• 文献检索
  • 文档翻译
  • 深度研究
  • 学术资讯
  • Suppr Zotero 插件Zotero 插件
  • 邀请有礼
  • 套餐&价格
  • 历史记录
应用&插件
Suppr Zotero 插件Zotero 插件浏览器插件Mac 客户端Windows 客户端微信小程序
定价
高级版会员购买积分包购买API积分包
服务
文献检索文档翻译深度研究API 文档MCP 服务
关于我们
关于 Suppr公司介绍联系我们用户协议隐私条款
关注我们

Suppr 超能文献

核心技术专利:CN118964589B侵权必究
粤ICP备2023148730 号-1Suppr @ 2026

文献检索

告别复杂PubMed语法,用中文像聊天一样搜索,搜遍4000万医学文献。AI智能推荐,让科研检索更轻松。

立即免费搜索

文件翻译

保留排版,准确专业,支持PDF/Word/PPT等文件格式,支持 12+语言互译。

免费翻译文档

深度研究

AI帮你快速写综述,25分钟生成高质量综述,智能提取关键信息,辅助科研写作。

立即免费体验

常规超声联合超声造影对可疑乳腺影像报告和数据系统(BI-RADS)4类乳腺病变进行亚分类的诊断试验

Diagnostic test of conventional ultrasonography combined with contrast-enhanced ultrasound in the subcategorization of suspicious Breast Imaging-Reporting and Data System (BI-RADS) 4 breast lesions.

作者信息

Zhu Yindi, Zhang Dian, Wang Xiao-Na, Chen Yue-Nan, Pan Mei-Fang, Guerrini Susanna, Ong Eugene, Gu Xin-Xian, Jiang Li

机构信息

Department of Gynecology and Obstetrics, The First Affiliated Hospital of Soochow University, Suzhou, China.

Department of Ultrasound, Suzhou Xiangcheng People's Hospital, Suzhou, China.

出版信息

Transl Cancer Res. 2025 Mar 30;14(3):2066-2077. doi: 10.21037/tcr-2025-485. Epub 2025 Mar 27.

DOI:10.21037/tcr-2025-485
PMID:40224988
原文链接:https://pmc.ncbi.nlm.nih.gov/articles/PMC11985217/
Abstract

BACKGROUND

Although conventional ultrasonography (CUS) and contrast-enhanced ultrasound (CEUS) play a critical role in cancer detection, diagnosis, and image-guided biopsies, there is no standardized diagnostic approach for the clinical evaluation of suspected Breast Imaging-Reporting and Data System (BI-RADS) category 4 breast lesions. This diagnostic test evaluates the complementary roles of CUS and CEUS in addressing limitations of conventional imaging, such as microvascular visualization. This study aimed to evaluate the diagnostic value of combining CUS with CEUS in subcategorizing suspicious breast lesions classified as BI-RADS for ultrasound (US-BI-RADS) category 4.

METHODS

The data of 131 patients with BI-RADS category 4 breast lesions, examined between February 2017 and March 2023, were retrospectively analyzed. All lesions underwent pathological examination following surgery and served as the gold standard for diagnosis. Key features such as lesion margins, echogenicity, size, microcalcification, blood flow distribution via color Doppler flow imaging (CDFI), and CEUS characteristics were assessed. CEUS scores were calculated using a five-point scoring system. Stepwise logistic regression was applied to evaluate the odds ratios (ORs) of the lesion characteristics on US and CEUS. The combination of the US-BI-RADS and CEUS scores (termed the CEUS-BI-RADS) was compared to the US-BI-RADS alone, and a receiver operating characteristic (ROC) curve analysis was conducted to determine the diagnostic performance of these methods.

