Suppr超能文献

身体成分与畜牧业饮食排放。

Body composition and CO dietary emissions.

作者信息

García Silvia, Monserrat-Mesquida Margalida, Mas-Fontao Sebastián, Cuadrado-Soto Esther, Ortiz-Ramos María, Matía-Martín Pilar, Daimiel Lidia, Vázquez Clotilde, Tur Josep A, Bouzas Cristina

机构信息

CIBER Fisiopatología de la Obesidad y Nutrición (CIBEROBN), Instituto de Salud Carlos III (ISCIII), Madrid, Spain.

Research Group on Community Nutrition & Oxidative Stress, University of Balearic Islands-IUNICS, Palma de Mallorca, Spain.

出版信息

Front Public Health. 2025 Jan 17;12:1432109. doi: 10.3389/fpubh.2024.1432109. eCollection 2024.

Abstract

BACKGROUND

The amount and quality of foods consumed not only impact on individual health, as reflected in body composition, but they could influence on greenhouse gas emissions and then, on environment.

AIM

This study aims to assess the relationship between the body composition and the CO emissions resulting from the dietary choices of an adult population.

DESIGN

A cross-sectional study on baseline data from 778 participants aged 55-75 years old, with metabolic syndrome (MetS) as part of the PREDIMED-Plus study.

METHODS

Food intake was registered using a validated semi quantitative 143-item food frequency questionnaire. The amount of CO emitted was calculated using data from the Agribalyse® 3.0.1 database. Anthropometry (body weight, height, and waist, and hip circumference, and body mass index) was determined by usual measurements, and body composition (fat mass, visceral fat, muscular mass, fat free mass, and total body water) were assessed by bioimpedance.

RESULTS

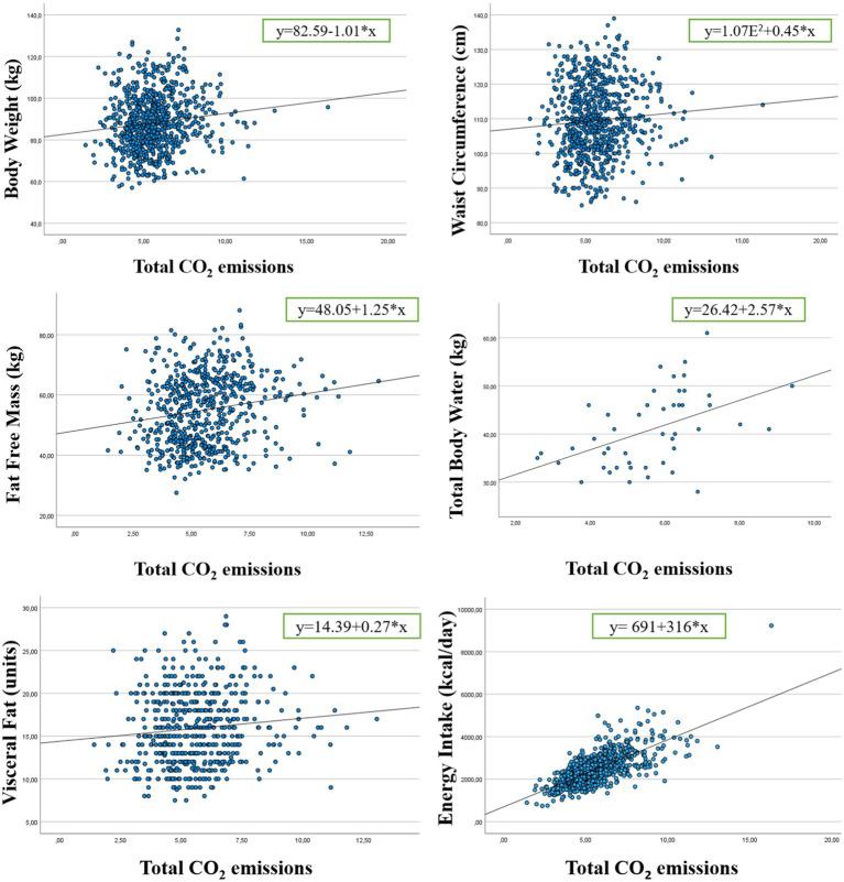
CO emissions were linearly and positively associated with weight, waist circumference, visceral fat, fat free mass, total body water and energy intake.

CONCLUSION

Body composition is associated with dietary CO emissions. The higher total body water, fat free mass, and body weight, the higher the dietary CO emissions were, following a linear relationship.

CLINICAL TRIAL REGISTRATION

http://www.isrctn.com/ISRCTN89898870, ISRCTN89898870.

摘要

背景

所摄入食物的数量和质量不仅会影响个体健康,如体成分所反映的那样,还可能影响温室气体排放,进而影响环境。

目的

本研究旨在评估成年人群的体成分与饮食选择所产生的二氧化碳排放之间的关系。

设计

一项横断面研究,基于778名年龄在55 - 75岁的参与者的基线数据,这些参与者患有代谢综合征(MetS),是PREDIMED-Plus研究的一部分。

方法

使用经过验证的半定量143项食物频率问卷记录食物摄入量。利用Agribalyse® 3.0.1数据库的数据计算二氧化碳排放量。通过常规测量确定人体测量学指标(体重、身高、腰围、臀围和体重指数),并通过生物电阻抗评估体成分(脂肪量、内脏脂肪、肌肉量、去脂体重和全身水含量)。

结果

二氧化碳排放与体重、腰围、内脏脂肪、去脂体重、全身水含量和能量摄入呈线性正相关。

结论

体成分与饮食中的二氧化碳排放有关。全身水含量、去脂体重和体重越高,饮食中的二氧化碳排放就越高,呈线性关系。

临床试验注册

http://www.isrctn.com/ISRCTN89898870,ISRCTN89898870

https://cdn.ncbi.nlm.nih.gov/pmc/blobs/c227/11782150/8417ae623eb2/fpubh-12-1432109-g001.jpg

文献检索

告别复杂PubMed语法,用中文像聊天一样搜索,搜遍4000万医学文献。AI智能推荐,让科研检索更轻松。

立即免费搜索

文件翻译

保留排版,准确专业,支持PDF/Word/PPT等文件格式,支持 12+语言互译。

免费翻译文档

深度研究

AI帮你快速写综述,25分钟生成高质量综述,智能提取关键信息,辅助科研写作。

立即免费体验