• 文献检索
  • 文档翻译
  • 深度研究
  • 学术资讯
  • Suppr Zotero 插件Zotero 插件
  • 邀请有礼
  • 套餐&价格
  • 历史记录
应用&插件
Suppr Zotero 插件Zotero 插件浏览器插件Mac 客户端Windows 客户端微信小程序
定价
高级版会员购买积分包购买API积分包
服务
文献检索文档翻译深度研究API 文档MCP 服务
关于我们
关于 Suppr公司介绍联系我们用户协议隐私条款
关注我们

Suppr 超能文献

核心技术专利:CN118964589B侵权必究
粤ICP备2023148730 号-1Suppr @ 2026

文献检索

告别复杂PubMed语法,用中文像聊天一样搜索,搜遍4000万医学文献。AI智能推荐,让科研检索更轻松。

立即免费搜索

文件翻译

保留排版,准确专业,支持PDF/Word/PPT等文件格式,支持 12+语言互译。

免费翻译文档

深度研究

AI帮你快速写综述,25分钟生成高质量综述,智能提取关键信息,辅助科研写作。

立即免费体验

CT血管造影颈动脉分割中的观察者变异性:评估变异性以设定最低临床性能

Observer Variability in CT Angiography Carotid Segmentation: Assessing Variability to Set Minimum Clinical Performance.

作者信息

Boyd Chris, Kleinig Timothy J, Dawson Joseph, Patel Sandy, Mayer Wolfgang, Bezak Eva

机构信息

Allied Health and Human Performance, University of South Australia, Adelaide, Australia.

Medical Physics and Radiation Safety, South Australia Medical Imaging, Adelaide, Australia.

出版信息

J Neuroimaging. 2025 May-Jun;35(3):e70058. doi: 10.1111/jon.70058.

DOI:10.1111/jon.70058
PMID:40468520
原文链接:https://pmc.ncbi.nlm.nih.gov/articles/PMC12137775/
Abstract

BACKGROUND AND PURPOSE

This work evaluates carotid atherosclerosis quantification from computed tomography angiography (CTA), by novice and expert human contours. Variability sources are critically assessed to establish the minimum performance of future machine learning (ML) tools.

METHODS

We analyzed extra cranial carotid lesions, with no, mild, moderate, and severe atherosclerosis (n = 10/group). CTA datasets of 24 patients (n = 6/group) were re-sampled to 2.5 mm axial thicknesses. Lumen, calcific plaque, and soft plaque were manually contoured by three expert experienced clinicians (neuroradiologist, vascular neurologist, and vascular surgeon), a medical physicist (MP), and a radiographer. Contouring was repeated several months later for intra-operator variability and again after development of a protocol. Clinicians blindly ranked each other's contours for descriptive statistical analysis.

RESULTS

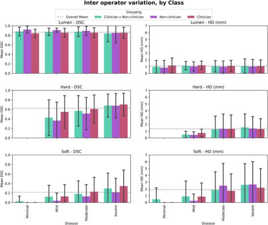
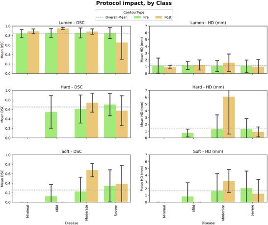
Relative to internal carotid origin, plaque began a median of 3.75 mm inferior (Interquartile Range [IQR] 0.8-7 mm), extended 18 mm superior (IQR: 13.0-29.6 mm), with a median total length of 24.4 mm (IQR: 14.7-37.4 mm). Clinicians and non-clinicians contoured lumen and calcific plaque similarly (dice similarity coefficient [DSC]: 0.87/0.62 respectively), but varied greater for soft plaque (DSC: 0.21). Neuroradiologist contours were consistently smaller, from approaching the partial-volume artifact conservatively. Clinicians favored their own contours, most pronouncedly the neuroradiologist (standard deviation: 0.00). Establishing a contouring protocol was not found to improve the agreement between clinicians.

