• 文献检索
  • 文档翻译
  • 深度研究
  • 学术资讯
  • Suppr Zotero 插件Zotero 插件
  • 邀请有礼
  • 套餐&价格
  • 历史记录
应用&插件
Suppr Zotero 插件Zotero 插件浏览器插件Mac 客户端Windows 客户端微信小程序
定价
高级版会员购买积分包购买API积分包
服务
文献检索文档翻译深度研究API 文档MCP 服务
关于我们
关于 Suppr公司介绍联系我们用户协议隐私条款
关注我们

Suppr 超能文献

核心技术专利:CN118964589B侵权必究
粤ICP备2023148730 号-1Suppr @ 2026

文献检索

告别复杂PubMed语法,用中文像聊天一样搜索,搜遍4000万医学文献。AI智能推荐,让科研检索更轻松。

立即免费搜索

文件翻译

保留排版,准确专业,支持PDF/Word/PPT等文件格式,支持 12+语言互译。

免费翻译文档

深度研究

AI帮你快速写综述,25分钟生成高质量综述,智能提取关键信息,辅助科研写作。

立即免费体验

通过感官评价结合非靶向方法分析虾干对羊骨汤风味的影响

Analyzing the Effect of Dried Shrimp on the Flavor of Sheep Bone Soup Through Sensory Evaluation Combined with Untargeted Approaches.

作者信息

Zhu Qiuyu, Zhang Lili, Sun Xingming, Sun Baoguo, Zhang Yuyu

机构信息

Key Laboratory of Geriatric Nutrition and Health, Beijing Technology and Business University, Ministry of Education, Beijing 100048, China.

Beijing Life Science Academy, Beijing 102209, China.

出版信息

Foods. 2025 Apr 21;14(8):1425. doi: 10.3390/foods14081425.

DOI:10.3390/foods14081425
PMID:40282826
原文链接:https://pmc.ncbi.nlm.nih.gov/articles/PMC12026518/
Abstract

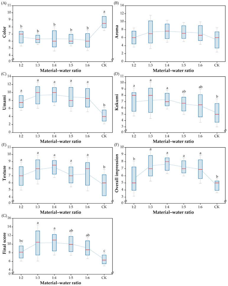
Dried shrimp is a popular dietary ingredient that is often included in appetizer soups, stir-fry dishes, or other stews to improve the umami taste. The effects of adding dried shrimp on the sensory characteristics and taste components of sheep bone soup were investigated through sensory evaluation and untargeted approaches. The results of the single-factor and orthogonal experiments showed that the flavor qualities of sheep bone soup were optimal under the following conditions: 30% dried shrimp added, a 1:4.5 material-water ratio, and 2.7 h of stewing time. Sensory analysis showed a significant increase in the aroma, umami, kokumi, and texture intensity of the optimized sheep bone soup with dried shrimp. The untargeted approach combined with multivariate statistical analysis showed that compounds with a sweet taste (Lys and Ser), a umami taste and umami enhancement (Ala-Leu, Glu-Pro, Glu-Glu, Asp-Phe, pyroglutamic acid, and cinnamic acid), a bitter taste (Gly-Leu, Leu-Leu, Ile-Lys, and taurine), a kokumi taste (γ-Glu-Met, γ-Glu-Leu, γ-Glu-Ile, N-acetylmethionine, and N-acetylphenylalanine), a sour taste (malic acid), and a popcorn-like aroma (2-acetylthiazole) contributed significantly to the flavor enhancement of sheep bone soup. In addition, the contribution of Ac-Ser-Asp-Lys-Pro could not be ignored. These results contribute to a better understanding and improvement of the flavor qualities of sheep bone soup.

摘要

虾米是一种受欢迎的食材,常用于开胃汤、炒菜或其他炖菜中,以提升鲜味。通过感官评价和非靶向方法,研究了添加虾米对羊骨汤感官特性和风味成分的影响。单因素试验和正交试验结果表明,在以下条件下羊骨汤的风味最佳:添加30%的虾米、料水比为1:4.5、炖煮时间为2.7小时。感官分析表明,优化后的含虾米羊骨汤的香气、鲜味、醇厚味和质地强度显著增加。非靶向方法结合多元统计分析表明,具有甜味的化合物(赖氨酸和丝氨酸)、鲜味和鲜味增强剂(丙氨酸-亮氨酸、谷氨酸-脯氨酸、谷氨酸-谷氨酸、天冬氨酸-苯丙氨酸、焦谷氨酸和肉桂酸)、苦味化合物(甘氨酸-亮氨酸、亮氨酸-亮氨酸、异亮氨酸-赖氨酸和牛磺酸)、醇厚味化合物(γ-谷氨酰-蛋氨酸、γ-谷氨酰-亮氨酸、γ-谷氨酰-异亮氨酸、N-乙酰甲硫氨酸和N-乙酰苯丙氨酸)、酸味化合物(苹果酸)和类似爆米花香气的化合物(2-乙酰噻唑)对羊骨汤风味增强有显著贡献。此外,Ac-Ser-Asp-Lys-Pro的贡献也不容忽视。这些结果有助于更好地理解和改善羊骨汤的风味品质。

