• 文献检索
  • 文档翻译
  • 深度研究
  • 学术资讯
  • Suppr Zotero 插件Zotero 插件
  • 邀请有礼
  • 套餐&价格
  • 历史记录
应用&插件
Suppr Zotero 插件Zotero 插件浏览器插件Mac 客户端Windows 客户端微信小程序
定价
高级版会员购买积分包购买API积分包
服务
文献检索文档翻译深度研究API 文档MCP 服务
关于我们
关于 Suppr公司介绍联系我们用户协议隐私条款
关注我们

Suppr 超能文献

核心技术专利:CN118964589B侵权必究
粤ICP备2023148730 号-1Suppr @ 2026

文献检索

告别复杂PubMed语法,用中文像聊天一样搜索,搜遍4000万医学文献。AI智能推荐,让科研检索更轻松。

立即免费搜索

文件翻译

保留排版,准确专业,支持PDF/Word/PPT等文件格式,支持 12+语言互译。

免费翻译文档

深度研究

AI帮你快速写综述,25分钟生成高质量综述,智能提取关键信息,辅助科研写作。

立即免费体验

1990 - 2021年204个国家和地区15 - 59岁人群胰腺癌的全球负担:GBD 2021的系统分析及到2045年的预测

Global Burden of Pancreatic Cancer Among Individuals Aged 15-59 Years in 204 Countries and Territories, 1990-2021: A Systematic Analysis for the GBD 2021 and Projections to 2045.

作者信息

Xia Zeyu, Han Wenping, Niu Haigang, Dong Hui

机构信息

People's Hospital of Yiyang, Yiyang 413001, China.

Teaching and Research Section of Surgery, Faculty of Clinical Medicine, Fenyang College, Shanxi Medical University, Fenyang 032200, China.

出版信息

Cancers (Basel). 2025 May 23;17(11):1757. doi: 10.3390/cancers17111757.

DOI:10.3390/cancers17111757
PMID:40507239
原文链接:https://pmc.ncbi.nlm.nih.gov/articles/PMC12153570/
Abstract

BACKGROUND

Pancreatic cancer (PC), the third leading cause of cancer-related mortality globally, exhibits a persistently low five-year survival rate (13%). While the global burden of PC among individuals aged 15-59 years has declined, trends in China remain understudied. This study evaluates global and national trends in PC incidence, mortality, and disability-adjusted life years (DALYs) from 1990 to 2021 and projects trajectories to 2045.

METHODS

Using data from the Global Burden of Disease (GBD) 2021 study, we calculated age-standardized rates (ASRs) for 204 countries/territories. Joinpoint (version: 5.3.0.0) regression identified temporal trends via average annual percentage changes (AAPCs), and Bayesian age-period-cohort (BAPC) modeling forecasted future burdens.

RESULTS

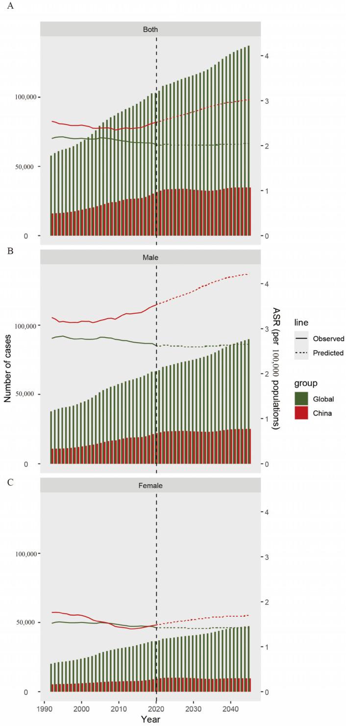
Globally, PC burden declined among 15-59-year-olds (AAPC for incidence: -0.8%, 95% UI: -1.2 to -0.4). However, China experienced a significant reversal after 2009, with incidence rising by 1.5% annually (95% UI: 0.9-2.1), disproportionately affecting males. Smoking (contributing to 22.2% of DALYs in China) and high fasting plasma glucose (15%) emerged as key modifiable risk factors, while elevated BMI exacerbated burdens in high SDI regions (3.1% of DALYs). Projections indicate a continued surge in China's PC burden by 2045, particularly among males (incidence projected to increase by 50% from 2010 to 2045).

CONCLUSIONS

High SDI regions exhibit concentrated PC burdens linked to lifestyle factors, whereas China's rising trends align with healthcare expansion and metabolic disease proliferation. Targeted interventions-smoking cessation, glycemic control, and weight management-are imperative to mitigate growing burdens in younger populations. This study highlights the urgent need for region-specific strategies to address evolving epidemiological challenges in PC prevention and control.

