Suppr超能文献

玉米杂交种及其亲本自交系关键生殖时期气孔特征分析

Analysis of stomatal characteristics of maize hybrids and their parental inbred lines during critical reproductive periods.

作者信息

Zhang Changyu, Jin Yu, Wang Jinglu, Zhang Ying, Zhao Yanxin, Lu Xianju, Song Wei, Guo Xinyu

机构信息

Beijing Key Lab of Digital Plant, Information Technology Research Center, Beijing Academy of Agriculture and Forestry Sciences, Beijing, China.

National Engineering Research Center for Information Technology in Agriculture, Beijing Academy of Agriculture and Forestry Sciences, Beijing, China.

出版信息

Front Plant Sci. 2025 Jan 16;15:1442686. doi: 10.3389/fpls.2024.1442686. eCollection 2024.

Abstract

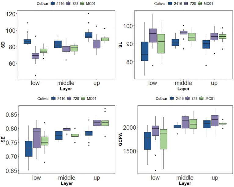
The stomatal phenotype is a crucial microscopic characteristic of the leaf surface, and modulating the stomata of maize leaves can enhance photosynthetic carbon assimilation and water use efficiency, thereby playing a vital role in maize yield formation. The evolving imaging and image processing technologies offer effective tools for precise analysis of stomatal phenotypes. This study employed Jingnongke 728 and its parental inbred to capture stomatal images from various leaf positions and abaxial surfaces during key reproductive stages using rapid scanning electron microscopy. We uesd a target detection and image segmentation approach based on YOLOv5s and Unet to efficiently obtain 11 phenotypic traits encompassing stomatal count, shape, and distribution. Manual validation revealed high detection accuracies for stomatal density, width, and length, with R2 values of 0.92, 0.97, and 0.95, respectively. Phenotypic analyses indicated a significant positive correlation between stomatal density and the percentage of guard cells and pore area (r=0.36), and a negative correlation with stomatal area and subsidiary cell area (r=-0.34 and -0.46). Additionally, stomatal traits exhibited notable variations with reproductive stages and leaf layers. Specifically, at the monocot scale, stomatal density increased from 74.35 to 87.19 Counts/mm2 from lower to upper leaf layers. Concurrently, the stomatal shape shifted from sub-circular (stomatal roundness = 0.64) to narrow and elongated (stomatal roundness = 0.63). Throughout the growth cycle, stomatal density remained stable during vegetative growth, decreased during reproductive growth with smaller size and narrower shape, and continued to decline while increasing in size and tending towards a rounded shape during senescence. Remarkably, hybrid 728 differed notably from its parents in stomatal phenotype, particularly during senescence. Moreover, the stomatal density of the hybrids showed negative super parental heterosis (heterosis rate = -0.09), whereas stomatal dimensions exhibited positive super parental heterosis, generally resembling the parent MC01. This investigation unveils the dynamic variations in maize stomatal phenotypes, bolstering genetic analyses and targeted improvements in maize, and presenting a novel technological instrument for plant phenotype studies.

摘要

气孔表型是叶片表面一个关键的微观特征,调节玉米叶片的气孔可以提高光合碳同化和水分利用效率,从而在玉米产量形成中发挥重要作用。不断发展的成像和图像处理技术为精确分析气孔表型提供了有效的工具。本研究使用京农科728及其亲本自交系,在关键生殖阶段,利用快速扫描电子显微镜从不同叶位和叶片背面采集气孔图像。我们采用基于YOLOv5s和Unet的目标检测与图像分割方法,高效获取了包括气孔数量、形状和分布在内的11个表型性状。人工验证显示气孔密度、宽度和长度的检测准确率较高,R2值分别为0.92、0.97和0.95。表型分析表明,气孔密度与保卫细胞百分比和孔面积呈显著正相关(r = 0.36),与气孔面积和副卫细胞面积呈负相关(r = -0.34和-0.46)。此外,气孔性状在生殖阶段和叶层间表现出显著差异。具体而言,在单子叶尺度上,气孔密度从下部叶层到上部叶层从74.35个/mm2增加到87.19个/mm2。同时,气孔形状从近圆形(气孔圆度 = 0.64)变为窄而长的形状(气孔圆度 = 0.63)。在整个生长周期中,气孔密度在营养生长阶段保持稳定,在生殖生长阶段下降,气孔尺寸变小且形状变窄,在衰老阶段继续下降,同时尺寸增大并趋于圆形。值得注意的是,杂交种728在气孔表型上与其亲本显著不同,尤其是在衰老阶段。此外,杂交种的气孔密度表现出负向超亲杂种优势(杂种优势率 = -0.09),而气孔尺寸表现出正向超亲杂种优势,总体上类似于亲本MC01。本研究揭示了玉米气孔表型的动态变化,有助于玉米的遗传分析和定向改良,并为植物表型研究提供了一种新的技术手段。

