• 文献检索
  • 文档翻译
  • 深度研究
  • 学术资讯
  • Suppr Zotero 插件Zotero 插件
  • 邀请有礼
  • 套餐&价格
  • 历史记录
应用&插件
Suppr Zotero 插件Zotero 插件浏览器插件Mac 客户端Windows 客户端微信小程序
定价
高级版会员购买积分包购买API积分包
服务
文献检索文档翻译深度研究API 文档MCP 服务
关于我们
关于 Suppr公司介绍联系我们用户协议隐私条款
关注我们

Suppr 超能文献

核心技术专利:CN118964589B侵权必究
粤ICP备2023148730 号-1Suppr @ 2026

文献检索

告别复杂PubMed语法,用中文像聊天一样搜索,搜遍4000万医学文献。AI智能推荐,让科研检索更轻松。

立即免费搜索

文件翻译

保留排版,准确专业,支持PDF/Word/PPT等文件格式,支持 12+语言互译。

免费翻译文档

深度研究

AI帮你快速写综述,25分钟生成高质量综述,智能提取关键信息,辅助科研写作。

立即免费体验

整合转录组学和代谢组学分析揭示了组织特异性黄酮类生物合成以及MYB对UGT71A1的介导调控 。 (原文结尾不完整,推测可能缺少具体组织名称)

Integrated Transcriptomic and Metabolomic Analysis Reveals Tissue-Specific Flavonoid Biosynthesis and MYB-Mediated Regulation of UGT71A1 in .

作者信息

Wang Yumeng, Zhang Jiaxin, Wang Ping, Li Yongkang, Wang Yihan, Yan Yan, Chi Junwen, Chen Jiankang, Lian Junmei, Piao Xiangmin, Lei Xiujuan, Xiao Ying, Murray Jeremy, Deyholos Micheal K, Wang Yingping, Di Peng, Zhang Jian

机构信息

State Local Joint Engineering Research Center of Ginseng Breeding and Application, College of Chinese Medicinal Materials, Jilin Agricultural University, Changchun 130118, China.

The MOE Key Laboratory for Standardization of Chinese Medicines and the SHTCM Key Laboratory for New Resources and Quality Evaluation of Chinese Medicines, Institute of Chinese Materia Medica, Shanghai University of Traditional Chinese Medicine, Shanghai 200032, China.

出版信息

Int J Mol Sci. 2025 Mar 16;26(6):2669. doi: 10.3390/ijms26062669.

DOI:10.3390/ijms26062669
PMID:40141311
原文链接:https://pmc.ncbi.nlm.nih.gov/articles/PMC11941809/
Abstract

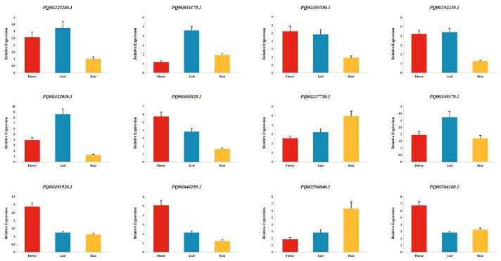
is a globally valued medicinal plant rich in bioactive flavonoids, yet the molecular mechanisms underlying their biosynthesis remain poorly understood. In this study, we integrated transcriptomic and metabolomic analyses to investigate tissue-specific flavonoid accumulation and regulatory networks in roots, leaves, and flowers. Metabolomic profiling identified 141 flavonoid metabolites, with flavones, flavonols, and C-glycosylflavones predominantly enriched in aerial tissues (leaves and flowers), while specific glycosides like tricin 7--acetylglucoside showed root-specific accumulation. Transcriptome sequencing revealed 15,551-18,946 DEGs across tissues, and the reliability of the transcriptomic data was validated by qRT-PCR. KEGG and GO annotation analyses suggested that these DEGs may play a crucial role in the biosynthesis and metabolism of secondary metabolites. From the DEGs, UGTs and MYB TFs were identified and subjected to correlation analysis. Functional validation through in vitro enzymatic assays confirmed that catalyzes apigenin and naringenin glycosylation at the 7-OH position. Additionally, subcellular localization and yeast one-hybrid assays demonstrated that and interact with the promoter and activate its expression.. This study unveils the spatial dynamics of flavonoid metabolism in and establishes a MYB-UGT regulatory axis, providing critical insights for metabolic engineering and bioactive compound optimization in medicinal plants.

