Suppr超能文献

微流控系统中的光动力粒子泵

Photodynamic particle pump in microfluidic systems.

作者信息

Du Jiahao, Yuan Tingting, Zhang Xiaotong, Zhang Kai, Zhu Fuyin, Chen Wang, Tang Xuehui, Xiao Changlin, Yuan Libo

机构信息

Key Lab of In-fiber Integrated Optics, Ministry Education of China, College of Physics and Optoelectronic Engineering, Harbin Engineering University, Harbin 150001, China.

Future Technology School, Shenzhen Technology University, Shenzhen 518118, China.

出版信息

Biomed Opt Express. 2025 Mar 11;16(4):1392-1405. doi: 10.1364/BOE.555270. eCollection 2025 Apr 1.

Abstract

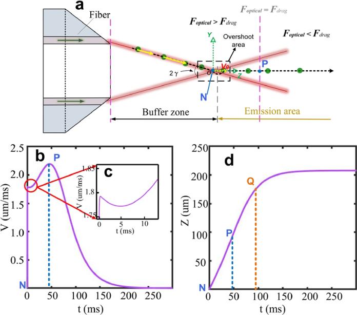
Micro-pumps are widely used in biomedical equipment such as flow cytometry. In micro-flow systems, pumps are usually the main tool and means to control the flow rate of liquid. Controlling the particle movement in micro-flow is always a difficult problem in a mixed fluid of liquid and particles. In this paper, we propose a new type of photodynamic particle pump based on annular-core hollow-center fiber. The laser is coupled into the annular core by fused tapering optical fiber and welding at the cone point. A femtosecond laser processing system is used to process microscopic holes on the side of the fiber to achieve particle injection. The laser will converge to form a conical shell light field after passing through the cone, and the speed of the particles increases after passing through the conical shell light field, thus forming a particle pump. The experimental results show that the particle velocity increases with the increase of laser power at low injection pressure. In the case of constant power, the flow rate is independent of the injection pressure, and the particle velocity in the micro-flow system is controlled. It has important value and application prospects for particle acceleration control of microfluidic chip systems and cell manipulation and sorting in the microbiological field.

摘要

微型泵广泛应用于诸如流式细胞仪等生物医学设备中。在微流系统中,泵通常是控制液体流速的主要工具和手段。在液体与颗粒的混合流体中,控制微流中的颗粒运动一直是个难题。本文提出了一种基于环形芯空芯光纤的新型光动力颗粒泵。激光通过熔锥光纤耦合到环形芯中,并在锥点处焊接。利用飞秒激光加工系统在光纤侧面加工微孔以实现颗粒注入。激光穿过锥体后会汇聚形成锥形壳光场,颗粒穿过锥形壳光场后速度增加,从而形成颗粒泵。实验结果表明,在低注入压力下,颗粒速度随激光功率的增加而增大。在功率恒定的情况下,流速与注入压力无关,实现了对微流系统中颗粒速度的控制。它对于微流控芯片系统的颗粒加速控制以及微生物领域的细胞操控和分选具有重要价值和应用前景。

https://cdn.ncbi.nlm.nih.gov/pmc/blobs/384f/12047725/3b312d0fce17/boe-16-4-1392-g001.jpg

文献检索

告别复杂PubMed语法,用中文像聊天一样搜索,搜遍4000万医学文献。AI智能推荐,让科研检索更轻松。

立即免费搜索

文件翻译

保留排版,准确专业,支持PDF/Word/PPT等文件格式,支持 12+语言互译。

免费翻译文档

深度研究

AI帮你快速写综述,25分钟生成高质量综述,智能提取关键信息,辅助科研写作。

立即免费体验