RESULTS

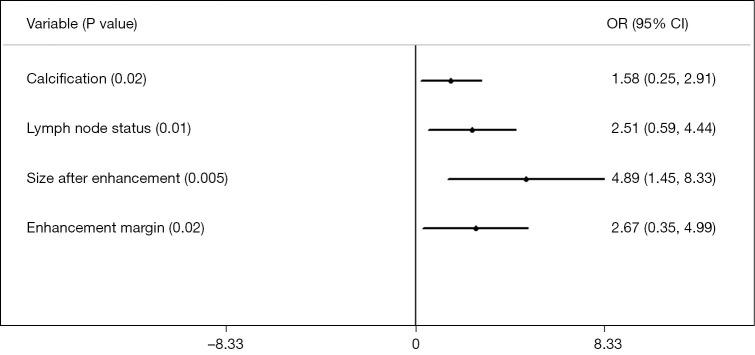
Of the 131 lesions, 62 (47.3%) were benign, and 69 (52.7%) were malignant. The multivariate logistic regression identified the primary indicators of malignancy as calcification [OR =1.58, 95% confidence interval (CI): 0.25-2.91, P=0.02], suspicious or abnormal axillary lymph nodes (OR =2.51, 95% CI: 0.59-4.44, P=0.01), obscure margins after enhancement (OR =2.67, 95% CI: 0.35 to 4.99, P=0.02), and increased lesion size (OR =4.89, 95% CI: 1.45-8.33, P=0.005). The sensitivity, specificity, accuracy, positive predictive value (PPV), and negative predictive value (NPV) of the US-BI-RADS were 73.9%, 74.2%, 74.0%, 71.9%, and 76.1%, respectively, while those of the CEUS-BI-RADS were 92.8%, 79.0%, 86.3%, 90.7%, and 83.1%, respectively. The areas under the ROC curves for the US-BI-RADS and CEUS-BI-RADS were 0.741 and 0.859, respectively.

CONCLUSIONS

The CEUS-BI-RADS significantly enhances diagnostic efficacy for BI-RADS category 4 breast lesions, outperforming the US-BI-RADS and could reduce unnecessary biopsies.

摘要

背景

尽管传统超声检查(CUS)和超声造影(CEUS)在癌症检测、诊断及图像引导活检中发挥着关键作用,但对于疑似乳腺影像报告和数据系统(BI-RADS)4类乳腺病变的临床评估,尚无标准化的诊断方法。本诊断试验评估了CUS和CEUS在解决传统成像局限性(如微血管可视化)方面的互补作用。本研究旨在评估CUS联合CEUS对归类为超声(US-BI-RADS)4类的可疑乳腺病变进行亚分类的诊断价值。

方法

回顾性分析2017年2月至2023年3月期间检查的131例BI-RADS 4类乳腺病变患者的数据。所有病变均在手术后接受病理检查,并作为诊断的金标准。评估病变边界、回声性、大小、微钙化、通过彩色多普勒血流成像(CDFI)的血流分布以及CEUS特征等关键特征。使用五点评分系统计算CEUS评分。应用逐步逻辑回归评估超声和CEUS上病变特征的优势比(OR)。将US-BI-RADS和CEUS评分的组合(称为CEUS-BI-RADS)与单独的US-BI-RADS进行比较,并进行受试者工作特征(ROC)曲线分析以确定这些方法的诊断性能。

结果

在131个病变中,62个(47.3%)为良性,69个(52.7%)为恶性。多因素逻辑回归确定恶性的主要指标为钙化[OR = 1.58,95%置信区间(CI):0.25 - 2.91,P = 0.02]、可疑或异常腋窝淋巴结(OR = 2.51,95% CI:0.59 - 4.44,P = 0.01)、增强后边界不清(OR = 2.67,95% CI:0.35至4.99,P = 0.02)以及病变大小增加(OR = 4.89,95% CI:1.45 - 8.33,P = 0.005)。US-BI-RADS的敏感性、特异性、准确性、阳性预测值(PPV)和阴性预测值(NPV)分别为73.9%、74.2%、74.0%、71.9%和76.1%,而CEUS-BI-RADS的敏感性、特异性、准确性、PPV和NPV分别为92.8%、79.0%、86.3%、90.7%和83.1%。US-BI-RADS和CEUS-BI-RADS的ROC曲线下面积分别为0.741和0.859。