摘要

是一种具有全球价值的药用植物,富含生物活性黄酮类化合物,但其生物合成的分子机制仍知之甚少。在本研究中,我们整合了转录组学和代谢组学分析,以研究根、叶和花中黄酮类化合物的组织特异性积累和调控网络。代谢组学分析鉴定出141种黄酮类代谢物,黄酮、黄酮醇和C-糖基黄酮主要富集于地上组织(叶和花),而诸如小麦黄素7-O-乙酰葡萄糖苷等特定糖苷则表现出根特异性积累。转录组测序揭示了各组织间15,551-18,946个差异表达基因(DEG),并通过qRT-PCR验证了转录组数据的可靠性。KEGG和GO注释分析表明,这些DEG可能在次生代谢物的生物合成和代谢中起关键作用。从这些DEG中,鉴定出尿苷二磷酸葡萄糖糖基转移酶(UGT)和MYB转录因子(TF)并进行相关性分析。通过体外酶促试验进行的功能验证证实,UGT催化芹菜素和柚皮素在7-OH位置的糖基化。此外,亚细胞定位和酵母单杂交试验表明,MYB和UGT与UGT启动子相互作用并激活其表达。本研究揭示了该植物中黄酮类代谢的空间动态,并建立了一个MYB-UGT调控轴,为药用植物的代谢工程和生物活性化合物优化提供了关键见解。

https://cdn.ncbi.nlm.nih.gov/pmc/blobs/1c1f/11941809/f52ed329cbbc/ijms-26-02669-g007.jpg
https://cdn.ncbi.nlm.nih.gov/pmc/blobs/1c1f/11941809/d5d8d55cb74e/ijms-26-02669-g001.jpg
https://cdn.ncbi.nlm.nih.gov/pmc/blobs/1c1f/11941809/b7de365fdc62/ijms-26-02669-g002.jpg
https://cdn.ncbi.nlm.nih.gov/pmc/blobs/1c1f/11941809/1138db5671d8/ijms-26-02669-g003.jpg
https://cdn.ncbi.nlm.nih.gov/pmc/blobs/1c1f/11941809/f2c24b1fd109/ijms-26-02669-g004.jpg
https://cdn.ncbi.nlm.nih.gov/pmc/blobs/1c1f/11941809/24767bdcd48e/ijms-26-02669-g005.jpg
https://cdn.ncbi.nlm.nih.gov/pmc/blobs/1c1f/11941809/800b9457f457/ijms-26-02669-g006.jpg
https://cdn.ncbi.nlm.nih.gov/pmc/blobs/1c1f/11941809/f52ed329cbbc/ijms-26-02669-g007.jpg
https://cdn.ncbi.nlm.nih.gov/pmc/blobs/1c1f/11941809/d5d8d55cb74e/ijms-26-02669-g001.jpg
https://cdn.ncbi.nlm.nih.gov/pmc/blobs/1c1f/11941809/b7de365fdc62/ijms-26-02669-g002.jpg
https://cdn.ncbi.nlm.nih.gov/pmc/blobs/1c1f/11941809/1138db5671d8/ijms-26-02669-g003.jpg
https://cdn.ncbi.nlm.nih.gov/pmc/blobs/1c1f/11941809/f2c24b1fd109/ijms-26-02669-g004.jpg
https://cdn.ncbi.nlm.nih.gov/pmc/blobs/1c1f/11941809/24767bdcd48e/ijms-26-02669-g005.jpg
https://cdn.ncbi.nlm.nih.gov/pmc/blobs/1c1f/11941809/800b9457f457/ijms-26-02669-g006.jpg
https://cdn.ncbi.nlm.nih.gov/pmc/blobs/1c1f/11941809/f52ed329cbbc/ijms-26-02669-g007.jpg