https://cdn.ncbi.nlm.nih.gov/pmc/blobs/2d71/11779725/539db82964bc/fpls-15-1442686-g001.jpg

相似文献

1
Analysis of stomatal characteristics of maize hybrids and their parental inbred lines during critical reproductive periods.
Front Plant Sci. 2025 Jan 16;15:1442686. doi: 10.3389/fpls.2024.1442686. eCollection 2024.
2
Transcriptome Reveals Allele Contribution to Heterosis in Maize.
Front Plant Sci. 2021 Sep 23;12:739072. doi: 10.3389/fpls.2021.739072. eCollection 2021.
4
Effects of experimental warming on stomatal traits in leaves of maize (Zea may L.).
Ecol Evol. 2013 Sep;3(9):3095-111. doi: 10.1002/ece3.674. Epub 2013 Aug 1.
5
Natural Diversity in Stomatal Features of Cultivated and Wild Oryza Species.
Rice (N Y). 2020 Aug 20;13(1):58. doi: 10.1186/s12284-020-00417-0.
6
Stomatal Ratio Showing No Response to Light Intensity in .
Plants (Basel). 2022 Dec 23;12(1):66. doi: 10.3390/plants12010066.
7

本文引用的文献

1
LeafNet: a tool for segmenting and quantifying stomata and pavement cells.
Plant Cell. 2022 Mar 29;34(4):1171-1188. doi: 10.1093/plcell/koac021.
3
StomataScorer: a portable and high-throughput leaf stomata trait scorer combined with deep learning and an improved CV model.
Plant Biotechnol J. 2022 Mar;20(3):577-591. doi: 10.1111/pbi.13741. Epub 2021 Nov 12.
4
Classical phenotyping and deep learning concur on genetic control of stomatal density and area in sorghum.
Plant Physiol. 2021 Jul 6;186(3):1562-1579. doi: 10.1093/plphys/kiab174.
5
Improved photosynthetic characteristics correlated with enhanced biomass in a heterotic F hybrid of maize (Zea mays L.).
Photosynth Res. 2021 Mar;147(3):253-267. doi: 10.1007/s11120-021-00822-6. Epub 2021 Feb 8.
6
Cellpose: a generalist algorithm for cellular segmentation.
Nat Methods. 2021 Jan;18(1):100-106. doi: 10.1038/s41592-020-01018-x. Epub 2020 Dec 14.
7
Accurate and versatile 3D segmentation of plant tissues at cellular resolution.
Elife. 2020 Jul 29;9:e57613. doi: 10.7554/eLife.57613.
8
Crop Phenomics and High-Throughput Phenotyping: Past Decades, Current Challenges, and Future Perspectives.
Mol Plant. 2020 Feb 3;13(2):187-214. doi: 10.1016/j.molp.2020.01.008. Epub 2020 Jan 22.
9
Highly Efficient Nanoscale Analysis of Plant Stomata and Cell Surface Using Polyaddition Silicone Rubber.
Front Plant Sci. 2019 Dec 13;10:1569. doi: 10.3389/fpls.2019.01569. eCollection 2019.
10
Automatic segmentation and measurement methods of living stomata of plants based on the CV model.
Plant Methods. 2019 Jul 3;15:67. doi: 10.1186/s13007-019-0453-5. eCollection 2019.

文献AI研究员

20分钟写一篇综述,助力文献阅读效率提升50倍。

立即体验

用中文搜PubMed

大模型驱动的PubMed中文搜索引擎

马上搜索

文档翻译

学术文献翻译模型,支持多种主流文档格式。

立即体验