摘要

背景

胰腺癌(PC)是全球癌症相关死亡的第三大主要原因,其五年生存率一直很低(13%)。虽然15至59岁人群中胰腺癌的全球负担有所下降,但中国的趋势仍研究不足。本研究评估了1990年至2021年全球和中国胰腺癌发病率、死亡率及伤残调整生命年(DALYs)的趋势,并预测了到2045年的发展轨迹。

方法

利用全球疾病负担(GBD)2021研究的数据,我们计算了204个国家/地区的年龄标准化率(ASRs)。Joinpoint(版本:5.3.0.0)回归通过年均百分比变化(AAPCs)确定时间趋势,贝叶斯年龄-时期-队列(BAPC)模型预测未来负担。

结果

在全球范围内,15至59岁人群的胰腺癌负担有所下降(发病率的AAPC为-0.8%,95%可信区间:-1.2至-0.4)。然而,中国在2009年后出现了显著逆转,发病率每年上升1.5%(95%可信区间:0.9-2.1),对男性的影响尤为严重。吸烟(在中国DALYs中占22.2%)和高空腹血糖(15%)成为关键的可改变风险因素,而高体重指数在高社会人口指数(SDI)地区加剧了负担(占DALYs的3.1%)。预测表明,到2045年中国胰腺癌负担将持续激增,尤其是在男性中(预计发病率从2010年到2045年将增加50%)。

结论

高SDI地区的胰腺癌负担集中与生活方式因素有关,而中国的上升趋势与医疗保健扩张和代谢性疾病增多相一致。有针对性的干预措施——戒烟、血糖控制和体重管理——对于减轻年轻人群不断增加的负担至关重要。本研究强调迫切需要针对特定区域的策略来应对胰腺癌预防和控制中不断演变的流行病学挑战。

https://cdn.ncbi.nlm.nih.gov/pmc/blobs/3ba3/12153570/0b7e4e944e08/cancers-17-01757-g006.jpg
https://cdn.ncbi.nlm.nih.gov/pmc/blobs/3ba3/12153570/0d3024acfb4f/cancers-17-01757-g001.jpg
https://cdn.ncbi.nlm.nih.gov/pmc/blobs/3ba3/12153570/14efd444a5f4/cancers-17-01757-g002.jpg
https://cdn.ncbi.nlm.nih.gov/pmc/blobs/3ba3/12153570/ba8152466a1c/cancers-17-01757-g003.jpg
https://cdn.ncbi.nlm.nih.gov/pmc/blobs/3ba3/12153570/eef3442f57ff/cancers-17-01757-g004.jpg
https://cdn.ncbi.nlm.nih.gov/pmc/blobs/3ba3/12153570/9a7ab77acd4f/cancers-17-01757-g005.jpg
https://cdn.ncbi.nlm.nih.gov/pmc/blobs/3ba3/12153570/0b7e4e944e08/cancers-17-01757-g006.jpg
https://cdn.ncbi.nlm.nih.gov/pmc/blobs/3ba3/12153570/0d3024acfb4f/cancers-17-01757-g001.jpg
https://cdn.ncbi.nlm.nih.gov/pmc/blobs/3ba3/12153570/14efd444a5f4/cancers-17-01757-g002.jpg
https://cdn.ncbi.nlm.nih.gov/pmc/blobs/3ba3/12153570/ba8152466a1c/cancers-17-01757-g003.jpg
https://cdn.ncbi.nlm.nih.gov/pmc/blobs/3ba3/12153570/eef3442f57ff/cancers-17-01757-g004.jpg
https://cdn.ncbi.nlm.nih.gov/pmc/blobs/3ba3/12153570/9a7ab77acd4f/cancers-17-01757-g005.jpg
https://cdn.ncbi.nlm.nih.gov/pmc/blobs/3ba3/12153570/0b7e4e944e08/cancers-17-01757-g006.jpg