相似文献

1
Integrated Transcriptomic and Metabolomic Analysis Reveals Tissue-Specific Flavonoid Biosynthesis and MYB-Mediated Regulation of UGT71A1 in .整合转录组学和代谢组学分析揭示了组织特异性黄酮类生物合成以及MYB对UGT71A1的介导调控 。 (原文结尾不完整,推测可能缺少具体组织名称)
Int J Mol Sci. 2025 Mar 16;26(6):2669. doi: 10.3390/ijms26062669.
2
Global transcriptome and gene regulation network for secondary metabolite biosynthesis of tea plant (Camellia sinensis).茶树(Camellia sinensis)次生代谢产物生物合成的全球转录组和基因调控网络。
BMC Genomics. 2015 Jul 29;16(1):560. doi: 10.1186/s12864-015-1773-0.
3
SMRT- and Illumina-based RNA-seq analyses unveil the ginsinoside biosynthesis and transcriptomic complexity in Panax notoginseng.基于 SMRT 和 Illumina 的 RNA-seq 分析揭示了三七中人参皂苷的生物合成和转录组复杂性。
Sci Rep. 2020 Sep 17;10(1):15310. doi: 10.1038/s41598-020-72291-1.
4
Characterization and functional analysis of a MYB gene (GbMYBFL) related to flavonoid accumulation in Ginkgo biloba.银杏中与黄酮类物质积累相关的一个MYB基因(GbMYBFL)的特性及功能分析
Genes Genomics. 2018 Jan;40(1):49-61. doi: 10.1007/s13258-017-0609-5. Epub 2017 Sep 4.
5
The integration of GC-MS and LC-MS to assay the metabolomics profiling in Panax ginseng and Panax quinquefolius reveals a tissue- and species-specific connectivity of primary metabolites and ginsenosides accumulation.气相色谱-质谱联用(GC-MS)和液相色谱-质谱联用(LC-MS)技术相结合用于分析人参和西洋参的代谢组学图谱,揭示了初级代谢产物和人参皂苷积累的组织特异性和物种特异性联系。
J Pharm Biomed Anal. 2017 Feb 20;135:176-185. doi: 10.1016/j.jpba.2016.12.026. Epub 2016 Dec 23.
6
Deep sequencing of Lotus corniculatus L. reveals key enzymes and potential transcription factors related to the flavonoid biosynthesis pathway.对 Lotus corniculatus L. 的深度测序揭示了与类黄酮生物合成途径相关的关键酶和潜在转录因子。
Mol Genet Genomics. 2013 Apr;288(3-4):131-9. doi: 10.1007/s00438-013-0736-x. Epub 2013 Mar 6.
7
Combined Metabolomics and Transcriptomics Analysis of the Distribution of Flavonoids in the Fibrous Root and Taproot of Coll.et Hemsl.结合代谢组学和转录组学分析川牛膝纤维根和主根中类黄酮的分布
Genes (Basel). 2024 Jun 22;15(7):828. doi: 10.3390/genes15070828.
8
Tissue-specific transcriptome analyses unveils candidate genes for flavonoid biosynthesis, regulation and transport in the medicinal plant Ilex asprella.组织特异性转录组分析揭示了药用植物岗梅中黄酮类生物合成、调控和转运的候选基因。
Sci Rep. 2024 Dec 2;14(1):29999. doi: 10.1038/s41598-024-81319-9.
9
Metabolomic and Transcriptomic Analyses of Flavonoid Biosynthesis in Flowers.花中黄酮类生物合成的代谢组学和转录组学分析
Genes (Basel). 2025 Feb 24;16(3):264. doi: 10.3390/genes16030264.
10
Elucidating the Secondary Metabolite Biosynthesis Networks in Underutilized Tree Bean (Parkia timoriana) Through Integrated Metabolomic and Transcriptomic Approaches.通过整合代谢组学和转录组学方法解析未充分利用的树豆(Parkia timoriana)中的次生代谢物生物合成网络。
Appl Biochem Biotechnol. 2025 May;197(5):3521-3547. doi: 10.1007/s12010-025-05199-z. Epub 2025 Feb 17.

