• 文献检索
  • 文档翻译
  • 深度研究
  • 学术资讯
  • Suppr Zotero 插件Zotero 插件
  • 邀请有礼
  • 套餐&价格
  • 历史记录
应用&插件
Suppr Zotero 插件Zotero 插件浏览器插件Mac 客户端Windows 客户端微信小程序
定价
高级版会员购买积分包购买API积分包
服务
文献检索文档翻译深度研究API 文档MCP 服务
关于我们
关于 Suppr公司介绍联系我们用户协议隐私条款
关注我们

Suppr 超能文献

核心技术专利:CN118964589B侵权必究
粤ICP备2023148730 号-1Suppr @ 2026

文献检索

告别复杂PubMed语法,用中文像聊天一样搜索,搜遍4000万医学文献。AI智能推荐,让科研检索更轻松。

立即免费搜索

文件翻译

保留排版,准确专业,支持PDF/Word/PPT等文件格式,支持 12+语言互译。

免费翻译文档

深度研究

AI帮你快速写综述,25分钟生成高质量综述,智能提取关键信息,辅助科研写作。

立即免费体验

免疫炎症指标与骨关节炎之间的关联 - 美国国家健康与营养检查调查(NHANES)1999 - 2018年

Association between the immune-inflammation indicators and osteoarthritis - NHANES 1999-2018.

作者信息

Xue Yan, Chang Cheng, Chen Yajun, Jia Lang, Wang Han, Liu Zaoyang, Xie Jiang

机构信息

Department of Pediatrics, The Third People's Hospital of Chengdu, Affiliated Hospital of Southwest Jiaotong University & The Second Affiliated Hospital of Chengdu, Chongqing Medical University, Chengdu, Sichuan, China.

Institute of Biomedical Engineering, College of Medicine, Southwest Jiaotong University, Chengdu 610031, Sichuan, China.

出版信息

Osteoarthr Cartil Open. 2024 Feb 29;7(1):100453. doi: 10.1016/j.ocarto.2024.100453. eCollection 2025 Mar.

DOI:10.1016/j.ocarto.2024.100453
PMID:39802080
原文链接:https://pmc.ncbi.nlm.nih.gov/articles/PMC11720436/
Abstract

BACKGROUND

Investigate the link between systemic immune-inflammatory index (SII) and Systemic Immune Response Index (SIRI) with osteoarthritis (OA) using National Health and Nutrition Examination Survey (NHANES) data (1999-2018).

METHODS

Extracted NHANES data (1999-2018) and selected a study population based on demographic, examination, and laboratory data. Calculated SII (platelet count ​× ​neutrophil count/lymphocyte count) and SIRI (neutrophil count ​× ​monocyte count/lymphocyte count). Employed multivariate logistic regression and restricted cubic spline (RCS) regression for Ln-SII, SIRI, and OA relationship investigation. Conducted subgroup analyses.

RESULTS

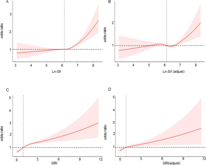
Study involved 32,144 participants (16,515 males, 15,629 females), with 12.16% having OA. Positive correlation between highest SII quartile and OA in unadjusted and adjusted model 1 (Unadjusted Model, P ​< ​0.001; Model 1, P ​= ​0.01). In Model 2, adjusting for all factors, positive correlation observed, not statistically significant (Model 2, P ​= ​0.07). Similar SIRI-OA correlation trends from Unadjusted Model to Model 2 (Unadjusted Model, P ​< ​0.0001; Model 1, P ​< ​0.0001; Model 2, P ​< ​0.001). Subgroup analysis found no significant factors. Identified critical point at ln-SII ≈6.39 (SII ​= ​595.86), beyond which OA prevalence significantly increased. No potential nonlinear SIRI-OA association (NL-P value ​> ​0.05).

CONCLUSION

When SII exceeds 595.86, OA prevalence may rise. Besides, there was a significant positive correlation between SIRI and OA prevalence. SII and SIRI may be useful markers for OA research, warranting further exploration in this area.

