• 文献检索
  • 文档翻译
  • 深度研究
  • 学术资讯
  • Suppr Zotero 插件Zotero 插件
  • 邀请有礼
  • 套餐&价格
  • 历史记录
应用&插件
Suppr Zotero 插件Zotero 插件浏览器插件Mac 客户端Windows 客户端微信小程序
定价
高级版会员购买积分包购买API积分包
服务
文献检索文档翻译深度研究API 文档MCP 服务
关于我们
关于 Suppr公司介绍联系我们用户协议隐私条款
关注我们

Suppr 超能文献

核心技术专利:CN118964589B侵权必究
粤ICP备2023148730 号-1Suppr @ 2026

文献检索

告别复杂PubMed语法,用中文像聊天一样搜索,搜遍4000万医学文献。AI智能推荐,让科研检索更轻松。

立即免费搜索

文件翻译

保留排版,准确专业,支持PDF/Word/PPT等文件格式,支持 12+语言互译。

免费翻译文档

深度研究

AI帮你快速写综述,25分钟生成高质量综述,智能提取关键信息,辅助科研写作。

立即免费体验

急性心肌梗死后抑郁症状预测模型的构建及其对预后的影响。

Construction of a predictive model for depressive symptoms following acute myocardial infarction and its impact on prognosis.

作者信息

Ren Lei, Wang Hongqi, Su Xin, Yang Yangyang, Zhang Yuanzhuo, Yin Xiaoyan, Zhang Dapeng, Hu Guangquan, Ning Bin

机构信息

Department of Cardiovascular Medicine, Fuyang People's Hospital Affiliated to Anhui Medical University (Fuyang People's Hospital), Fuyang, China.

Department of Cardiovascular Medicine, Fuyang Hospital Affiliated to Bengbu Medical College (Fuyang People's Hospital), Fuyang, China.

出版信息

Front Psychiatry. 2025 Apr 29;16:1431182. doi: 10.3389/fpsyt.2025.1431182. eCollection 2025.

DOI:10.3389/fpsyt.2025.1431182
PMID:40365002
原文链接:https://pmc.ncbi.nlm.nih.gov/articles/PMC12069306/
Abstract

OBJECTIVE

To construct a predictive model for depressive symptoms following acute myocardial infarction (AMI) and analyze its impact on patient outcomes.

METHODS

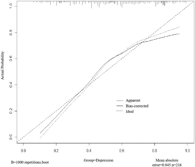
A retrospective analysis was conducted on the clinical data of 216 patients who successfully underwent percutaneous coronary intervention (PCI) for AMI at the hospital from January 2022 to June 2023. One month post-PCI, patients were categorized into groups with and without depressive symptoms based on the Self-Rating Depression Scale (SDS) scores. Logistic regression was used to identify factors influencing depressive symptoms, and a nomogram model for post-PCI depressive symptoms risk in AMI patients was developed using these factors. Internal validation of the model was performed using the Bootstrap method and Hosmer-Lemeshow goodness-of-fit test. The model's value was assessed through Receiver Operating Characteristic (ROC) curve analysis. Outcomes at six months post-PCI were also compared between patients with different levels of depressive symptoms.

RESULTS

At one month post-PCI, the incidence of depressive symptoms was 54.63%. Logistic regression revealed that Killip class III, monocyte count, albumin levels, C-reactive protein (CRP), and left ventricular ejection fraction (LVEF) were significant predictors of post-AMI depressive symptoms (P < 0.05). The nomogram, based on these five primary indicators, showed good concordance with acceptable and ideal curves (Hosmer-Lemeshow test χ2 = 10.593, P = 0.226); the area under the ROC curve was 0.767 (95% CI: 0.702-0.831). At six months post-PCI, the rates of rehospitalization and major adverse cardiovascular events were higher in the group with depressive symptoms compared to those without (P < 0.05); severe depressive symptoms were associated with a higher rate of major adverse cardiovascular events than mild depressive symptoms (P < 0.05).

CONCLUSION

Killip class III, monocyte count, albumin levels, CRP, and LVEF are significant predictors of post-AMI depressive symptoms. The predictive model based on these factors demonstrates good calibration and discriminative ability; moreover, depressive symptoms adversely affect the prognosis of AMI patients, with more severe symptoms correlating with a higher incidence of major adverse cardiovascular events.

