Permatasari Putri, Miyamoto Manabu, Oumi Yasunori, Budhi Yogi Wibisono, Madani Haroki, Kurniawan Teguh, Uemiya Shigeyuki
Department of Materials Science and Processing, Gifu University, Gifu 501-1113, Japan.
Department of Chemistry and Biomolecular Science, Gifu University, Gifu 501-1113, Japan.
Membranes (Basel). 2025 Apr 1;15(4):107. doi: 10.3390/membranes15040107.
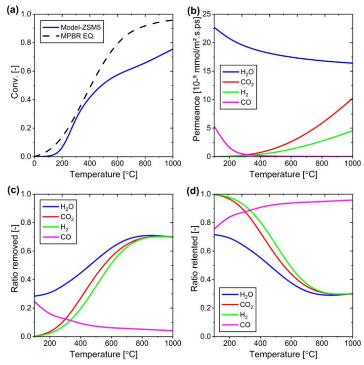
This study focuses on optimizing the Reverse Water Gas Shift (RWGS) reaction system using a membrane reactor to improve CO conversion efficiency. A one-dimensional simulation model was developed using FlexPDE Professional Version 8.01/W64 software to analyze the performance of ZSM-5 membranes integrated with 0.5 wt% Ru-Cu/ZnO/AlO catalysts. The results show that the membrane reactor significantly outperforms the conventional Packed Bed Reactor by achieving higher CO conversion (0.61 vs. 0.99 with optimized parameters), especially at lower temperatures, due to its ability to remove HO and shift the reaction equilibrium selectively. Key operational parameters, including temperature, pressure, and sweep gas flow rate, were optimized to maximize membrane reactor performance. The ZSM-5 membrane showed strong HO selectivity, with an optimum operating temperature of around 400-600 °C. The problem is that many reactants permeate at higher temperatures. Subsequently, a Half-MPBR design was introduced. This design was able to overcome the reactant permeation problem and increase the conversion. The conversion ratios for PBR, MPBR, and Half-MPBR are 0.71, 0.75, and 0.86, respectively. This work highlights the potential of membrane reactors to overcome the thermodynamic limitations of RWGS reactions and provides valuable insights to advance Carbon Capture and Utilization technologies.
本研究聚焦于使用膜反应器优化逆水煤气变换(RWGS)反应系统,以提高一氧化碳(CO)转化效率。利用FlexPDE Professional Version 8.01/W64软件开发了一维模拟模型,用于分析集成了0.5 wt% Ru-Cu/ZnO/Al₂O₃催化剂的ZSM-5膜的性能。结果表明,膜反应器通过实现更高的CO转化率(优化参数下分别为0.61和0.99)显著优于传统的填充床反应器,特别是在较低温度下,这归因于其去除H₂O并选择性地移动反应平衡的能力。对包括温度、压力和吹扫气流速在内的关键操作参数进行了优化,以最大化膜反应器的性能。ZSM-5膜表现出很强的H₂O选择性,最佳操作温度约为400 - 600 °C。问题在于许多反应物在较高温度下会渗透。随后,引入了半MPBR设计。该设计能够克服反应物渗透问题并提高转化率。填充床反应器(PBR)、膜填充床反应器(MPBR)和半MPBR的转化率分别为0.71、0.75和0.86。这项工作突出了膜反应器克服RWGS反应热力学限制的潜力,并为推进碳捕获与利用技术提供了有价值的见解。