• 文献检索
  • 文档翻译
  • 深度研究
  • 学术资讯
  • Suppr Zotero 插件Zotero 插件
  • 邀请有礼
  • 套餐&价格
  • 历史记录
应用&插件
Suppr Zotero 插件Zotero 插件浏览器插件Mac 客户端Windows 客户端微信小程序
定价
高级版会员购买积分包购买API积分包
服务
文献检索文档翻译深度研究API 文档MCP 服务
关于我们
关于 Suppr公司介绍联系我们用户协议隐私条款
关注我们

Suppr 超能文献

核心技术专利:CN118964589B侵权必究
粤ICP备2023148730 号-1Suppr @ 2026

文献检索

告别复杂PubMed语法,用中文像聊天一样搜索,搜遍4000万医学文献。AI智能推荐,让科研检索更轻松。

立即免费搜索

文件翻译

保留排版,准确专业,支持PDF/Word/PPT等文件格式,支持 12+语言互译。

免费翻译文档

深度研究

AI帮你快速写综述,25分钟生成高质量综述,智能提取关键信息,辅助科研写作。

立即免费体验

缺血性中风患者溶栓后乳酸脱氢酶与白蛋白比值及预后不良:构建新型列线图

Lactate dehydrogenase to albumin ratio and poor prognosis after thrombolysis in ischemic stroke patients: developing a novel nomogram.

作者信息

Zhang Xiao-Dan, Zhang Zong-Yong, Zhao Ming-Pei, Zhang Xiang-Tao, Wang Neng, Gao Hong-Zhi, Lin Yuan-Xiang, Zheng Zong-Qing

机构信息

Neurosurgery Department, The 2nd Affiliated Hospital of Fujian Medical University, Quanzhou, Fujian, China.

Clinic Center of Molecular Diagnosis and Therapy of the 2nd Affiliated Hospital of Fujian Medical University, Quanzhou, Fujian, China.

出版信息

BMC Med Inform Decis Mak. 2025 Apr 15;25(1):166. doi: 10.1186/s12911-025-02991-z.

DOI:10.1186/s12911-025-02991-z
PMID:40234875
原文链接:https://pmc.ncbi.nlm.nih.gov/articles/PMC12001606/
Abstract

BACKGROUND

Ischemic stroke (IS) is associated with high disability and mortality. This study aimed to identify the prognostic predictors and develop a nomogram for a prediction model for ischemic stroke patients after thrombolysis.

METHODS

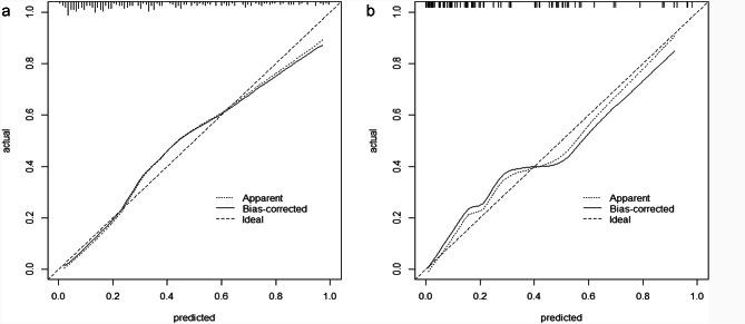
We retrospectively analyzed data from 359 IS patients who underwent thrombolysis. Clinical characteristics, laboratory parameters, and prognosis data were collected. One-third of the subjects were randomly selected as a validation set (n = 108) for internal validation. Logistic regression analysis was used to derive independent risk indicators. A nomogram was constructed using these indicators, and the performance of the nomogram was assessed by the Area Under the Curve (AUC) of the Receiver Operating Characteristic (ROC). The agreement of the model predictions with actual observations was assessed via calibration curves, and the clinical utility of the nomogram was assessed via decision curve analysis.

RESULTS

Multivariate logistic regression analysis showed that age, leukocytes, Lactate Dehydrogenase to Albumin Ratio (LAR) and NIHSS were independent predictors of three-month post-thrombolysis prognosis in IS patients. We created a nomogram based on the weighting coefficients of these factors. The AUC curves showed that our model including age, leukocytes, LAR and NIHSS was more accurate in predicting prognosis than a single factor. The calibration curves showed a good fit between actual and predicted probabilities in both the training and validation groups.

CONCLUSION

LAR has a good predictive power for the prognosis of IS patients 3 months after thrombolytic therapy and can be used as a new clinical indicator to establish a practical nomogram.