结论

CEUS-BI-RADS显著提高了对BI-RADS 4类乳腺病变的诊断效能,优于US-BI-RADS,并且可以减少不必要的活检。

https://cdn.ncbi.nlm.nih.gov/pmc/blobs/16a8/11985217/0d3b9c53fb0e/tcr-14-03-2066-f3.jpg
https://cdn.ncbi.nlm.nih.gov/pmc/blobs/16a8/11985217/bf67bd39d120/tcr-14-03-2066-f1.jpg
https://cdn.ncbi.nlm.nih.gov/pmc/blobs/16a8/11985217/9fae2ba8275c/tcr-14-03-2066-f2.jpg
https://cdn.ncbi.nlm.nih.gov/pmc/blobs/16a8/11985217/0d3b9c53fb0e/tcr-14-03-2066-f3.jpg
https://cdn.ncbi.nlm.nih.gov/pmc/blobs/16a8/11985217/bf67bd39d120/tcr-14-03-2066-f1.jpg
https://cdn.ncbi.nlm.nih.gov/pmc/blobs/16a8/11985217/9fae2ba8275c/tcr-14-03-2066-f2.jpg
https://cdn.ncbi.nlm.nih.gov/pmc/blobs/16a8/11985217/0d3b9c53fb0e/tcr-14-03-2066-f3.jpg

相似文献

1
Diagnostic test of conventional ultrasonography combined with contrast-enhanced ultrasound in the subcategorization of suspicious Breast Imaging-Reporting and Data System (BI-RADS) 4 breast lesions.常规超声联合超声造影对可疑乳腺影像报告和数据系统(BI-RADS)4类乳腺病变进行亚分类的诊断试验
Transl Cancer Res. 2025 Mar 30;14(3):2066-2077. doi: 10.21037/tcr-2025-485. Epub 2025 Mar 27.
2
Breast non-mass-like lesions on contrast-enhanced ultrasonography: Feature analysis, breast image reporting and data system classification assessment.超声造影下乳腺非肿块样病变:特征分析、乳腺影像报告和数据系统分类评估
World J Clin Cases. 2020 Feb 26;8(4):700-712. doi: 10.12998/wjcc.v8.i4.700.
3
The diagnostic value of real-time ultrasound elastography and contrast-enhanced ultrasound in BI-RADS 4A breast lesions.实时超声弹性成像和超声造影在乳腺影像报告和数据系统(BI-RADS)4A类乳腺病变中的诊断价值
Gland Surg. 2025 Mar 31;14(3):488-497. doi: 10.21037/gs-2025-93. Epub 2025 Mar 26.
4
BI-RADS 4 breast lesions: could multi-mode ultrasound be helpful for their diagnosis?乳腺影像报告和数据系统(BI-RADS)4类乳腺病变:多模式超声对其诊断有帮助吗?
Gland Surg. 2019 Jun;8(3):258-270. doi: 10.21037/gs.2019.05.01.
5
Predictive value of contrast-enhanced ultrasonography and ultrasound elastography for management of BI-RADS category 4 nonpalpable breast masses.超声造影及超声弹性成像对 BI-RADS 分类 4 类触诊阴性乳腺肿块的预测价值。
Eur J Radiol. 2024 Apr;173:111391. doi: 10.1016/j.ejrad.2024.111391. Epub 2024 Feb 28.
6
A Prospective Multicenter Study on the Additive Value of Contrast-Enhanced Ultrasound for Biopsy Decision of Ultrasound BI-RADS 4 Breast Lesions.对比增强超声在超声 BI-RADS 4 类乳腺病变活检决策中附加价值的前瞻性多中心研究。
Ultrasound Med Biol. 2024 Aug;50(8):1224-1231. doi: 10.1016/j.ultrasmedbio.2024.04.010. Epub 2024 May 24.
7
Value of contrast-enhanced ultrasound in the diagnosis of breast US-BI-RADS 3 and 4 lesions with calcifications.超声造影在乳腺 US-BI-RADS 3、4 类伴钙化病灶诊断中的价值。
Clin Radiol. 2020 Dec;75(12):934-941. doi: 10.1016/j.crad.2020.07.017. Epub 2020 Aug 16.
8
The clinical value of conventional ultrasound combined with contrast-enhanced ultrasound in the evaluation of BI-RADS 4 lesions detected by magnetic resonance imaging.常规超声联合超声造影在磁共振成像检测 BI-RADS 4 病变评估中的临床价值。
Br J Radiol. 2022 Aug 1;95(1136):20220025. doi: 10.1259/bjr.20220025. Epub 2022 May 30.
9
Evaluating diagnostic significance: The utilization of elastography and contrast-enhanced ultrasound for differential diagnosis in breast lesions.评估诊断意义:弹性成像和超声造影在乳腺病变鉴别诊断中的应用。
Clin Hemorheol Microcirc. 2024;88(1):81-95. doi: 10.3233/CH-242216.
10
Combining primary tumor features derived from conventional and contrast-enhanced ultrasound facilitates the prediction of positive axillary lymph nodes in Breast Imaging Reporting and Data System category 4 malignant breast lesions.结合常规超声和对比增强超声得到的原发肿瘤特征有助于预测乳腺影像报告和数据系统 4 类恶性乳腺病变中腋窝淋巴结阳性。
Diagn Interv Radiol. 2023 May 31;29(3):469-477. doi: 10.4274/dir.2022.22534. Epub 2023 Jan 25.