https://cdn.ncbi.nlm.nih.gov/pmc/blobs/c091/12026518/5a7ca5c5cb14/foods-14-01425-g006.jpg
https://cdn.ncbi.nlm.nih.gov/pmc/blobs/c091/12026518/3f154bc4ece5/foods-14-01425-g001.jpg
https://cdn.ncbi.nlm.nih.gov/pmc/blobs/c091/12026518/8fac3797b874/foods-14-01425-g002.jpg
https://cdn.ncbi.nlm.nih.gov/pmc/blobs/c091/12026518/cb3c60254056/foods-14-01425-g003.jpg
https://cdn.ncbi.nlm.nih.gov/pmc/blobs/c091/12026518/7654aaebccb4/foods-14-01425-g004.jpg
https://cdn.ncbi.nlm.nih.gov/pmc/blobs/c091/12026518/834df8586be3/foods-14-01425-g005.jpg
https://cdn.ncbi.nlm.nih.gov/pmc/blobs/c091/12026518/5a7ca5c5cb14/foods-14-01425-g006.jpg
https://cdn.ncbi.nlm.nih.gov/pmc/blobs/c091/12026518/3f154bc4ece5/foods-14-01425-g001.jpg
https://cdn.ncbi.nlm.nih.gov/pmc/blobs/c091/12026518/8fac3797b874/foods-14-01425-g002.jpg
https://cdn.ncbi.nlm.nih.gov/pmc/blobs/c091/12026518/cb3c60254056/foods-14-01425-g003.jpg
https://cdn.ncbi.nlm.nih.gov/pmc/blobs/c091/12026518/7654aaebccb4/foods-14-01425-g004.jpg
https://cdn.ncbi.nlm.nih.gov/pmc/blobs/c091/12026518/834df8586be3/foods-14-01425-g005.jpg
https://cdn.ncbi.nlm.nih.gov/pmc/blobs/c091/12026518/5a7ca5c5cb14/foods-14-01425-g006.jpg

相似文献

1
Analyzing the Effect of Dried Shrimp on the Flavor of Sheep Bone Soup Through Sensory Evaluation Combined with Untargeted Approaches.通过感官评价结合非靶向方法分析虾干对羊骨汤风味的影响
Foods. 2025 Apr 21;14(8):1425. doi: 10.3390/foods14081425.
2
Novel Umami-, Salty-, and Kokumi-Enhancing γ-Glutamyl Tripeptides Synthesized with the Bitter Dipeptides from Defatted Peanut Meal Protein Hydrolysate.新型鲜味、咸味和醇厚味增强型 γ-谷氨酰三肽的合成,利用脱脂花生粕蛋白水解物中的苦味二肽。
J Agric Food Chem. 2023 May 24;71(20):7812-7819. doi: 10.1021/acs.jafc.3c01467. Epub 2023 May 11.
3
Primary and tertiary structure of the principal human adenylate kinase.主要人类腺苷酸激酶的一级和三级结构
Eur J Biochem. 1976 Sep;68(1):281-90. doi: 10.1111/j.1432-1033.1976.tb10787.x.
4
Comparison of non-volatile umami components in chicken soup and chicken enzymatic hydrolysate.鸡肉汤和鸡肉酶解产物中非挥发性鲜味成分的比较。
Food Res Int. 2017 Dec;102:559-566. doi: 10.1016/j.foodres.2017.09.038. Epub 2017 Sep 14.
5
Effect of Welsh Onion on Taste Components and Sensory Characteristics of Porcine Bone Soup.大葱对猪骨汤风味成分及感官特性的影响
Foods. 2021 Dec 2;10(12):2968. doi: 10.3390/foods10122968.
6
Characteristic Flavor of Traditional Soup Made by Stewing Chinese Yellow-Feather Chickens.传统炖煮中国黄羽肉鸡制成的汤的特征风味。
J Food Sci. 2017 Sep;82(9):2031-2040. doi: 10.1111/1750-3841.13801. Epub 2017 Jul 21.
7
Effects of three types of bone marrow extracts treated with different treatment methods on the taste of chicken soup.三种经不同处理方法处理的骨髓提取物对鸡汤风味的影响。
J Food Sci Technol. 2020 Feb;57(2):638-649. doi: 10.1007/s13197-019-04095-9. Epub 2019 Sep 10.
8
Characterization of Taste Compounds and Sensory Evaluation of Soup Cooked with Sheep Tail Fat and Prickly Ash.羊尾脂与花椒烹制汤品的呈味成分表征及感官评价
Foods. 2022 Mar 22;11(7):896. doi: 10.3390/foods11070896.
9
The primary structure of iron-superoxide dismutase from Photobacterium leiognathi.来自鱼发光杆菌的铁超氧化物歧化酶的一级结构。
J Biol Chem. 1987 Jan 25;262(3):1001-9.
10
The primary structure of human liver manganese superoxide dismutase.人肝脏锰超氧化物歧化酶的一级结构。
J Biol Chem. 1984 Oct 25;259(20):12595-601.