摘要

背景

缺血性中风(IS)与高致残率和死亡率相关。本研究旨在确定预后预测因素,并为溶栓后的缺血性中风患者开发一种预测模型的列线图。

方法

我们回顾性分析了359例接受溶栓治疗的IS患者的数据。收集了临床特征、实验室参数和预后数据。三分之一的受试者被随机选为内部验证的验证集(n = 108)。采用逻辑回归分析得出独立的风险指标。使用这些指标构建列线图,并通过受试者操作特征曲线(ROC)的曲线下面积(AUC)评估列线图的性能。通过校准曲线评估模型预测与实际观察结果的一致性,并通过决策曲线分析评估列线图的临床实用性。

结果

多因素逻辑回归分析表明,年龄、白细胞、乳酸脱氢酶与白蛋白比值(LAR)和美国国立卫生研究院卒中量表(NIHSS)是IS患者溶栓后三个月预后的独立预测因素。我们根据这些因素的加权系数创建了一个列线图。AUC曲线表明,我们包含年龄、白细胞、LAR和NIHSS的模型在预测预后方面比单一因素更准确。校准曲线表明,训练组和验证组的实际概率与预测概率之间拟合良好。

结论

LAR对IS患者溶栓治疗后3个月的预后具有良好的预测能力,可作为建立实用列线图的新临床指标。

https://cdn.ncbi.nlm.nih.gov/pmc/blobs/0d22/12001606/70fc6fd973f4/12911_2025_2991_Fig6_HTML.jpg
https://cdn.ncbi.nlm.nih.gov/pmc/blobs/0d22/12001606/2ac09a917eff/12911_2025_2991_Fig1_HTML.jpg
https://cdn.ncbi.nlm.nih.gov/pmc/blobs/0d22/12001606/f890ee183831/12911_2025_2991_Fig2_HTML.jpg
https://cdn.ncbi.nlm.nih.gov/pmc/blobs/0d22/12001606/f9cd9048e623/12911_2025_2991_Fig3_HTML.jpg
https://cdn.ncbi.nlm.nih.gov/pmc/blobs/0d22/12001606/645df00ebb40/12911_2025_2991_Fig4_HTML.jpg
https://cdn.ncbi.nlm.nih.gov/pmc/blobs/0d22/12001606/5079b8c7659f/12911_2025_2991_Fig5_HTML.jpg
https://cdn.ncbi.nlm.nih.gov/pmc/blobs/0d22/12001606/70fc6fd973f4/12911_2025_2991_Fig6_HTML.jpg
https://cdn.ncbi.nlm.nih.gov/pmc/blobs/0d22/12001606/2ac09a917eff/12911_2025_2991_Fig1_HTML.jpg
https://cdn.ncbi.nlm.nih.gov/pmc/blobs/0d22/12001606/f890ee183831/12911_2025_2991_Fig2_HTML.jpg
https://cdn.ncbi.nlm.nih.gov/pmc/blobs/0d22/12001606/f9cd9048e623/12911_2025_2991_Fig3_HTML.jpg
https://cdn.ncbi.nlm.nih.gov/pmc/blobs/0d22/12001606/645df00ebb40/12911_2025_2991_Fig4_HTML.jpg
https://cdn.ncbi.nlm.nih.gov/pmc/blobs/0d22/12001606/5079b8c7659f/12911_2025_2991_Fig5_HTML.jpg
https://cdn.ncbi.nlm.nih.gov/pmc/blobs/0d22/12001606/70fc6fd973f4/12911_2025_2991_Fig6_HTML.jpg

相似文献

1
Lactate dehydrogenase to albumin ratio and poor prognosis after thrombolysis in ischemic stroke patients: developing a novel nomogram.缺血性中风患者溶栓后乳酸脱氢酶与白蛋白比值及预后不良:构建新型列线图
BMC Med Inform Decis Mak. 2025 Apr 15;25(1):166. doi: 10.1186/s12911-025-02991-z.
2
[Establishment and validation of a sepsis 28-day mortality prediction model based on the lactate dehydrogenase-to-albumin ratio in patients with sepsis].[基于乳酸脱氢酶与白蛋白比值的脓毒症患者28天死亡率预测模型的建立与验证]
Zhonghua Wei Zhong Bing Ji Jiu Yi Xue. 2024 Nov;36(11):1140-1146. doi: 10.3760/cma.j.cn121430-20231012-00865.
3
A novel nomogram based on the patient's clinical data and CT signs to predict poor outcomes in AIS patients.一种基于患者临床数据和CT征象的新型列线图,用于预测急性缺血性卒中(AIS)患者的不良预后。
PeerJ. 2025 Jan 6;13:e18662. doi: 10.7717/peerj.18662. eCollection 2025.
4
Development and validation of a prognostic nomogram for predicting poor outcomes following intravenous rt-PA in patients with acute ischemic stroke.急性缺血性脑卒中患者静脉注射重组组织型纤溶酶原激活剂(rt-PA)后不良预后预测列线图的开发与验证
PeerJ. 2025 Feb 26;13:e18937. doi: 10.7717/peerj.18937. eCollection 2025.
5
Association Between Insulin Resistance Markers and Poor Prognosis in Patients With Acute Ischemic Stroke After Intravenous Thrombolysis.胰岛素抵抗标志物与静脉溶栓后急性缺血性脑卒中患者预后不良的关系。
Neurologist. 2024 Jul 1;29(4):218-224. doi: 10.1097/NRL.0000000000000550.
6
Nomogram to Predict Symptomatic Intracranial Hemorrhage after Intravenous Thrombolysis in Acute Ischemic Stroke in Asian Population.亚洲人群急性缺血性脑卒中静脉溶栓后症状性颅内出血的预测列线图
Curr Neurovasc Res. 2021;18(5):543-551. doi: 10.2174/1567202619666211223150907.
7
A new nomogram for individualized prediction of the probability of hemorrhagic transformation after intravenous thrombolysis for ischemic stroke patients.一种新的列线图,用于个体化预测缺血性脑卒中患者静脉溶栓后出血转化的概率。
BMC Neurol. 2020 Nov 24;20(1):426. doi: 10.1186/s12883-020-02002-w.
8
A novel nomogram to predict hemorrhagic transformation in ischemic stroke patients after intravenous thrombolysis.一种用于预测缺血性中风患者静脉溶栓后出血性转化的新型列线图。
Front Neurol. 2022 Sep 8;13:913442. doi: 10.3389/fneur.2022.913442. eCollection 2022.
9
Development and validation of outcome prediction model for reperfusion therapy in acute ischemic stroke using nomogram and machine learning.应用列线图和机器学习建立急性缺血性脑卒中再灌注治疗结局预测模型的开发和验证。
Neurol Sci. 2024 Jul;45(7):3255-3266. doi: 10.1007/s10072-024-07329-7. Epub 2024 Jan 26.
10
Development of a Nomogram Model Based on Lactate-To-Albumin Ratio for Prognostic Prediction in Hospitalized Patients with Intracerebral Hemorrhage.基于乳酸/白蛋白比值的列线图模型在住院脑出血患者预后预测中的构建。
World Neurosurg. 2024 Jul;187:e1025-e1039. doi: 10.1016/j.wneu.2024.05.040. Epub 2024 May 31.

