1371/journal.pgen.1010539. eCollection 2023 Jul.
8
Fast and accurate Bayesian polygenic risk modeling with variational inference.基于变分推断的快速准确贝叶斯多基因风险建模。
Am J Hum Genet. 2023 May 4;110(5):741-761. doi: 10.1016/j.ajhg.2023.03.009. Epub 2023 Apr 7.
9
Identifying and correcting for misspecifications in GWAS summary statistics and polygenic scores.识别并校正全基因组关联研究汇总统计数据和多基因评分中的错误设定。
HGG Adv. 2022 Aug 18;3(4):100136. doi: 10.1016/j.xhgg.2022.100136. eCollection 2022 Oct 13.
10
Fine-mapping from summary data with the "Sum of Single Effects" model.基于“单一效应总和”模型的汇总数据精细定位。
PLoS Genet. 2022 Jul 19;18(7):e1010299. doi: 10.1371/journal.pgen.1010299. eCollection 2022 Jul.