引用本文的文献

1
Metabolomic Profiling Reveals Social Hierarchy-Specific Metabolite Differences in Male .代谢组学分析揭示了雄性个体中特定社会等级的代谢物差异。
Animals (Basel). 2025 Jun 29;15(13):1917. doi: 10.3390/ani15131917.

本文引用的文献

1
The difference between young and older ducks: Amino acid, free fatty acid, nucleotide compositions and breast muscle proteome.幼鸭与老鸭的差异:氨基酸、游离脂肪酸、核苷酸组成及胸肌蛋白质组
Food Chem X. 2024 Dec 22;25:102117. doi: 10.1016/j.fochx.2024.102117. eCollection 2025 Jan.
2
Multidimensional analysis of the flavor characteristics of yellow peach at different ripening stages: Chemical composition profiling and sensory evaluation.不同成熟阶段黄桃风味特征的多维分析:化学成分剖析与感官评价。
Food Chem. 2025 Apr 15;471:142772. doi: 10.1016/j.foodchem.2025.142772. Epub 2025 Jan 7.
3
Effect of sugar content on characteristic flavour formation of tomato sour soup fermented by H1 based on non-targeted metabolomics analysis.
基于非靶向代谢组学分析探究糖含量对H1发酵番茄酸汤特征风味形成的影响
Food Chem X. 2024 Jan 2;21:101116. doi: 10.1016/j.fochx.2024.101116. eCollection 2024 Mar 30.
4
Insights into the effects of steaming on organoleptic quality of salmon (Salmo salar) integrating multi-omics analysis and electronic sensory system.结合多组学分析和电子感官系统洞察蒸煮对三文鱼(大西洋鲑)感官品质的影响
Food Chem. 2024 Feb 15;434:137372. doi: 10.1016/j.foodchem.2023.137372. Epub 2023 Sep 7.
5
Cooperative combination of non-targeted metabolomics and targeted taste analysis for elucidating the taste metabolite profile and pathways of traditional fermented golden pompano.非靶向代谢组学与靶向味觉分析的协同组合,阐明传统发酵金黄鯛的味觉代谢物特征及途径。
Food Res Int. 2023 Jul;169:112865. doi: 10.1016/j.foodres.2023.112865. Epub 2023 Apr 22.
6
Effects of ultrasound on the structural and functional properties of sheep bone collagen.超声对绵羊骨胶原结构和功能性质的影响。
Ultrason Sonochem. 2023 May;95:106366. doi: 10.1016/j.ultsonch.2023.106366. Epub 2023 Mar 15.
7
Metabolite profiling and identification of novel umami compounds in the chaya leaves of two species using multiplatform metabolomics.采用多平台代谢组学技术对两种苋菜叶片中的代谢物进行分析和鉴定新型鲜味化合物。
Food Chem. 2023 Mar 15;404(Pt A):134564. doi: 10.1016/j.foodchem.2022.134564. Epub 2022 Oct 12.
8
Isolation, Purification and Structure Identification of a Calcium-Binding Peptide from Sheep Bone Protein Hydrolysate.羊骨蛋白水解物中一种钙结合肽的分离、纯化及结构鉴定
Foods. 2022 Sep 1;11(17):2655. doi: 10.3390/foods11172655.
9
Preparation of sheep bone collagen peptide-calcium chelate using enzymolysis-fermentation methodology and its structural characterization and stability analysis.酶解-发酵法制备羊骨胶原蛋白肽-钙螯合物及其结构表征与稳定性分析
RSC Adv. 2020 Mar 24;10(20):11624-11633. doi: 10.1039/d0ra00425a. eCollection 2020 Mar 19.
10
Characterization of Taste Compounds and Sensory Evaluation of Soup Cooked with Sheep Tail Fat and Prickly Ash.羊尾脂与花椒烹制汤品的呈味成分表征及感官评价
Foods. 2022 Mar 22;11(7):896. doi: 10.3390/foods11070896.