CONCLUSIONS

CTA carotid pathology contouring inherently has limited clinician agreement due to small structure size and poor contrast. The reference-contour datasets produced by experienced clinicians are prone to inter-and intra-variability which must be carefully considered to ensure ML models developed from such datasets are not fatally flawed.

摘要

背景与目的

本研究通过新手和专家手动勾勒轮廓,评估计算机断层血管造影(CTA)对颈动脉粥样硬化的量化。对变异性来源进行了严格评估,以确定未来机器学习(ML)工具的最低性能。

方法

我们分析了无动脉粥样硬化、轻度、中度和重度动脉粥样硬化的颅外颈动脉病变(每组10例)。将24例患者(每组6例)的CTA数据集重新采样至2.5mm轴向厚度。由三位经验丰富的临床医生(神经放射科医生、血管神经科医生和血管外科医生)、一名医学物理学家(MP)和一名放射技师手动勾勒管腔、钙化斑块和软斑块的轮廓。几个月后重复勾勒轮廓以评估操作者内部的变异性,并在制定方案后再次进行。临床医生对彼此的轮廓进行盲法排序,以进行描述性统计分析。

结果

相对于颈内动脉起始处,斑块起始于下方中位数为3.75mm(四分位间距[IQR]0.8 - 7mm),向上延伸18mm(IQR:13.0 - 29.6mm),总长度中位数为24.4mm(IQR:14.7 - 37.4mm)。临床医生和非临床医生对管腔和钙化斑块的勾勒相似(骰子相似系数[DSC]分别为0.87/0.62),但对软斑块的差异更大(DSC:0.21)。神经放射科医生勾勒的轮廓始终较小,这是因为他们保守地接近部分容积伪影。临床医生更倾向于自己勾勒的轮廓,神经放射科医生最为明显(标准差:0.00)。未发现制定轮廓勾勒方案能改善临床医生之间的一致性。

结论

由于结构尺寸小和对比度差,CTA颈动脉病变轮廓勾勒在临床医生之间的一致性固有地有限。经验丰富的临床医生生成的参考轮廓数据集容易出现个体间和个体内的变异性,必须仔细考虑这一点,以确保从此类数据集开发的ML模型没有致命缺陷。

https://cdn.ncbi.nlm.nih.gov/pmc/blobs/38b2/12137775/3911038358aa/JON-35-0-g007.jpg
https://cdn.ncbi.nlm.nih.gov/pmc/blobs/38b2/12137775/95defe6664fa/JON-35-0-g008.jpg
https://cdn.ncbi.nlm.nih.gov/pmc/blobs/38b2/12137775/e8b6fdf91add/JON-35-0-g005.jpg
https://cdn.ncbi.nlm.nih.gov/pmc/blobs/38b2/12137775/870bcf515505/JON-35-0-g001.jpg
https://cdn.ncbi.nlm.nih.gov/pmc/blobs/38b2/12137775/744d2da3e773/JON-35-0-g006.jpg
https://cdn.ncbi.nlm.nih.gov/pmc/blobs/38b2/12137775/bcdef080661f/JON-35-0-g002.jpg
https://cdn.ncbi.nlm.nih.gov/pmc/blobs/38b2/12137775/2ede848e3cac/JON-35-0-g003.jpg
https://cdn.ncbi.nlm.nih.gov/pmc/blobs/38b2/12137775/dbf0d908ffff/JON-35-0-g004.jpg
https://cdn.ncbi.nlm.nih.gov/pmc/blobs/38b2/12137775/d4e39e2479f0/JON-35-0-g009.jpg
https://cdn.ncbi.nlm.nih.gov/pmc/blobs/38b2/12137775/3911038358aa/JON-35-0-g007.jpg
https://cdn.ncbi.nlm.nih.gov/pmc/blobs/38b2/12137775/95defe6664fa/JON-35-0-g008.jpg
https://cdn.ncbi.nlm.nih.gov/pmc/blobs/38b2/12137775/e8b6fdf91add/JON-35-0-g005.jpg
https://cdn.ncbi.nlm.nih.gov/pmc/blobs/38b2/12137775/870bcf515505/JON-35-0-g001.jpg
https://cdn.ncbi.nlm.nih.gov/pmc/blobs/38b2/12137775/744d2da3e773/JON-35-0-g006.jpg
https://cdn.ncbi.nlm.nih.gov/pmc/blobs/38b2/12137775/bcdef080661f/JON-35-0-g002.jpg
https://cdn.ncbi.nlm.nih.gov/pmc/blobs/38b2/12137775/2ede848e3cac/JON-35-0-g003.jpg
https://cdn.ncbi.nlm.nih.gov/pmc/blobs/38b2/12137775/dbf0d908ffff/JON-35-0-g004.jpg
https://cdn.ncbi.nlm.nih.gov/pmc/blobs/38b2/12137775/d4e39e2479f0/JON-35-0-g009.jpg
https://cdn.ncbi.nlm.nih.gov/pmc/blobs/38b2/12137775/3911038358aa/JON-35-0-g007.jpg

