Suppr超能文献

昆虫病原真菌会增加高抗性疟蚊对杀虫剂的易感性。

Entomopathogenic fungi increases susceptibility to insecticides in highly resistant malaria mosquitoes .

作者信息

Lamy Doubé Lucien, Gnambani Edounou Jacques, Sare Issiaka, Millogo Souro Abel, Sodre Fatimata Aïcha, Namountougou Moussa, Viana Mafalda, Baldini Francesco, Diabaté Abdoulaye, Bilgo Etienne

机构信息

Direction Régionale de l'Ouest, Institut de Recherche en Sciences de la Santé, Bobo-Dioulasso, Houet, 545, Burkina Faso.

Laboratoire de Recherches et d'Enseignements en Santé et Biotechnologies Animales (LARESBA), Universite NAZI BONI, Bobo-Dioulasso, Hauts-Bassins Region, 1091, Burkina Faso.

出版信息

Wellcome Open Res. 2025 Feb 24;9:290. doi: 10.12688/wellcomeopenres.21238.2. eCollection 2024.

Abstract

BACKGROUND

spp. based mosquito control products are among the most investigated and could potentially serve as promising complements to chemical insecticides. However, limited knowledge exists on the implementation of this biocontrol tool in conjunction with primary insecticide-based strategies to achieve synergy.

METHODS

In laboratory bioassays, we combined 10 conidia/ml native strains with deltamethrin standard dose in three ways, before, after or simultaneously. These combinations were tested on laboratory insecticide resistant .

RESULTS

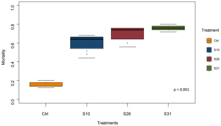
We found that and deltamethrin could be combined to achieve greater mortality against a highly insecticide resistance colony of . When mosquitoes were exposed to both simultaneously, no effect was observed, as expected for an insecticide resistant colony. However, when fungi were applied earlier than deltamethrin, mosquitoes became more sensitive to insecticide with a minimum Lethal Time to kill at least 50% of mosquito population (LT50) less than 8 days. In addition, when deltamethrin exposure was followed by infection, mosquito survival was similar to alone LT50 (LT50 ~11 days).

CONCLUSION

These findings suggest that early mosquito infection to followed by chemical insecticide exposure synergically improve mosquito control in the laboratory.

摘要

背景

基于虫霉属的蚊虫控制产品是研究最多的产品之一,有可能成为化学杀虫剂的有前景的补充。然而,关于将这种生物防治工具与基于主要杀虫剂的策略结合以实现协同作用的实施方面,知识有限。

方法

在实验室生物测定中,我们以三种方式将10个分生孢子/毫升的本地菌株与溴氰菊酯标准剂量组合,即之前、之后或同时。这些组合在实验室抗杀虫剂的(此处原文缺失具体受试对象)上进行测试。

结果

我们发现虫霉属和溴氰菊酯可以联合使用,以对一个高度抗杀虫剂的(此处原文缺失具体受试对象)群体实现更高的死亡率。当蚊子同时接触两者时,未观察到效果,这对于抗杀虫剂群体来说是预期的。然而,当真菌比溴氰菊酯更早应用时,蚊子对杀虫剂变得更敏感,杀死至少50%蚊子种群的最短致死时间(LT50)少于8天。此外,当溴氰菊酯暴露后再进行虫霉属感染时,蚊子的存活率与单独使用虫霉属时的LT50(LT50约11天)相似。

结论

这些发现表明,在实验室中,先对蚊子进行虫霉属感染,然后再进行化学杀虫剂暴露,可协同提高蚊虫控制效果。

https://cdn.ncbi.nlm.nih.gov/pmc/blobs/e248/12187172/d8f112164ae9/wellcomeopenres-9-26744-g0000.jpg

文献AI研究员

20分钟写一篇综述,助力文献阅读效率提升50倍。

立即体验

用中文搜PubMed

大模型驱动的PubMed中文搜索引擎

马上搜索

文档翻译

学术文献翻译模型,支持多种主流文档格式。

立即体验