Suppr超能文献

一项关于痴呆症患者非正式照料者获得和接受心理治疗经历的系统评价与主题综合分析。

A systematic review and thematic synthesis on the experiences of accessing and attending psychological therapy for informal carers of people living with dementia.

作者信息

Yang Jacquelyn, Fearn Caroline, John Amber, Hoare Sarah, Chang Seryn, Zammitt David, Stott Joshua

机构信息

ADAPT Lab, UCL Department of Clinical, Educational and Health Psychology, Division of Psychology and Language Sciences, University College London, 1-19 Torrington Place, London, WC1E 7HB, UK.

Psychology Department, University of East London, Docklands Campus, University Way, London, E16 2RD, UK.

出版信息

BMC Geriatr. 2025 May 19;25(1):353. doi: 10.1186/s12877-025-05986-7.

Abstract

BACKGROUND

Informal carers of people living with dementia are at a higher risk of experiencing mental health difficulties than the general population, yet many are not able to access timely psychological support and their psychological needs are often overlooked. It is therefore important to develop a greater understanding of carers' lived experiences in accessing and attending psychological therapy, to help tailor therapies to meet their individual needs. To our knowledge, this is the first thematic synthesis of qualitative literature on carers' experiences of accessing and taking part in psychological therapies.

METHODS

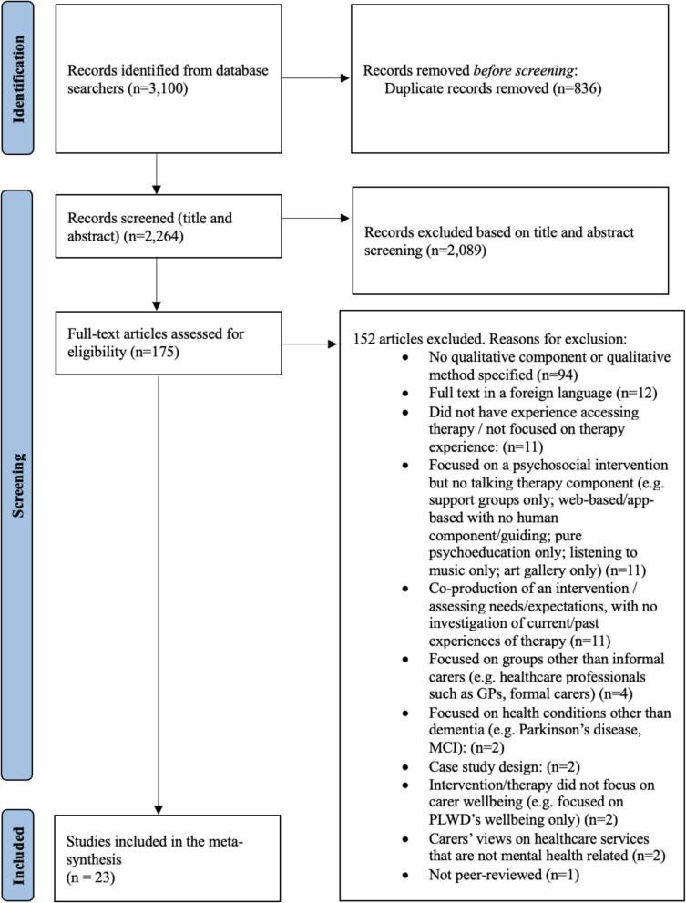
Three databases were systematically searched for qualitative literature, and 23 studies were included. Their quality was assessed and the data extracted was included in the thematic synthesis.

RESULTS

Findings were organised into five overarching themes: i) Mental health and relationship difficulties (context); ii) Overall positive experiences of therapy (including specific techniques, therapist factors and therapeutic relationship, social support); iii) Common changes experienced (e.g. increased awareness of one's emotions and needs, increased self-care and self-compassion); iv) Unhelpful experiences of therapy, suggestions and further needs; and v) Impact of wider societal contexts and events.

CONCLUSIONS

Given the predominantly positive experiences of therapy and mechanisms of change described, findings suggest that psychological therapies can be helpful for carers of people living with dementia. Additionally outlined are specific techniques to tailor therapy (regardless of approach) to best meet carers' needs, and suggestions for improvement. Future research should try to understand for whom and under what circumstances (e.g. wider contexts) psychosocial interventions become most effective in this population.

摘要

背景

与一般人群相比,痴呆症患者的非正式照料者出现心理健康问题的风险更高,但许多人无法获得及时的心理支持,他们的心理需求常常被忽视。因此,更深入地了解照料者在获得和接受心理治疗方面的生活经历,有助于调整治疗方法以满足他们的个体需求。据我们所知,这是关于照料者获得和参与心理治疗经历的定性文献的首次主题综合分析。

方法

系统检索了三个数据库中的定性文献,纳入了23项研究。对其质量进行了评估,并将提取的数据纳入主题综合分析。

结果

研究结果分为五个总体主题:i)心理健康和关系困难(背景);ii)治疗的总体积极体验(包括具体技术、治疗师因素和治疗关系、社会支持);iii)经历的常见变化(如对自身情绪和需求的认识增加、自我护理和自我同情增加);iv)治疗的无益体验、建议和进一步需求;v)更广泛社会背景和事件的影响。

结论

鉴于所描述的治疗的主要积极体验和变化机制,研究结果表明心理治疗可能有助于痴呆症患者的照料者。此外,还概述了调整治疗(无论采用何种方法)以最佳满足照料者需求的具体技术以及改进建议。未来的研究应试图了解心理社会干预措施对该人群中哪些人以及在何种情况下(如更广泛的背景)最有效。

https://cdn.ncbi.nlm.nih.gov/pmc/blobs/a833/12087096/5c45b5ef381e/12877_2025_5986_Fig1_HTML.jpg

文献AI研究员

20分钟写一篇综述,助力文献阅读效率提升50倍。

立即体验

用中文搜PubMed

大模型驱动的PubMed中文搜索引擎

马上搜索

文档翻译

学术文献翻译模型,支持多种主流文档格式。

立即体验