摘要

目的

构建急性心肌梗死(AMI)后抑郁症状的预测模型,并分析其对患者预后的影响。

方法

对2022年1月至2023年6月在该医院成功接受经皮冠状动脉介入治疗(PCI)的216例AMI患者的临床资料进行回顾性分析。PCI术后1个月,根据自评抑郁量表(SDS)评分将患者分为有抑郁症状组和无抑郁症状组。采用逻辑回归确定影响抑郁症状的因素,并使用这些因素建立AMI患者PCI术后抑郁症状风险的列线图模型。采用Bootstrap法和Hosmer-Lemeshow拟合优度检验对模型进行内部验证。通过受试者工作特征(ROC)曲线分析评估模型的价值。还比较了不同抑郁症状水平患者PCI术后6个月的预后情况。

结果

PCI术后1个月,抑郁症状的发生率为54.63%。逻辑回归显示,Killip分级III级、单核细胞计数、白蛋白水平、C反应蛋白(CRP)和左心室射血分数(LVEF)是AMI后抑郁症状的重要预测因素(P<0.05)。基于这五个主要指标的列线图与可接受曲线和理想曲线具有良好的一致性(Hosmer-Lemeshow检验χ2=10.593,P=0.226);ROC曲线下面积为0.767(95%CI:0.702-0.831)。PCI术后6个月,有抑郁症状组的再住院率和主要不良心血管事件发生率高于无抑郁症状组(P<0.05);重度抑郁症状组的主要不良心血管事件发生率高于轻度抑郁症状组(P<0.05)。

结论

Killip分级III级、单核细胞计数、白蛋白水平、CRP和LVEF是AMI后抑郁症状的重要预测因素。基于这些因素的预测模型具有良好的校准和判别能力;此外,抑郁症状对AMI患者的预后有不利影响,症状越严重,主要不良心血管事件的发生率越高。

https://cdn.ncbi.nlm.nih.gov/pmc/blobs/15fc/12069306/5de329200269/fpsyt-16-1431182-g003.jpg
https://cdn.ncbi.nlm.nih.gov/pmc/blobs/15fc/12069306/25e1f58e8f2b/fpsyt-16-1431182-g001.jpg
https://cdn.ncbi.nlm.nih.gov/pmc/blobs/15fc/12069306/9d16671e14b5/fpsyt-16-1431182-g002.jpg
https://cdn.ncbi.nlm.nih.gov/pmc/blobs/15fc/12069306/5de329200269/fpsyt-16-1431182-g003.jpg
https://cdn.ncbi.nlm.nih.gov/pmc/blobs/15fc/12069306/25e1f58e8f2b/fpsyt-16-1431182-g001.jpg
https://cdn.ncbi.nlm.nih.gov/pmc/blobs/15fc/12069306/9d16671e14b5/fpsyt-16-1431182-g002.jpg
https://cdn.ncbi.nlm.nih.gov/pmc/blobs/15fc/12069306/5de329200269/fpsyt-16-1431182-g003.jpg

相似文献

1
Construction of a predictive model for depressive symptoms following acute myocardial infarction and its impact on prognosis.急性心肌梗死后抑郁症状预测模型的构建及其对预后的影响。
Front Psychiatry. 2025 Apr 29;16:1431182. doi: 10.3389/fpsyt.2025.1431182. eCollection 2025.
2
Construction and evaluation of nomogram model for individualized prediction of risk of major adverse cardiovascular events during hospitalization after percutaneous coronary intervention in patients with acute ST-segment elevation myocardial infarction.急性ST段抬高型心肌梗死患者经皮冠状动脉介入治疗后住院期间主要不良心血管事件风险个体化预测列线图模型的构建与评估
Front Cardiovasc Med. 2022 Dec 21;9:1050785. doi: 10.3389/fcvm.2022.1050785. eCollection 2022.
3
Construction and validation of a personalized risk prediction model for in-hospital mortality in patients with acute myocardial infarction undergoing percutaneous coronary intervention.急性心肌梗死接受经皮冠状动脉介入治疗患者院内死亡个性化风险预测模型的构建与验证
Clinics (Sao Paulo). 2025 Feb 1;80:100580. doi: 10.1016/j.clinsp.2025.100580. eCollection 2025.
4
Risk analysis and risk prediction of in-hospital heart failure in patients with acute myocardial infarction after emergency intervention surgery.急性心肌梗死后急诊介入手术后住院心力衰竭的风险分析和风险预测。
BMC Cardiovasc Disord. 2024 Nov 25;24(1):673. doi: 10.1186/s12872-024-04357-1.
5
[Predictive value of hemoglobin to serum creatinine ratio combined with serum uric acid for in-hospital mortality after emergency percutaneous coronary intervention in patients with acute myocardial infarction].血红蛋白与血清肌酐比值联合血清尿酸对急性心肌梗死患者急诊经皮冠状动脉介入治疗后院内死亡率的预测价值
Zhonghua Wei Zhong Bing Ji Jiu Yi Xue. 2023 Sep;35(9):951-957. doi: 10.3760/cma.j.cn121430-20230418-00291.
6
Construction and validation of nomogram model for predicting the risk of ventricular arrhythmia after emergency PCI in patients with acute myocardial infarction.构建并验证预测急性心肌梗死后急诊 PCI 后室性心律失常风险的列线图模型。
Aging (Albany NY). 2024 May 10;16(9):8246-8259. doi: 10.18632/aging.205815.
7
Prognostic value of cardiopulmonary exercise test in patients with acute myocardial infarction after percutaneous coronary intervention.经皮冠状动脉介入治疗后急性心肌梗死后心肺运动试验的预后价值。
Sci Rep. 2024 Jul 15;14(1):16331. doi: 10.1038/s41598-024-66963-5.
8
Construction and validation of a nomogram prediction model for the risk of new-onset atrial fibrillation following percutaneous coronary intervention in acute myocardial infarction patients.构建并验证急性心肌梗死后经皮冠状动脉介入治疗患者新发心房颤动风险的列线图预测模型。
BMC Cardiovasc Disord. 2024 Nov 13;24(1):642. doi: 10.1186/s12872-024-04326-8.
9
Clinical value of GRACE score combined with DFR in predicting short-term prognosis of patients undergoing early PCI after thrombolysis for acute myocardial infarction.GRACE 评分联合 DFR 对急性心肌梗死后溶栓后早期行经皮冠状动脉介入治疗患者短期预后的预测价值。
Eur Rev Med Pharmacol Sci. 2023 May;27(9):4038-4045. doi: 10.26355/eurrev_202305_32309.
10
Evaluation of a nomogram model for predicting in-hospital mortality risk in patients with acute ST-elevation myocardial infarction and acute heart failure post-PCI.评估用于预测 PCI 术后急性 ST 段抬高型心肌梗死合并急性心力衰竭患者住院死亡风险的列线图模型。
Scand Cardiovasc J. 2024 Dec;58(1):2387001. doi: 10.1080/14017431.2024.2387001. Epub 2024 Aug 2.

