• 文献检索
  • 文档翻译
  • 深度研究
  • 学术资讯
  • Suppr Zotero 插件Zotero 插件
  • 邀请有礼
  • 套餐&价格
  • 历史记录
应用&插件
Suppr Zotero 插件Zotero 插件浏览器插件Mac 客户端Windows 客户端微信小程序
定价
高级版会员购买积分包购买API积分包
服务
文献检索文档翻译深度研究API 文档MCP 服务
关于我们
关于 Suppr公司介绍联系我们用户协议隐私条款
关注我们

Suppr 超能文献

核心技术专利:CN118964589B侵权必究
粤ICP备2023148730 号-1Suppr @ 2026

文献检索

告别复杂PubMed语法,用中文像聊天一样搜索,搜遍4000万医学文献。AI智能推荐,让科研检索更轻松。

立即免费搜索

文件翻译

保留排版,准确专业,支持PDF/Word/PPT等文件格式,支持 12+语言互译。

免费翻译文档

深度研究

AI帮你快速写综述,25分钟生成高质量综述,智能提取关键信息,辅助科研写作。

立即免费体验

瑞米唑仑联合艾司唑仑对腹腔镜胆囊切除术患者焦虑水平及术后胃肠功能恢复的影响

Effect of remimazolam combined with estazolam on anxiety levels and postoperative gastrointestinal function recovery in patients undergoing laparoscopic cholecystectomy surgery.

作者信息

Mao Shimeng, Gao Ruijia, Huang Yu, He Hongyan, Yao Jinliang, Feng Jiying

机构信息

Department of Anesthesiology, The Affiliated Lianyungang Hospital of Xuzhou Medical University, No. 6 Zhenhua East Road, Lianyungang, 222002, Jiangsu, China.

Department of Anesthesiology, The First Affiliated Hospital of Kangda College of Nanjing Medical University, No.6 Zhenhua East Road, Lianyungang, 222002, Jiangsu, China.

出版信息

Eur J Med Res. 2025 Feb 19;30(1):118. doi: 10.1186/s40001-025-02381-1.

DOI:10.1186/s40001-025-02381-1
PMID:39972371
原文链接:https://pmc.ncbi.nlm.nih.gov/articles/PMC11837291/
Abstract

PURPOSE

The objective of this study is to examine the impact of administering remimazolam and estazolam in alleviating preoperative anxiety on the recovery of gastrointestinal function in patients undergoing laparoscopic cholecystectomy surgery.

MATERIALS AND METHODS

A total of 140 patients who were scheduled for elective laparoscopic cholecystectomy surgery were randomly divided into four groups using random number table: remimazolam group (group R, n = 35), estazolam group (group E, n = 35), remimazolam combined with estazolam group (group RE, n = 35), and control group (group C, n = 35). Group R received an intravenous injection of remimazolam before the administration of anesthesia, group E was orally administered estazolam on the night before surgery and intravenously injected with normal saline before induction of anesthesia, group RE received both estazolam orally on the night before surgery and intravenous injection of remimazolam before induction of anesthesia, and group C was given normal saline before induction of anesthesia. The visual analogue scale for anxiety (VAS-A) scores were documented during the preoperative visit, following entry into the operating room, and 10 min after intravenous remimazolam or normal saline. Time to the first postoperative exhaust and defecation, occurrence of nausea and vomiting within 24 h after surgery, sleep quality scores on the night before surgery and two nights after surgery as per Numerical Rating Scale (NRS), postoperative patient satisfaction, and occurrence of adverse reactions were also recorded.