本文引用的文献

1
Magnetic resonance imaging features and diagnostic value analysis of non-mass enhancement lesions of the breast.乳腺非肿块强化性病变的磁共振成像特征及诊断价值分析
Quant Imaging Med Surg. 2025 Mar 3;15(3):2457-2467. doi: 10.21037/qims-24-254. Epub 2025 Feb 26.
2
Enhancing prognostic accuracy in invasive breast cancer by combining contrast-enhanced ultrasound and clinical data: a multicenter retrospective study.通过联合对比增强超声和临床数据提高浸润性乳腺癌的预后准确性:一项多中心回顾性研究
Transl Cancer Res. 2025 Feb 28;14(2):1336-1358. doi: 10.21037/tcr-2025-96. Epub 2025 Feb 26.
3
The value of contrast-enhanced energy-spectrum mammography combined with clinical indicators in detecting breast cancer in Breast Imaging Reporting and Data System (BI-RADS) 4 lesions.
对比增强能谱乳腺摄影联合临床指标在检测乳腺影像报告和数据系统(BI-RADS)4类病变中的乳腺癌的价值。
Quant Imaging Med Surg. 2024 Dec 5;14(12):8272-8280. doi: 10.21037/qims-24-741. Epub 2024 Oct 17.
4
Updates in Breast Cancer Screening and Diagnosis.乳腺癌筛查和诊断的新进展。
Curr Treat Options Oncol. 2024 Nov;25(11):1451-1460. doi: 10.1007/s11864-024-01271-8. Epub 2024 Oct 28.
5
Contrast-enhanced ultrasound (CEUS) as a follow-up method after the focal treatment of renal tumors: systematic review and meta-analysis.增强超声(CEUS)作为肾肿瘤局部治疗后的随访方法:系统评价和荟萃分析。
Int Urol Nephrol. 2024 Nov;56(11):3415-3426. doi: 10.1007/s11255-024-04102-9. Epub 2024 Jun 8.
6
Direct and Indirect Costs of Breast Cancer and Associated Implications: A Systematic Review.乳腺癌的直接和间接成本及其相关影响:系统评价。
Adv Ther. 2024 Jul;41(7):2700-2722. doi: 10.1007/s12325-024-02893-y. Epub 2024 Jun 4.
7
Contrast-enhanced ultrasound of the liver: Vascular pathologies and interventions.肝脏超声造影:血管病变与介入治疗。
Rofo. 2024 Dec;196(12):1220-1227. doi: 10.1055/a-2275-2972. Epub 2024 Apr 18.
8
Breast cancer: A review of risk factors and diagnosis.乳腺癌:危险因素与诊断综述。
Medicine (Baltimore). 2024 Jan 19;103(3):e36905. doi: 10.1097/MD.0000000000036905.
9
Contrast-enhanced breast imaging: Current status and future challenges.增强型乳腺成像:现状与未来挑战。
Eur J Radiol. 2024 Feb;171:111312. doi: 10.1016/j.ejrad.2024.111312. Epub 2024 Jan 12.
10
Head-to-head comparison of perfluorobutane contrast-enhanced US and multiparametric MRI for breast cancer: a prospective, multicenter study.对比氟丙烷对比增强超声与多参数 MRI 用于乳腺癌的头对头研究:一项前瞻性、多中心研究。
Breast Cancer Res. 2023 May 30;25(1):61. doi: 10.1186/s13058-023-01650-3.