摘要

背景

利用美国国家健康与营养检查调查(NHANES,1999 - 2018年)数据,研究全身免疫炎症指数(SII)和全身免疫反应指数(SIRI)与骨关节炎(OA)之间的联系。

方法

提取NHANES(1999 - 2018年)数据,并根据人口统计学、检查和实验室数据选择研究人群。计算SII(血小板计数×中性粒细胞计数/淋巴细胞计数)和SIRI(中性粒细胞计数×单核细胞计数/淋巴细胞计数)。采用多因素逻辑回归和限制立方样条(RCS)回归研究Ln - SII、SIRI与OA的关系。进行亚组分析。

结果

研究纳入32144名参与者(男性16515名,女性15629名),其中12.16%患有OA。在未调整模型和调整模型1中,最高SII四分位数与OA呈正相关(未调整模型,P < 0.001;模型1,P = 0.01)。在模型2中,调整所有因素后,观察到正相关,但无统计学意义(模型2,P = 0.07)。从未调整模型到模型2,SIRI与OA的相关趋势相似(未调整模型,P < 0.0001;模型1,P < 0.0001;模型2,P < 0.001)。亚组分析未发现显著因素。确定ln - SII≈6.39(SII = 595.86)为临界点,超过该点OA患病率显著增加。未发现SIRI与OA之间存在潜在的非线性关联(NL - P值> 0.05)。

结论

当SII超过595.86时,OA患病率可能上升。此外,SIRI与OA患病率之间存在显著正相关。SII和SIRI可能是OA研究的有用标志物,值得在该领域进一步探索。

https://cdn.ncbi.nlm.nih.gov/pmc/blobs/ea24/11720436/1ccfec02e94a/gr3.jpg
https://cdn.ncbi.nlm.nih.gov/pmc/blobs/ea24/11720436/722d56589e7e/gr1.jpg
https://cdn.ncbi.nlm.nih.gov/pmc/blobs/ea24/11720436/7ff503af7c0c/gr2.jpg
https://cdn.ncbi.nlm.nih.gov/pmc/blobs/ea24/11720436/1ccfec02e94a/gr3.jpg
https://cdn.ncbi.nlm.nih.gov/pmc/blobs/ea24/11720436/722d56589e7e/gr1.jpg
https://cdn.ncbi.nlm.nih.gov/pmc/blobs/ea24/11720436/7ff503af7c0c/gr2.jpg
https://cdn.ncbi.nlm.nih.gov/pmc/blobs/ea24/11720436/1ccfec02e94a/gr3.jpg

相似文献

1
Association between the immune-inflammation indicators and osteoarthritis - NHANES 1999-2018.免疫炎症指标与骨关节炎之间的关联 - 美国国家健康与营养检查调查(NHANES)1999 - 2018年
Osteoarthr Cartil Open. 2024 Feb 29;7(1):100453. doi: 10.1016/j.ocarto.2024.100453. eCollection 2025 Mar.
2
Higher systemic immune-inflammation index and systemic inflammation response index levels are associated with stroke prevalence in the asthmatic population: a cross-sectional analysis of the NHANES 1999-2018.较高的全身性免疫炎症指数和全身性炎症反应指数水平与哮喘人群中的中风患病率相关:NHANES 1999-2018 的横断面分析。
Front Immunol. 2023 Aug 4;14:1191130. doi: 10.3389/fimmu.2023.1191130. eCollection 2023.
3
Association of systemic immune biomarkers with metabolic dysfunction-associated steatotic liver disease: a cross-sectional study of NHANES 2007-2018.全身免疫生物标志物与代谢功能障碍相关脂肪性肝病的关联:一项基于2007 - 2018年美国国家健康与营养检查调查(NHANES)的横断面研究
Front Nutr. 2024 Sep 4;11:1415484. doi: 10.3389/fnut.2024.1415484. eCollection 2024.
4
Systemic Immune-Inflammation Index and Systemic Inflammation Response Index are Associated With Periodontitis: Evidence From NHANES 2009 to 2014.系统性免疫炎症指数和全身炎症反应指数与牙周炎相关:来自 NHANES 2009 至 2014 年的证据。
Int Dent J. 2024 Oct;74(5):1033-1043. doi: 10.1016/j.identj.2024.03.019. Epub 2024 Apr 30.
5
The systemic immune-inflammation index and systemic inflammation response index are useful for predicting mortality in patients with diabetic nephropathy.全身免疫炎症指数和全身炎症反应指数有助于预测糖尿病肾病患者的死亡率。
Diabetol Metab Syndr. 2024 Nov 24;16(1):282. doi: 10.1186/s13098-024-01536-0.
6
Systemic inflammatory biomarkers are novel predictors of all-cause and cardiovascular mortality in individuals with osteoarthritis: a prospective cohort study using data from the NHANES.全身炎症生物标志物是骨关节炎患者全因死亡率和心血管死亡率的新型预测指标:一项使用美国国家健康与营养检查调查(NHANES)数据的前瞻性队列研究。
BMC Public Health. 2024 Jun 13;24(1):1586. doi: 10.1186/s12889-024-19105-5.
7
Association between obesity and systemic immune inflammation index, systemic inflammation response index among US adults: a population-based analysis.美国成年人中肥胖与全身免疫炎症指数、全身炎症反应指数的相关性:基于人群的分析。
Lipids Health Dis. 2024 Aug 10;23(1):245. doi: 10.1186/s12944-024-02240-8.
8
Associations between SII, SIRI, and cardiovascular disease in obese individuals: a nationwide cross-sectional analysis.肥胖个体中全身免疫炎症指数(SII)、全身炎症反应指数(SIRI)与心血管疾病的关联:一项全国性横断面分析。
Front Cardiovasc Med. 2024 Aug 22;11:1361088. doi: 10.3389/fcvm.2024.1361088. eCollection 2024.
9
Association between systemic immune inflammation index, systemic inflammation response index and adult psoriasis: evidence from NHANES.系统免疫炎症指数、全身炎症反应指数与成人银屑病的关系:来自 NHANES 的证据。
Front Immunol. 2024 Feb 13;15:1323174. doi: 10.3389/fimmu.2024.1323174. eCollection 2024.
10
Relationship between systemic immune-inflammation index and osteoarthritis: a cross-sectional study from the NHANES 2005-2018.全身免疫炎症指数与骨关节炎的关系:一项来自2005 - 2018年美国国家健康与营养检查调查的横断面研究
Front Med (Lausanne). 2024 Aug 14;11:1433846. doi: 10.3389/fmed.2024.1433846. eCollection 2024.