本文引用的文献

1
Meta-analysis on inflammation and autonomic nervous system of coronary heart disease combined with depression.冠心病合并抑郁的炎症与自主神经系统的 Meta 分析
BMJ Open. 2024 Mar 7;14(3):e079980. doi: 10.1136/bmjopen-2023-079980.
2
Effect of cardiac rehabilitation therapy on depressed patients with cardiac insufficiency after cardiac surgery.心脏康复治疗对心脏手术后心功能不全的抑郁症患者的影响。
Open Med (Wars). 2023 Nov 14;18(1):20230821. doi: 10.1515/med-2023-0821. eCollection 2023.
3
Construction and Validation of a Nomogram Predicting Depression Risk in Patients with Acute Coronary Syndrome Undergoing Coronary Stenting: A Prospective Cohort Study.
预测接受冠状动脉支架置入术的急性冠状动脉综合征患者抑郁风险的列线图的构建与验证:一项前瞻性队列研究
J Cardiovasc Dev Dis. 2023 Sep 6;10(9):385. doi: 10.3390/jcdd10090385.
4
Primary PCI and Mental Health: A 12-Month Follow-Up Study.直接经皮冠状动脉介入治疗与心理健康:一项为期12个月的随访研究。
Healthcare (Basel). 2023 Jun 1;11(11):1620. doi: 10.3390/healthcare11111620.
5
Is There an Inflammatory Profile of Perinatal Depression?围产期抑郁是否存在炎症特征?
Curr Psychiatry Rep. 2023 Apr;25(4):149-164. doi: 10.1007/s11920-023-01414-y. Epub 2023 Mar 22.
6
Lipid Alteration Signature in the Blood Plasma of Individuals With Schizophrenia, Depression, and Bipolar Disorder.精神分裂症、抑郁症和双相情感障碍患者血浆中的脂质改变特征。
JAMA Psychiatry. 2023 Mar 1;80(3):250-259. doi: 10.1001/jamapsychiatry.2022.4350.
7
Follow-up study of depressive state on patients with atrial fibrillation 1 year after radio-frequency ablation.心房颤动患者射频消融术后1年抑郁状态的随访研究
Front Psychiatry. 2022 Dec 22;13:1046924. doi: 10.3389/fpsyt.2022.1046924. eCollection 2022.
8
Selected Biomarkers of Depression: What Are the Effects of Cytokines and Inflammation?抑郁症的生物标志物选择:细胞因子和炎症的影响是什么?
Int J Mol Sci. 2022 Dec 29;24(1):578. doi: 10.3390/ijms24010578.
9
Dystrophin Genotype and Risk of Neuropsychiatric Disorders in Dystrophinopathies: A Systematic Review and Meta-Analysis.肌营养不良蛋白基因型与肌营养不良蛋白病神经精神障碍的风险:系统评价和荟萃分析。
J Neuromuscul Dis. 2023;10(2):159-172. doi: 10.3233/JND-221586.
10
Symptoms of Depression, Anxiety, and Posttraumatic Stress among Patients with Cardiac Pacemakers.心脏起搏器患者的抑郁、焦虑和创伤后应激症状。
Int J Environ Res Public Health. 2022 Dec 15;19(24):16838. doi: 10.3390/ijerph192416838.