本文引用的文献

1
Insight into cerebral microvessel endothelial regulation of cognitive impairment: A systematic review of the causes and consequences.深入了解脑微血管内皮细胞对认知障碍的调节作用:对病因及后果的系统综述
Exp Neurol. 2025 Mar;385:115116. doi: 10.1016/j.expneurol.2024.115116. Epub 2024 Dec 13.
2
The protective effects of Axitinib on blood-brain barrier dysfunction and ischemia-reperfusion injury in acute ischemic stroke.阿昔替尼对急性缺血性脑卒中血脑屏障功能障碍及再灌注损伤的保护作用。
Exp Neurol. 2024 Sep;379:114870. doi: 10.1016/j.expneurol.2024.114870. Epub 2024 Jun 17.
3
Causal relationship between lactate dehydrogenase and risk of developing ischemic stroke: A Mendelian randomized study.
乳酸脱氢酶与缺血性中风发生风险之间的因果关系:一项孟德尔随机化研究。
Brain Behav. 2024 Jan;14(1):e3352. doi: 10.1002/brb3.3352.
4
Astragalus polysaccharide promotes autophagy and alleviates diabetic nephropathy by targeting the lncRNA Gm41268/PRLR pathway.黄芪多糖通过靶向 lncRNA Gm41268/PRLR 通路促进自噬并减轻糖尿病肾病。
Ren Fail. 2023;45(2):2284211. doi: 10.1080/0886022X.2023.2284211. Epub 2023 Nov 23.
5
Association between F2-Isoprostane Metabolites and Weight Change in Older Women: A Longitudinal Analysis.老年女性中F2-异前列腺素代谢物与体重变化的关联:一项纵向分析
Gerontology. 2024;70(2):134-142. doi: 10.1159/000534258. Epub 2023 Nov 15.
6
Effect of serum lactate dehydrogenase-to-albumin ratio (LAR) on the short-term outcomes and long-term prognosis of colorectal cancer after radical surgery.血清乳酸脱氢酶-白蛋白比值(LAR)对结直肠癌根治术后短期结局和长期预后的影响。
BMC Cancer. 2023 Sep 28;23(1):915. doi: 10.1186/s12885-023-11446-5.
7
Examining the effects of a modified SART when measuring mind-wandering.考察修正版 SART 在心流状态测量中的效果。
Brain Behav. 2023 Sep;13(9):e3175. doi: 10.1002/brb3.3175. Epub 2023 Jul 20.
8
Clinical features of severe Mycoplasma pneumoniae pneumonia with pulmonary complications in childhood: A retrospective study.儿童重症肺炎支原体肺炎合并肺部并发症的临床特征:一项回顾性研究。
Pediatr Pulmonol. 2023 Oct;58(10):2815-2822. doi: 10.1002/ppul.26593. Epub 2023 Jul 11.
9
The association between lactate to albumin ratio and outcomes at early phase in patients with traumatic brain injury.乳酸与白蛋白比值与创伤性脑损伤患者早期结局的关系。
Ulus Travma Acil Cerrahi Derg. 2023 Jul;29(7):752-757. doi: 10.14744/tjtes.2023.40033.
10
The association between lactate dehydrogenase to serum albumin ratio and the 28-day mortality in patients with sepsis-associated acute kidney injury in intensive care: a retrospective cohort study.乳酸脱氢酶与血清白蛋白比值与重症监护中脓毒症相关急性肾损伤患者 28 天死亡率的关系:一项回顾性队列研究。
Ren Fail. 2023 Dec;45(1):2212080. doi: 10.1080/0886022X.2023.2212080.