Suppr超能文献

评估食品级添加剂对食品中十种噬菌体活力的影响以提高农产品安全性

Evaluation of Food-Grade Additives on the Viability of Ten Phages in Food to Improve Safety in Agricultural Products.

作者信息

Tomat David, Casabonne Cecilia, Aquili Virginia, Quiberoni Andrea

机构信息

Área de Bacteriología, Facultad de Ciencias Bioquímicas y Farmacéuticas, Universidad Nacional de Rosario, Rosario S2002LRK, Argentina.

Instituto de Lactología Industrial (UNL-CONICET), Facultad de Ingeniería Química, Santa Fe 3000, Argentina.

出版信息

Viruses. 2025 Mar 26;17(4):474. doi: 10.3390/v17040474.

Abstract

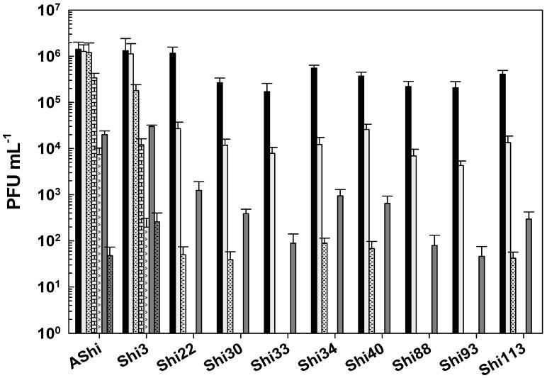
Bacteriophages can be used as biocontrol agents in agriculture to improve food safety, provided they can remain viable in food environments. The viability of ten phages (AShi, Shi3, Shi22, Shi30, Shi33, Shi34, Shi40, Shi88, Shi93, and Shi113) was evaluated against different additives and biocides used daily in food applications. In addition, the influence of additives on phage viability in a food matrix was investigated. Treatments with lactic and citric acid were the most effective to inactivate phages. In addition, the acetic acid was the most phage-friendly treatment evaluated. Preservatives such as acetate, lactate, benzoate, sorbate, and propionate proved to be highly compatible with all the phages tested. Regarding the influence of the food matrix on phage viability, an equal or higher viability was found for most phages tested when compared with the corresponding organic acid. Finally, when phages were exposed to sodium hypochlorite, ethanol, quaternary ammonium chloride (QAC), and HO, most of them were sensitive to long incubations and high concentrations. However, when biocide concentrations employed are low, 10-10 PFU mL phage particles remains viable. Thus, the phages evaluated could be used in combination with additives and biocides as a biocontrol tool against the foodborne pathogen . in agricultural products.

摘要

噬菌体可作为农业中的生物防治剂来提高食品安全,前提是它们能够在食品环境中保持存活。评估了十种噬菌体(AShi、Shi3、Shi22、Shi30、Shi33、Shi34、Shi40、Shi88、Shi93和Shi113)对食品应用中日常使用的不同添加剂和杀菌剂的存活能力。此外,还研究了添加剂对食品基质中噬菌体存活能力的影响。乳酸和柠檬酸处理对噬菌体的灭活效果最为显著。此外,乙酸是所评估的对噬菌体最友好的处理方式。事实证明,诸如乙酸盐、乳酸盐、苯甲酸盐、山梨酸盐和丙酸盐等防腐剂与所有测试的噬菌体都具有高度兼容性。关于食品基质对噬菌体存活能力的影响,与相应的有机酸相比,大多数测试噬菌体的存活能力相同或更高。最后,当噬菌体暴露于次氯酸钠、乙醇、季铵盐(QAC)和过氧化氢时,它们中的大多数在长时间孵育和高浓度下都很敏感。然而,当使用的杀菌剂浓度较低时,每毫升10⁻¹⁰噬菌斑形成单位(PFU)的噬菌体颗粒仍能存活。因此,所评估的噬菌体可与添加剂和杀菌剂联合使用,作为农产品中食源性病原体的生物防治工具。

https://cdn.ncbi.nlm.nih.gov/pmc/blobs/8776/12030888/d7f607145871/viruses-17-00474-g001.jpg

文献AI研究员

20分钟写一篇综述,助力文献阅读效率提升50倍。

立即体验

用中文搜PubMed

大模型驱动的PubMed中文搜索引擎

马上搜索

文档翻译

学术文献翻译模型,支持多种主流文档格式。

立即体验