RESULTS

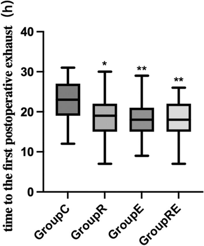
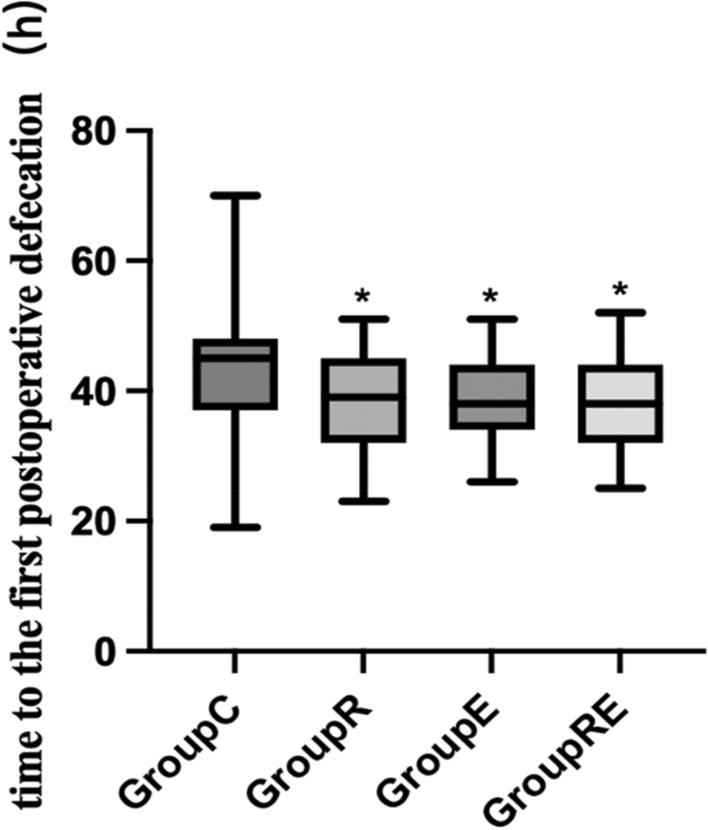
In contrast to group C, time to the first postoperative exhaust and defecation of groups R, E, and RE were significantly reduced (P < 0.05); the VAS-A scores of groups E and RE exhibited a significant decrease upon entering the operating room, and the VAS-A scores of groups R, E, and RE decreased significantly 10 min after intravenous remimazolam or normal saline (P < 0.05); sleep quality scores of groups R, E, and RE were significantly higher on the first night after surgery (P < 0.05). There was no significant difference in the occurrence of nausea and vomiting among the four groups within 24 h after surgery. No adverse reactions such as wound bleeding, infection, and severe abdominal distension occurred in the four groups.

CONCLUSIONS

The utilization of remimazolam and estazolam, either singularly or in combination, before laparoscopic cholecystectomy surgery, has shown considerable efficacy in alleviating preoperative anxiety, and thus expediting the recovery of postoperative gastrointestinal function in patients. Moreover, the combination of both agents can improve the patient's postoperative sleep quality, thereby elevating patient satisfaction.

摘要
https://cdn.ncbi.nlm.nih.gov/pmc/blobs/c3f1/11837291/33849d0bfae5/40001_2025_2381_Fig3_HTML.jpg
https://cdn.ncbi.nlm.nih.gov/pmc/blobs/c3f1/11837291/ca521aeb0eac/40001_2025_2381_Fig1_HTML.jpg
https://cdn.ncbi.nlm.nih.gov/pmc/blobs/c3f1/11837291/45c02a8d2776/40001_2025_2381_Fig2_HTML.jpg
https://cdn.ncbi.nlm.nih.gov/pmc/blobs/c3f1/11837291/33849d0bfae5/40001_2025_2381_Fig3_HTML.jpg
https://cdn.ncbi.nlm.nih.gov/pmc/blobs/c3f1/11837291/ca521aeb0eac/40001_2025_2381_Fig1_HTML.jpg
https://cdn.ncbi.nlm.nih.gov/pmc/blobs/c3f1/11837291/45c02a8d2776/40001_2025_2381_Fig2_HTML.jpg
https://cdn.ncbi.nlm.nih.gov/pmc/blobs/c3f1/11837291/33849d0bfae5/40001_2025_2381_Fig3_HTML.jpg

目的

本研究的目的是探讨使用瑞马唑仑和艾司唑仑减轻术前焦虑对腹腔镜胆囊切除术患者胃肠功能恢复的影响。

材料与方法

将140例择期行腹腔镜胆囊切除术的患者采用随机数字表法随机分为四组:瑞马唑仑组(R组,n = 35)、艾司唑仑组(E组,n = 35)、瑞马唑仑联合艾司唑仑组(RE组,n = 35)和对照组(C组,n = 35)。R组在麻醉给药前静脉注射瑞马唑仑,E组在手术前一晚口服艾司唑仑,麻醉诱导前静脉注射生理盐水,RE组在手术前一晚口服艾司唑仑且在麻醉诱导前静脉注射瑞马唑仑,C组在麻醉诱导前给予生理盐水。记录术前访视时、进入手术室时以及静脉注射瑞马唑仑或生理盐水后10分钟的焦虑视觉模拟量表(VAS-A)评分。还记录术后首次排气和排便时间、术后24小时内恶心呕吐的发生情况、根据数字评分量表(NRS)评估的手术前一晚和术后两晚的睡眠质量评分、术后患者满意度以及不良反应的发生情况。

