Hardt Dennis, Doostani Reza, Diehl Sebastian, Del Ser Nina, Rosch Achim
Institute for Theoretical Physics, University of Cologne, Cologne, Germany.
Division of Physics, Mathematics and Astronomy, California Institute of Technology, Pasadena, CA, USA.
Nat Commun. 2025 Apr 23;16(1):3817. doi: 10.1038/s41467-025-58920-1.
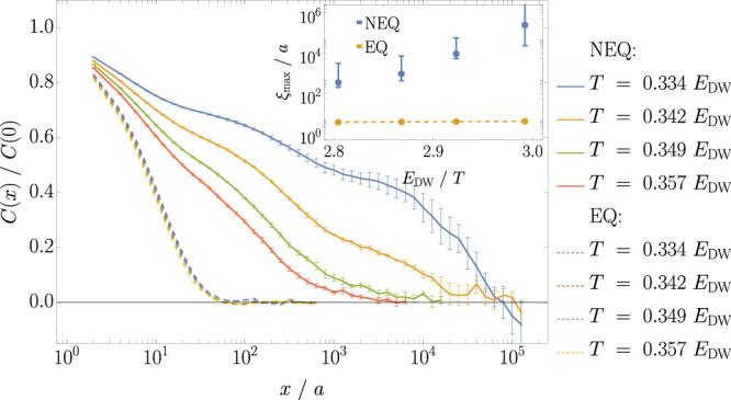
Many-particle systems driven out of thermal equilibrium can show properties qualitatively different from any thermal state. Here, we study a ferrimagnet in a weak oscillating magnetic field. In this model, domain walls are not static, but are shown to move actively in a direction chosen by spontaneous symmetry breaking. Thus they act like self-propelling units. Their collective behaviour is reminiscent of other systems with actively moving units studied in the field of 'active matter', where, e.g., flocks of birds are investigated. The active motion of the domain walls emerges from 'dynamical frustration'. The antiferromagnetic xy-order rotates clockwise or anticlockwise, determined by the sign of the ferromagnetic component. This necessarily leads to frustration at a domain wall, which gets resolved by propelling the domain wall with a velocity proportional to the square root of the driving power across large parameter regimes. This motion and strong hydrodynamic interactions lead to a linear growth of the magnetic correlation length over time, much faster than in equilibrium. The dynamical frustration furthermore makes the system highly resilient to noise. The correlation length of the weakly driven one-dimensional system can be orders of magnitude larger than in the corresponding equilibrium system with the same noise level.
被驱动至热平衡之外的多粒子系统能够展现出与任何热态在性质上截然不同的特性。在此,我们研究处于弱振荡磁场中的亚铁磁体。在该模型中,畴壁并非静止不动,而是被证明会朝着由自发对称性破缺所选定的方向积极移动。因此,它们的行为类似于自推进单元。它们的集体行为让人联想到“活性物质”领域中研究的其他具有主动移动单元的系统,例如对鸟群的研究。畴壁的主动运动源自“动力学阻挫”。反铁磁xy序顺时针或逆时针旋转,这由铁磁分量的符号决定。这必然会在畴壁处导致阻挫,而在大参数范围内,通过以与驱动功率的平方根成正比的速度推动畴壁来解决这种阻挫。这种运动以及强烈的流体动力学相互作用导致磁关联长度随时间呈线性增长,其速度比在平衡态下快得多。动力学阻挫还使系统对噪声具有高度的弹性。弱驱动一维系统的关联长度可比具有相同噪声水平的相应平衡系统大几个数量级。