Suppr超能文献

基于游戏的高强度间歇训练在不同场地维度上进行八周对青少年足球运动员体能水平和时间 - 动作反应的影响。

Effects of Eight-Week Game-Based High-Intensity Interval Training Performed on Different Pitch Dimensions on the Level of Physical Capacity and Time-Motion Responses in Youth Soccer Players.

作者信息

Jastrzębski Zbigniew, Wakuluk-Lewandowska Dorota, Arslan Ersan, Kilit Bulent, Soylu Yusuf, Radzimiński Łukasz

机构信息

Department of Physiology, Gdansk University of Physical Education and Sport, Gdańsk, Poland.

Faculty of Sport Sciences, Tokat Gaziosmanpasa University, Tokat, Turkey.

出版信息

J Hum Kinet. 2024 Dec 19;97:157-168. doi: 10.5114/jhk/190842. eCollection 2025 Apr.

Abstract

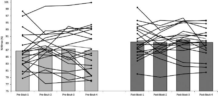
This study aimed to assess the effects of two different pitch dimensions on physical fitness responses and time-motion characteristics in young soccer players during the in-season period. Thirty-nine participants were randomly assigned to two playing areas: a 90 m (PD90, n = 19) and a 180 m (PD180, n = 20) area per player. During the eight-week soccer-specific high-intensity interval training (HIIT) intervention, both groups performed four bouts of 5-a-side games (SSGs) in two different pitch dimensions of 5 min with 3 min active rest intervals between games. The heart rate (HR), total distance (TD) and distances covered while walking (WLK), jogging (JOG), low-speed running (LSR), high-speed running (HSR), and sprinting (SPR) were recorded during SSGs. Before and after the intervention, the following tests and variables were completed and evaluated: physical work capacity (PWC170), the Wingate anaerobic test, the lactate threshold (LT), 5-m, 20-m, and 30-m sprint tests. Significant between-groups differences were found post-intervention in PWC170 (p = 0.018, ES = 0.15) and the 5-m sprint (p = 0.002, ES = 0.24). Greater playing areas could be more beneficial in developing aerobic fitness, while SSGs on smaller pitch sizes improve the ability of short-distance accelerations.

摘要

本研究旨在评估在赛季期间,两种不同场地尺寸对年轻足球运动员体能反应和时间-运动特征的影响。39名参与者被随机分配到两个比赛区域:每个球员一个90米的区域(PD90,n = 19)和一个180米的区域(PD180,n = 20)。在为期八周的足球专项高强度间歇训练(HIIT)干预期间,两组在两个不同场地尺寸上进行了四场5人制比赛(SSG),每场比赛5分钟,比赛之间有3分钟的积极休息时间。在SSG期间记录心率(HR)、总距离(TD)以及步行(WLK)、慢跑(JOG)、低速跑(LSR)、高速跑(HSR)和冲刺跑(SPR)的距离。在干预前后,完成并评估了以下测试和变量:体力工作能力(PWC170)、温盖特无氧测试、乳酸阈值(LT)、5米、20米和30米冲刺测试。干预后发现,两组之间在PWC170(p = 0.018,ES = 0.15)和5米冲刺(p = 0.002,ES = 0.24)方面存在显著差异。更大的比赛区域可能对发展有氧体能更有益,而在较小场地尺寸上进行的SSG可提高短距离加速能力。

https://cdn.ncbi.nlm.nih.gov/pmc/blobs/78cb/12127915/a611d5ba0455/JHK-97-190842-g001.jpg

文献AI研究员

20分钟写一篇综述,助力文献阅读效率提升50倍。

立即体验

用中文搜PubMed

大模型驱动的PubMed中文搜索引擎

马上搜索

文档翻译

学术文献翻译模型,支持多种主流文档格式。

立即体验