Suppr超能文献

地方政府支出集中化与劳动年龄人口死亡率的空间差异

Local government expenditure centralization and spatial variation in working-age mortality.

作者信息

O'Brien Rourke, Schechtl Manuel, Manduca Robert, Venkataramani Atheendar

机构信息

Yale University, United States.

UNC-Chapel Hill, United States.

出版信息

SSM Popul Health. 2025 Mar 27;30:101791. doi: 10.1016/j.ssmph.2025.101791. eCollection 2025 Jun.

Abstract

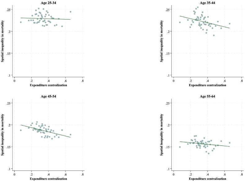
Research finds disparities in local government spending to be one driver of place-based variation in population health outcomes in the U.S. This study asks: net of the amount of local government spending, does the of local government expenditures shape spatial variation in working age mortality? We find that in more centralized local fiscal structures, that is, where the county government performs relatively more of the total local government spending, there is less cross-census tract variation in midlife mortality. In doing so, we reveal how the structure of local government-inherited from history and largely outside the purview of politics and policy discussion-impacts place-based variation of population health outcomes.

摘要

研究发现,美国地方政府支出的差异是导致人口健康结果出现地区差异的一个驱动因素。本研究提出疑问:在扣除地方政府支出金额后,地方政府支出的 (此处原文缺失关键信息)是否会影响工作年龄人口死亡率的空间差异?我们发现,在地方财政结构更为集中的地区,即县政府在地方政府总支出中所占比例相对较高的地区,中年死亡率在不同人口普查区之间的差异较小。通过这样做,我们揭示了从历史传承而来且在很大程度上超出政治和政策讨论范围的地方政府结构是如何影响人口健康结果的地区差异的。

https://cdn.ncbi.nlm.nih.gov/pmc/blobs/cb98/11997379/cb03c3006254/gr1.jpg

文献AI研究员

20分钟写一篇综述,助力文献阅读效率提升50倍。

立即体验

用中文搜PubMed

大模型驱动的PubMed中文搜索引擎

马上搜索

文档翻译

学术文献翻译模型,支持多种主流文档格式。

立即体验