相似文献

1
Observer Variability in CT Angiography Carotid Segmentation: Assessing Variability to Set Minimum Clinical Performance.CT血管造影颈动脉分割中的观察者变异性:评估变异性以设定最低临床性能
J Neuroimaging. 2025 May-Jun;35(3):e70058. doi: 10.1111/jon.70058.
2
Quantitative assessment of carotid plaque morphology (geometry and tissue composition) using computed tomography angiography.采用计算机断层血管造影术对颈动脉斑块形态(几何形状和组织成分)进行定量评估。
J Vasc Surg. 2019 Sep;70(3):858-868. doi: 10.1016/j.jvs.2018.11.050. Epub 2019 Mar 6.
3
3-D Contrast-Enhanced Fusion Ultrasound for Accurate Volume Assessment of Vessel Lumen and Plaque in Carotid Artery Disease as Compared With Computed Tomography Angiography.三维对比增强融合超声与计算机断层血管造影在颈动脉疾病中对血管腔和斑块的准确体积评估的比较。
Ultrasound Med Biol. 2024 Mar;50(3):399-406. doi: 10.1016/j.ultrasmedbio.2023.11.013. Epub 2024 Jan 3.
4
Automated versus manual segmentation of atherosclerotic carotid plaque volume and components in CTA: associations with cardiovascular risk factors.CTA 中自动与手动颈动脉粥样硬化斑块体积和成分分割:与心血管危险因素的相关性。
Int J Cardiovasc Imaging. 2012 Apr;28(4):877-87. doi: 10.1007/s10554-011-9890-6. Epub 2011 May 26.
5
VASIM: an automated tool for the quantification of carotid atherosclerosis by computed tomography angiography.VASIM:一种通过计算机断层扫描血管造影术对颈动脉粥样硬化进行量化的自动化工具。
Int J Cardiovasc Imaging. 2019 Jun;35(6):1149-1159. doi: 10.1007/s10554-019-01549-1. Epub 2019 Feb 28.
6
Comparability of semiautomatic tortuosity measurements in the carotid artery.颈动脉半自动迂曲度测量的可比性
Neuroradiology. 2019 Feb;61(2):147-153. doi: 10.1007/s00234-018-2112-3. Epub 2018 Oct 18.
7
Semiautomatic quantification of carotid plaque volume with three-dimensional ultrasound imaging.利用三维超声成像对颈动脉斑块体积进行半自动定量分析。
J Vasc Surg. 2017 May;65(5):1407-1417. doi: 10.1016/j.jvs.2016.11.033. Epub 2017 Mar 6.
8
Accuracy of Coronary Plaque Detection and Assessment of Interobserver Agreement for Plaque Quantification Using Automatic Coronary Plaque Analysis Software on Coronary CT Angiography.冠状动脉CT血管造影中使用自动冠状动脉斑块分析软件进行冠状动脉斑块检测的准确性及观察者间斑块定量一致性评估
Rofo. 2016 Oct;188(10):933-9. doi: 10.1055/s-0042-110099. Epub 2016 Jul 19.
9
Machine Learning Detects Symptomatic Plaques in Patients With Carotid Atherosclerosis on CT Angiography.机器学习可在 CT 血管造影中检测颈动脉粥样硬化患者的有症状斑块。
Circ Cardiovasc Imaging. 2024 Jun;17(6):e016274. doi: 10.1161/CIRCIMAGING.123.016274. Epub 2024 Jun 18.
10
Carotid artery segmentation using level set method with double adaptive threshold (DATLS) on TOF-MRA images.基于双自适应阈值(DATLS)的水平集方法对 TOF-MRA 图像进行颈动脉分割。
Magn Reson Imaging. 2019 Nov;63:123-130. doi: 10.1016/j.mri.2019.08.002. Epub 2019 Aug 16.