结果

与C组相比,R组、E组和RE组术后首次排气和排便时间显著缩短(P < 0.05);E组和RE组进入手术室时VAS-A评分显著降低,R组、E组和RE组静脉注射瑞马唑仑或生理盐水后10分钟VAS-A评分显著降低(P < 0.05);R组、E组和RE组术后第一晚睡眠质量评分显著更高(P < 0.05)。四组术后24小时内恶心呕吐的发生率无显著差异。四组均未发生伤口出血、感染和严重腹胀等不良反应。

结论

在腹腔镜胆囊切除术手术前单独或联合使用瑞马唑仑和艾司唑仑,在减轻术前焦虑方面显示出显著疗效,从而加快患者术后胃肠功能的恢复。此外,两种药物联合使用可改善患者术后睡眠质量,从而提高患者满意度。

相似文献

1
Effect of remimazolam combined with estazolam on anxiety levels and postoperative gastrointestinal function recovery in patients undergoing laparoscopic cholecystectomy surgery.瑞米唑仑联合艾司唑仑对腹腔镜胆囊切除术患者焦虑水平及术后胃肠功能恢复的影响
Eur J Med Res. 2025 Feb 19;30(1):118. doi: 10.1186/s40001-025-02381-1.
2
Effect of estazolam plus remimazolam on attenuating preoperative anxiety and remifentanil-induced postoperative hyperalgesia in elective gynecological laparoscopic surgery: a randomized clinical trial.艾司唑仑联合瑞米唑仑对择期妇科腹腔镜手术患者术前焦虑及瑞芬太尼诱发术后痛觉过敏的影响:一项随机临床试验
Minerva Anestesiol. 2025 Mar;91(3):164-175. doi: 10.23736/S0375-9393.24.18563-X. Epub 2025 Feb 6.
3
The effects of remimazolam in combination with estazolam on postoperative hemodynamics and pain intensity in patients undergoing laparoscopic gastrointestinal surgery.瑞马唑仑联合依托咪酯对行腹腔镜胃肠手术患者术后血流动力学及疼痛强度的影响。
BMC Surg. 2024 Aug 24;24(1):240. doi: 10.1186/s12893-024-02527-8.
4
Effect of Remimazolam on Cellular Immune Response and Postoperative Recovery in Patients Undergoing Laparoscopic Colorectal Cancer Surgery.瑞米唑仑对腹腔镜结直肠癌手术患者细胞免疫反应及术后恢复的影响
Iran J Allergy Asthma Immunol. 2025 Jan 14;24(1):41-51. doi: 10.18502/ijaai.v24i1.18019.
5
Quality of recovery in patients administered remimazolam versus those administered an inhalant agent for the maintenance of general anesthesia: a randomized control trial.接受雷米唑仑给药与接受吸入性麻醉维持药物给药的患者的恢复质量:一项随机对照试验。
BMC Anesthesiol. 2022 Jul 16;22(1):226. doi: 10.1186/s12871-022-01770-x.
6
The Effect of Lidocaine-Prilocaine Cream Combined with or Without Remimazolam on VAS and APAIS Anxiety Score in Patient Undergoing Spinal Anesthesia.利多卡因-丙胺卡因乳膏联合或不联合瑞马唑仑对椎管内麻醉患者 VAS 和 APAIS 焦虑评分的影响。
Drug Des Devel Ther. 2024 Aug 1;18:3429-3441. doi: 10.2147/DDDT.S468486. eCollection 2024.
7
[Effects of remimazolam versus propofol on postoperative recovery quality in elderly patients undergoing thoracoscopic laparoscopic radical esophagectomy].[瑞马唑仑与丙泊酚对老年患者行胸腔镜腹腔镜联合根治性食管癌切除术后恢复质量的影响]
Zhonghua Yi Xue Za Zhi. 2023 May 9;103(17):1303-1309. doi: 10.3760/cma.j.cn112137-20221121-02449.
8
Comparison of Remimazolam and Propofol on Postoperative Delirium in Elderly Patients Undergoing Radical Resection of Colon Cancer: A Single-Center Prospective Randomized Controlled Study.比较右美托咪定和丙泊酚对行结肠癌根治术老年患者术后谵妄的影响:一项单中心前瞻性随机对照研究。
Med Sci Monit. 2024 Apr 10;30:e943784. doi: 10.12659/MSM.943784.
9
The Effects of Single-Dose Preoperative Intravenous Dexamethasone on Clinical Outcome after Laparoscopic Cholecystectomy.单剂量术前静脉注射地塞米松对腹腔镜胆囊切除术后临床结局的影响
J Med Assoc Thai. 2015 Nov;98 Suppl 10:S112-7.
10
[Effect of intravenous infusion with lidocaine on rapid recovery of laparoscopic cholecystectomy].[静脉输注利多卡因对腹腔镜胆囊切除术快速恢复的影响]
Zhonghua Yi Xue Za Zhi. 2017 Mar 28;97(12):934-939. doi: 10.3760/cma.j.issn.0376-2491.2017.12.012.

