Suppr超能文献

在具有免疫活性的头颈部鳞状细胞癌小鼠模型中鉴定具有促肿瘤和抗肿瘤特性的B细胞亚群。

Identification of B Cell Subpopulations with Pro- and Anti-Tumorigenic Properties in an Immunocompetent Mouse Model of Head and Neck Squamous Cell Carcinoma.

作者信息

Sonntag Michael, Stanojevic Sandra, Laban Simon, Schuler Patrick J, Hoffmann Thomas K, Brunner Cornelia

机构信息

Department of Otorhinolaryngology, Ulm University Medical Center, 89075 Ulm, Germany.

Department of Otorhinolaryngology, University Hospital Heidelberg, 69120 Heidelberg, Germany.

出版信息

Cells. 2024 Dec 29;14(1):20. doi: 10.3390/cells14010020.

Abstract

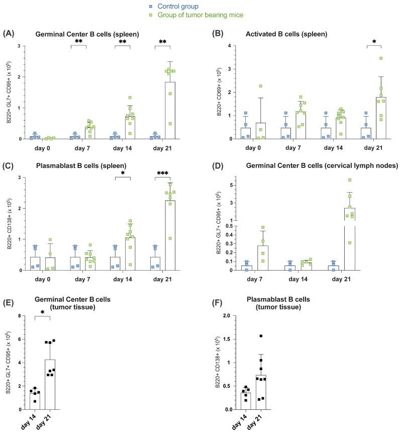
Due to their high developmental diversity and different regulatory and functional roles, B cell subpopulations can promote or inhibit tumor growth. An orthotopic murine HNSCC model was applied to investigate the B cell composition and function in HNSCCs. Using flow cytometry approaches, cells from the spleen, lymph nodes and tumors were analyzed. Additionally, immunoglobulin (Ig) levels post-tumor induction were tracked via enzyme-linked immunosorbent assays (ELISA). Following tumor induction, GCs, as well as increasing numbers of GL7CD95 GC B cells in the spleen and tumor tissues, were detected. In parallel, we observed CD39CD73 B cells in tumors and spleens of tumor-bearing mice. Notably, CD39CD73 expression was primarily detected on MZ B cells and to a lesser extent on follicular (FO) and non-follicular, newly formed (NF) B cells, supposing an immunosuppressive function of MZ B cells in the TME. Parallel to increased MZ B cell numbers in secondary lymphoid organs (SLOs) as well as in the tumor tissue, IgM antibody (Ab) levels rose continuously. In contrast, IgG1, IgG2, and IgG3 levels increased at later time points. Understanding the complex interactions between B cell subsets and the TME could lead to new strategies for enhancing the treatment and prognosis of HNSCC patients.

摘要

由于其高度的发育多样性以及不同的调节和功能作用,B细胞亚群可促进或抑制肿瘤生长。应用原位小鼠头颈部鳞状细胞癌(HNSCC)模型来研究HNSCC中的B细胞组成和功能。采用流式细胞术方法,对来自脾脏、淋巴结和肿瘤的细胞进行分析。此外,通过酶联免疫吸附测定(ELISA)追踪肿瘤诱导后的免疫球蛋白(Ig)水平。肿瘤诱导后,在脾脏和肿瘤组织中检测到生发中心(GC)以及数量不断增加的GL7⁺CD95⁺ GC B细胞。同时,我们在荷瘤小鼠的肿瘤和脾脏中观察到CD39⁺CD73⁺ B细胞。值得注意的是,CD39⁺CD73⁺表达主要在边缘区(MZ)B细胞上检测到,在滤泡(FO)和非滤泡、新形成的(NF)B细胞上检测到的程度较低,推测MZ B细胞在肿瘤微环境(TME)中具有免疫抑制功能。与二级淋巴器官(SLOs)以及肿瘤组织中MZ B细胞数量增加并行的是,IgM抗体(Ab)水平持续上升。相比之下,IgG1、IgG2和IgG3水平在后期时间点升高。了解B细胞亚群与TME之间的复杂相互作用可能会带来改善HNSCC患者治疗和预后的新策略。

https://cdn.ncbi.nlm.nih.gov/pmc/blobs/eed2/11720715/6dca99070953/cells-14-00020-g0A1.jpg

文献检索

告别复杂PubMed语法,用中文像聊天一样搜索,搜遍4000万医学文献。AI智能推荐,让科研检索更轻松。

立即免费搜索

文件翻译

保留排版,准确专业,支持PDF/Word/PPT等文件格式,支持 12+语言互译。

免费翻译文档

深度研究

AI帮你快速写综述,25分钟生成高质量综述,智能提取关键信息,辅助科研写作。

立即免费体验