本文引用的文献

1
Assessing Inter-Annotator Agreement for Medical Image Segmentation.评估医学图像分割中注释者之间的一致性。
IEEE Access. 2023;11:21300-21312. doi: 10.1109/access.2023.3249759. Epub 2023 Feb 27.
2
Deep-learning method for fully automatic segmentation of the abdominal aortic aneurysm from computed tomography imaging.基于计算机断层扫描成像的腹主动脉瘤全自动分割深度学习方法。
Front Cardiovasc Med. 2023 Jan 5;9:1040053. doi: 10.3389/fcvm.2022.1040053. eCollection 2022.
3
Atherosclerosis risk classification with computed tomography angiography: A radiologic-pathologic validation study.
基于计算机断层扫描血管造影术的动脉粥样硬化风险分类:一项放射学-病理学验证研究。
Atherosclerosis. 2023 Feb;366:42-48. doi: 10.1016/j.atherosclerosis.2022.11.013. Epub 2022 Nov 24.
4
Artificial Intelligence in Cardiovascular Atherosclerosis Imaging.心血管动脉粥样硬化成像中的人工智能
J Pers Med. 2022 Mar 8;12(3):420. doi: 10.3390/jpm12030420.
5
Reproducibility of manual segmentation in muscle imaging.肌肉成像中手动分割的可重复性。
Acta Myol. 2021 Sep 30;40(3):116-123. doi: 10.36185/2532-1900-052. eCollection 2021 Sep.
6
A national study on the inter-observer variability in the delineation of organs at risk in the brain.一项关于在勾画脑部危险器官时观察者间变异性的全国性研究。
Acta Oncol. 2021 Nov;60(11):1548-1554. doi: 10.1080/0284186X.2021.1975813. Epub 2021 Oct 9.
7
Effects of Interobserver Variability on 2D and 3D CT- and MRI-Based Texture Feature Reproducibility of Cartilaginous Bone Tumors.观察者间变异性对基于二维和三维 CT 和 MRI 的软骨性骨肿瘤纹理特征可重复性的影响。
J Digit Imaging. 2021 Aug;34(4):820-832. doi: 10.1007/s10278-021-00498-3. Epub 2021 Aug 17.
8
Ethics and standards in the use of artificial intelligence in medicine on behalf of the Royal Australian and New Zealand College of Radiologists.代表澳大利亚皇家放射学会和新西兰放射学会,在医学中使用人工智能的伦理和标准。
J Med Imaging Radiat Oncol. 2021 Aug;65(5):486-494. doi: 10.1111/1754-9485.13289.
9
Roadmap Consensus on Carotid Artery Plaque Imaging and Impact on Therapy Strategies and Guidelines: An International, Multispecialty, Expert Review and Position Statement.颈动脉斑块成像的路线图共识及其对治疗策略和指南的影响:国际多学科专家评论和立场声明。
AJNR Am J Neuroradiol. 2021 Sep;42(9):1566-1575. doi: 10.3174/ajnr.A7223. Epub 2021 Jul 29.
10
Evaluation of inter- and intra-operator reliability of manual segmentation of femoral metastatic lesions.评价手动分割股骨转移瘤的组内和组间操作者可靠性。
Int J Comput Assist Radiol Surg. 2021 Oct;16(10):1841-1849. doi: 10.1007/s11548-021-02450-w. Epub 2021 Jul 15.