Coelho Ana R F, Simões Manuela, Almeida José, Reboredo Fernando H, Cawina Joaquim, Lidon Fernando
NOVA School of Sciences and Technology, Earth Sciences Department, Campus de Caparica, 2829-516 Caparica, Portugal.
GeoBioTec Research Center, NOVA University Lisbon, 2829-516 Caparica, Portugal.
Plants (Basel). 2025 Apr 30;14(9):1351. doi: 10.3390/plants14091351.
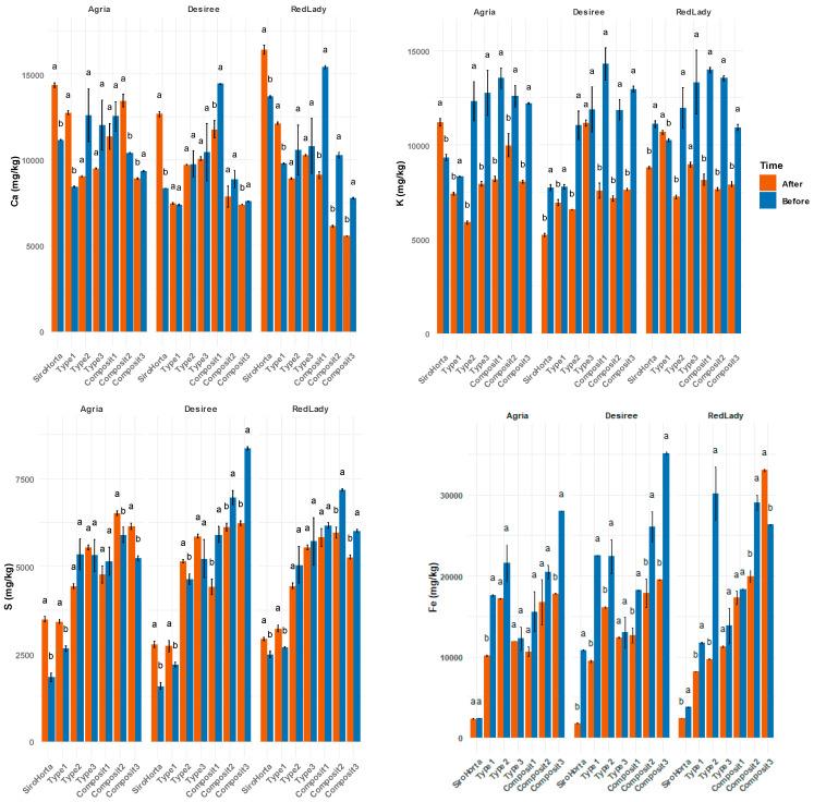
Potato ( L.) is the world's fourth most important food crop and is considered a staple food. Nutrient absorption in potato plants is influenced by different factors such as soil properties (namely mineral element composition). This study aimed to assess Ca, K, S, and Fe dynamics in three potato cultivars (Agria, Désirée, and Red Lady) grown across different soil types. As such, soil analyses were carried out before and after cultivation, revealing different variations in Ca, K, S, and Fe content. The results demonstrated that mineral distribution in the different plant organs (leaves, stems, roots, and tubers) showed distinct patterns, with Ca accumulating preferentially in leaves, K in stems, S in roots, and Fe in leaves. Mobilization efficiency was also evaluated and followed a specific pattern across all cultivars and soil types: K > S > Fe > Ca, reflecting the mineral translocation efficiency of these mineral elements within plant tissues to tuber. No significant differences were observed in tuber weight, or minimum and maximum diameter, indicating that these quality parameters were not influenced by the soil type. Fresh weight of tuber biomass assessment showed variability among the different cultivars and soil types. Principal component analysis showed that Ca content is associated with productivity parameters as well as K, contributing to tuber yield. Overall, cultivar-based variations in mineral uptake patterns were identified, suggesting that both genetic and environmental factors play an important role in mineral element absorption and translocation efficiency. This study highlights the importance of understanding mineral element dynamics in L. cultivation, in order to optimize tuber yield and quality.
马铃薯(茄属)是世界上第四大重要粮食作物,被视为主食。马铃薯植株的养分吸收受不同因素影响,如土壤性质(即矿质元素组成)。本研究旨在评估种植在不同土壤类型中的三个马铃薯品种(阿格里亚、德西蕾和红妃)中钙、钾、硫和铁的动态变化。因此,在种植前后进行了土壤分析,揭示了钙、钾、硫和铁含量的不同变化。结果表明,不同植物器官(叶、茎、根和块茎)中的矿质元素分布呈现出不同模式,钙优先积累在叶片中,钾在茎中,硫在根中,铁在叶片中。还评估了转运效率,在所有品种和土壤类型中均呈现出特定模式:钾>硫>铁>钙,反映了这些矿质元素在植物组织内转运到块茎的效率。在块茎重量、最小和最大直径方面未观察到显著差异,表明这些品质参数不受土壤类型影响。块茎生物量鲜重评估显示不同品种和土壤类型之间存在差异。主成分分析表明,钙含量与生产力参数以及钾含量相关,对块茎产量有贡献。总体而言,确定了基于品种的矿质元素吸收模式差异,表明遗传和环境因素在矿质元素吸收和转运效率中都起着重要作用。本研究强调了了解马铃薯种植中矿质元素动态变化对于优化块茎产量和品质的重要性。