本文引用的文献

1
The effects of remimazolam in combination with estazolam on postoperative hemodynamics and pain intensity in patients undergoing laparoscopic gastrointestinal surgery.瑞马唑仑联合依托咪酯对行腹腔镜胃肠手术患者术后血流动力学及疼痛强度的影响。
BMC Surg. 2024 Aug 24;24(1):240. doi: 10.1186/s12893-024-02527-8.
2
Acute sleep deprivation exacerbates systemic inflammation and psychiatry disorders through gut microbiota dysbiosis and disruption of circadian rhythms.急性睡眠剥夺通过肠道微生物群失调和昼夜节律紊乱加剧全身炎症和精神疾病。
Microbiol Res. 2023 Mar;268:127292. doi: 10.1016/j.micres.2022.127292. Epub 2022 Dec 23.
3
Remimazolam: An Updated Review of a New Sedative and Anaesthetic.
雷米唑仑:一种新型镇静和麻醉药物的更新综述。
Drug Des Devel Ther. 2022 Nov 15;16:3957-3974. doi: 10.2147/DDDT.S384155. eCollection 2022.
4
Sleep and gynecological cancer outcomes: opportunities to improve quality of life and survival.睡眠与妇科癌症结局:改善生活质量和生存的机会。
Int J Gynecol Cancer. 2022 May 3;32(5):669-675. doi: 10.1136/ijgc-2022-003404.
5
Remimazolam: Non-Clinical and Clinical Profile of a New Sedative/Anesthetic Agent.瑞马唑仑:一种新型镇静/麻醉剂的非临床和临床概况
Front Pharmacol. 2021 Jul 20;12:690875. doi: 10.3389/fphar.2021.690875. eCollection 2021.
6
Safety and efficacy of remimazolam compared with propofol in induction of general anesthesia.与丙泊酚相比,瑞米唑仑用于全身麻醉诱导的安全性和有效性。
Minerva Anestesiol. 2021 Oct;87(10):1073-1079. doi: 10.23736/S0375-9393.21.15517-8. Epub 2021 Jul 14.
7
Remimazolam: A Review in Procedural Sedation.瑞米唑仑:程序性镇静的综述
Drugs. 2021 Jul;81(10):1193-1201. doi: 10.1007/s40265-021-01544-8. Epub 2021 Jul 1.
8
Sedation outcomes for remimazolam, a new benzodiazepine.瑞马唑仑(一种新型苯二氮䓬类药物)镇静效果评价。
J Oral Sci. 2021 Jun 29;63(3):209-211. doi: 10.2334/josnusd.21-0051. Epub 2021 Jun 7.
9
A multicenter survey of perioperative anxiety in China: Pre- and postoperative associations.中国围手术期焦虑的多中心调查:术前和术后相关性。
J Psychosom Res. 2021 Aug;147:110528. doi: 10.1016/j.jpsychores.2021.110528. Epub 2021 May 19.
10
Effects of Microbiota Imbalance in Anxiety and Eating Disorders: Probiotics as Novel Therapeutic Approaches.微生物群失衡在焦虑症和饮食失调中的影响:益生菌作为新型治疗方法
Int J Mol Sci. 2021 Feb 26;22(5):2351. doi: 10.3390/ijms22052351.