Suppr超能文献

母乳中的钠及钠/钾比值可预测妊娠期糖尿病患者泌乳起始延迟。

Breast milk Na and Na/K ratio predict delayed onset of lactogenesis in gestational hyperglycemia.

作者信息

Wang Rouzhi, Liu Ke, Chen Xufei, Long Shuhan, Yang Ge, Wang Dan, Li Hongyu

机构信息

Department of Obstetrics and Gynecology, The First Affiliated Hospital of the Army Medical University, Chongqing, 400000, China.

Infectious Diseases Biochemical Laboratory, The First Affiliated Hospital of the Army Medical University, Chongqing, 400000, China.

出版信息

Sci Rep. 2025 Apr 9;15(1):12158. doi: 10.1038/s41598-025-96519-0.

Abstract

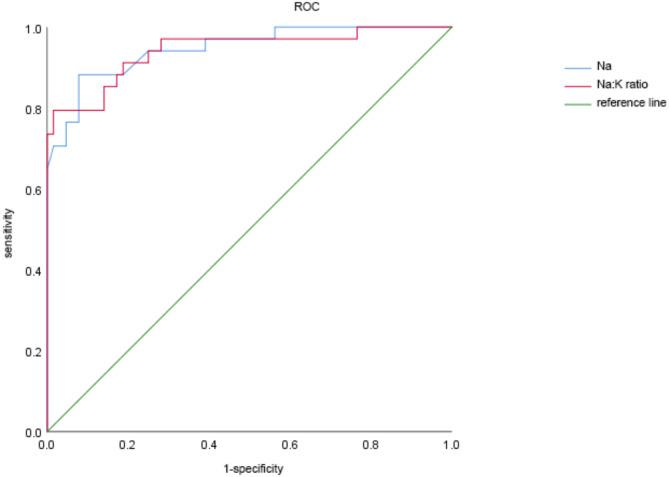
To investigate the predictive value of breast milk Na concentration and Na/K ratio on delayed onset of lactogenesis (DOL) in puerpera with gestational hyperglycemia. Puerpera with gestational hyperglycemia who delivered at The First Affiliated Hospital of Army Medical University in China between October 20, 2023, and April 1, 2024, were enrolled. The concentrations of Na and K in breast milk samples were examined from study participants on days 1-3 of the postpartum period. The predictive value of Na concentration and the Na/K ratio on DOL were assessed using receiver operating characteristic (ROC) curves. Both the Na concentration and Na/K ratio in breast milk collected on day 3 could effectively predict DOL, with areas under the curve (AUCs) of the ROC curve and 95%CI values of 94.7% (95%CI = 0.901-0.992) and 94.2% (95%CI = 0.890-0.994), respectively. The optimized cutoffs were Na concentration ≥ 26.25 mmol/L (sensitivity = 88.2%, specificity = 92.2.8%) and Na/K ratio ≥ 1.646 (sensitivity = 79.4%, specificity = 98.4%). Both the Na⁺ concentration and Na/K ratio in breast milk were found to be effective in predicting DOL in puerpera with gestational hyperglycemia.

摘要

探讨母乳钠浓度和钠/钾比值对妊娠期糖尿病产妇泌乳延迟(DOL)的预测价值。纳入2023年10月20日至2024年4月1日在中国陆军军医大学第一附属医院分娩的妊娠期糖尿病产妇。在产后第1 - 3天检测研究参与者母乳样本中的钠和钾浓度。使用受试者工作特征(ROC)曲线评估钠浓度和钠/钾比值对DOL的预测价值。产后第3天采集的母乳中钠浓度和钠/钾比值均能有效预测DOL,ROC曲线下面积(AUC)及95%CI值分别为94.7%(95%CI = 0.901 - 0.992)和94.2%(95%CI = 0.890 - 0.994)。优化后的截断值为钠浓度≥26.25 mmol/L(敏感性 = 88.2%,特异性 = 92.28%)和钠/钾比值≥1.646(敏感性 = 79.4%,特异性 = 98.4%)。研究发现,母乳中的钠⁺浓度和钠/钾比值均能有效预测妊娠期糖尿病产妇的DOL。

https://cdn.ncbi.nlm.nih.gov/pmc/blobs/bd86/11982319/982ad80ca000/41598_2025_96519_Fig1_HTML.jpg

文献AI研究员

20分钟写一篇综述,助力文献阅读效率提升50倍。

立即体验

用中文搜PubMed

大模型驱动的PubMed中文搜索引擎

马上搜索

文档翻译

学术文献翻译模型,支持多种主流文档格式。

立即体验