引用本文的文献

1
Older age at anterior cruciate ligament reconstruction associates with a lower systemic inflammation response index after surgery.前交叉韧带重建手术时年龄较大与术后较低的全身炎症反应指数相关。
J Orthop. 2025 Mar 15;69:137-141. doi: 10.1016/j.jor.2025.03.019. eCollection 2025 Nov.

本文引用的文献

1
Metabolic and inflammatory profiles define phenotypes with clinical relevance in female knee osteoarthritis patients with joint effusion.代谢和炎症特征可定义伴关节积液的女性膝骨关节炎患者的具有临床相关性的表型。
Rheumatology (Oxford). 2023 Dec 1;62(12):3875-3885. doi: 10.1093/rheumatology/kead135.
2
The physiological metabolite α-ketoglutarate ameliorates osteoarthritis by regulating mitophagy and oxidative stress.生理代谢物 α-酮戊二酸通过调节线粒体自噬和氧化应激改善骨关节炎。
Redox Biol. 2023 Jun;62:102663. doi: 10.1016/j.redox.2023.102663. Epub 2023 Mar 10.
3
Association of smoking and osteoarthritis in US (NHANES 1999-2018).
美国吸烟与骨关节炎的相关性研究(NHANES 1999-2018)。
Sci Rep. 2023 Mar 8;13(1):3911. doi: 10.1038/s41598-023-30644-6.
4
Association of general and central obesity, and their changes with risk of knee osteoarthritis: a nationwide population-based cohort study.一般和中心性肥胖及其与膝关节骨关节炎风险变化的关联:一项全国性基于人群的队列研究。
Sci Rep. 2023 Mar 7;13(1):3796. doi: 10.1038/s41598-023-30727-4.
5
The association between systemic immune-inflammation index and rheumatoid arthritis: evidence from NHANES 1999-2018.全身免疫炎症指数与类风湿关节炎的相关性:来自 NHANES 1999-2018 年的证据。
Arthritis Res Ther. 2023 Mar 4;25(1):34. doi: 10.1186/s13075-023-03018-6.
6
Early Osteoarthritis Questionnaire (EOAQ): a tool to assess knee osteoarthritis at initial stage.早期骨关节炎问卷(EOAQ):一种在初始阶段评估膝关节骨关节炎的工具。
Ther Adv Musculoskelet Dis. 2023 Feb 25;15:1759720X221131604. doi: 10.1177/1759720X221131604. eCollection 2023.
7
Osteoarthritis: pathogenic signaling pathways and therapeutic targets.骨关节炎:发病信号通路和治疗靶点。
Signal Transduct Target Ther. 2023 Feb 3;8(1):56. doi: 10.1038/s41392-023-01330-w.
8
Silencing Protects against Injury-Induced Osteoarthritis in Mice.沉默保护小鼠免受损伤诱导的骨关节炎。
Biomolecules. 2023 Jan 7;13(1):123. doi: 10.3390/biom13010123.
9
The Role of AIM2 Inflammasome in Knee Osteoarthritis.AIM2炎性小体在膝关节骨关节炎中的作用
J Inflamm Res. 2022 Nov 28;15:6453-6461. doi: 10.2147/JIR.S392652. eCollection 2022.
10
The systemic immune-inflammation index in predicting sepsis mortality.全身免疫炎症指数在预测脓毒症死亡率中的作用
Postgrad Med. 2023 May;135(4):345-351. doi: 10.1080/00325481.2022.2140535. Epub 2022 Nov 8.