本文引用的文献

1
Screening of soybean antifungal isoflavones based on targeted metabolomics analysis.基于靶向代谢组学分析的大豆抗真菌异黄酮筛选
Food Chem X. 2025 Jan 16;25:102195. doi: 10.1016/j.fochx.2025.102195. eCollection 2025 Jan.
2
Integrated Analysis of Transcriptome and Metabolome Provides Insights into Flavonoid Biosynthesis of Blueberry Leaves in Response to Drought Stress.基于转录组和代谢组学综合分析揭示蓝莓叶片响应干旱胁迫过程中类黄酮生物合成的调控机制。
Int J Mol Sci. 2024 Oct 17;25(20):11135. doi: 10.3390/ijms252011135.
3
Confers Cold Stress Tolerance in via Regulation of Flavonoid Biosynthesis.
通过调控类黄酮生物合成赋予拟南芥耐冷性。
Int J Mol Sci. 2024 Sep 12;25(18):9843. doi: 10.3390/ijms25189843.
4
Cloning and Direct Evolution of a Novel 7--Glycosyltransferase from and Its Application in the Efficient Biocatalytic Synthesis of Luteolin-7--glucoside.从 中克隆和定向进化一种新型 7--糖基转移酶及其在高效生物催化合成芦丁-7--葡萄糖苷中的应用。
J Agric Food Chem. 2024 Aug 28;72(34):19093-19106. doi: 10.1021/acs.jafc.4c04444. Epub 2024 Aug 19.
5
Accumulation characteristics of plant flavonoids and effects of cultivation measures on their biosynthesis: A review.植物类黄酮的积累特性及栽培措施对其生物合成的影响:综述。
Plant Physiol Biochem. 2024 Oct;215:108960. doi: 10.1016/j.plaphy.2024.108960. Epub 2024 Jul 23.
6
The R2R3-MYB transcription factor PgTT2 from Panax ginseng interacts with the WD40-repeat protein PgTTG1 during the regulation of proanthocyanidin biosynthesis and the response to salt stress.人参 R2R3-MYB 转录因子 PgTT2 与 WD40 重复蛋白 PgTTG1 互作,共同调控原花色素生物合成和盐胁迫响应。
Plant Physiol Biochem. 2024 Sep;214:108877. doi: 10.1016/j.plaphy.2024.108877. Epub 2024 Jun 27.
7
Molecular Mechanism of Exogenous ABA to Enhance UV-B Resistance in Pall. by Modulating Flavonoid Accumulation.外源 ABA 通过调节类黄酮积累增强蒴莲对 UV-B 的抗性的分子机制。
Int J Mol Sci. 2024 May 11;25(10):5248. doi: 10.3390/ijms25105248.
8
Identification and Expression Analysis of R2R3-MYB Transcription Factors Associated with Flavonoid Biosynthesis in .鉴定和表达分析与. 黄酮类生物合成相关的 R2R3-MYB 转录因子。
Int J Mol Sci. 2024 Mar 26;25(7):3709. doi: 10.3390/ijms25073709.
9
Transcriptome analysis of and mining of bolting and flowering genes.抽薹和开花基因的转录组分析与挖掘
Chin Herb Med. 2023 Feb 3;15(4):574-587. doi: 10.1016/j.chmed.2022.08.008. eCollection 2023 Oct.
10
The apiosyltransferase celery UGT94AX1 catalyzes the biosynthesis of the flavone glycoside apiin.芹菜 Aiosyltransferase UGT94AX1 催化黄酮糖苷芹糖的生物合成。
Plant Physiol. 2023 Oct 26;193(3):1758-1771. doi: 10.1093/plphys/kiad402.