相似文献

1
Global Burden of Pancreatic Cancer Among Individuals Aged 15-59 Years in 204 Countries and Territories, 1990-2021: A Systematic Analysis for the GBD 2021 and Projections to 2045.1990 - 2021年204个国家和地区15 - 59岁人群胰腺癌的全球负担:GBD 2021的系统分析及到2045年的预测
Cancers (Basel). 2025 May 23;17(11):1757. doi: 10.3390/cancers17111757.
2
Divergent trajectories in pancreatic cancer burden among older adults (55+): a GBD 2021 analysis revealing China's dual epidemic of aging and population growth (1990-2045).55岁及以上老年人胰腺癌负担的不同轨迹:一项全球疾病负担研究(GBD)2021分析揭示中国老龄化与人口增长的双重流行(1990 - 2045年)
Front Public Health. 2025 May 29;13:1600635. doi: 10.3389/fpubh.2025.1600635. eCollection 2025.
3
Global, regional, and national burden of esophageal cancer: a systematic analysis of the Global Burden of Disease Study 2021.全球、区域和国家食管癌负担:全球疾病负担研究2021的系统分析
Biomark Res. 2025 Jan 6;13(1):3. doi: 10.1186/s40364-024-00718-2.
4
Global, regional, and national burden of acute leukemia and its risk factors from 1990 to 2021 and predictions to 2040: findings from the global burden of disease study 2021.1990年至2021年全球、区域和国家急性白血病负担及其风险因素以及到2040年的预测:全球疾病负担研究2021的结果
Biomed Eng Online. 2025 Jun 10;24(1):72. doi: 10.1186/s12938-025-01403-7.
5
Global, regional, and national burdens of early onset pancreatic cancer in adolescents and adults aged 15-49 years from 1990 to 2019 based on the Global Burden of Disease Study 2019: a cross-sectional study.基于 2019 年全球疾病负担研究的 1990 年至 2019 年全球、区域和国家 15-49 岁青少年和成年人早发性胰腺癌负担:一项横断面研究。
Int J Surg. 2024 Apr 1;110(4):1929-1940. doi: 10.1097/JS9.0000000000001054.
6
Temporal trends of particulate matter pollution and its health burden, 1990-2021, with projections to 2036: a systematic analysis for the global burden of disease study 2021.1990 - 2021年颗粒物污染的时间趋势及其健康负担,以及到2036年的预测:全球疾病负担研究2021的系统分析
Front Public Health. 2025 Apr 16;13:1579716. doi: 10.3389/fpubh.2025.1579716. eCollection 2025.
7
Burden of disease scenarios for 204 countries and territories, 2022-2050: a forecasting analysis for the Global Burden of Disease Study 2021.204 个国家和地区 2022-2050 年疾病负担情景:2021 年全球疾病负担研究的预测分析。
Lancet. 2024 May 18;403(10440):2204-2256. doi: 10.1016/S0140-6736(24)00685-8.
8
Analysis and comparison of the trends in burden of low back pain in China and worldwide from 1990 to 2021.1990年至2021年中国与全球范围内腰痛负担趋势的分析与比较
J Health Popul Nutr. 2025 Feb 13;44(1):39. doi: 10.1186/s41043-025-00768-8.
9
Global, regional, and national comparative risk assessment of 84 behavioural, environmental and occupational, and metabolic risks or clusters of risks for 195 countries and territories, 1990-2017: a systematic analysis for the Global Burden of Disease Study 2017.全球、区域和国家 84 种行为、环境、职业和代谢风险以及 195 个国家和地区 1990 至 2017 年风险簇的比较风险评估:全球疾病负担研究 2017 系统分析。
Lancet. 2018 Nov 10;392(10159):1923-1994. doi: 10.1016/S0140-6736(18)32225-6. Epub 2018 Nov 8.
10
Global, regional, and national temporal trends in prevalence, deaths and disability-adjusted life years for chronic pulmonary disease, 1990-2021: an age-period-cohort analysis based on the global burden of disease study 2021.1990 - 2021年慢性肺病患病率、死亡人数及伤残调整生命年的全球、区域和国家时间趋势:基于2021年全球疾病负担研究的年龄 - 时期 - 队列分析
Front Med (Lausanne). 2025 Mar 4;12:1554442. doi: 10.3389/fmed.2025.1554442. eCollection 2025.

本文引用的文献

1
Cancer statistics, 2025.2025年癌症统计数据。
CA Cancer J Clin. 2025 Jan-Feb;75(1):10-45. doi: 10.3322/caac.21871. Epub 2025 Jan 16.
2
Global burden and strength of evidence for 88 risk factors in 204 countries and 811 subnational locations, 1990-2021: a systematic analysis for the Global Burden of Disease Study 2021.全球疾病负担研究 2021 年在 204 个国家和地区、811 个次国家级地点对 88 种风险因素的全球负担和证据强度:系统分析。
Lancet. 2024 May 18;403(10440):2162-2203. doi: 10.1016/S0140-6736(24)00933-4.
3
Global burden of 288 causes of death and life expectancy decomposition in 204 countries and territories and 811 subnational locations, 1990-2021: a systematic analysis for the Global Burden of Disease Study 2021.
全球 204 个国家和地区及 811 个亚级行政区 1990 年至 2021 年 288 种死因及预期寿命的归因分析:全球疾病负担研究 2021 系统分析。
Lancet. 2024 May 18;403(10440):2100-2132. doi: 10.1016/S0140-6736(24)00367-2. Epub 2024 Apr 3.
4
Global age-sex-specific mortality, life expectancy, and population estimates in 204 countries and territories and 811 subnational locations, 1950-2021, and the impact of the COVID-19 pandemic: a comprehensive demographic analysis for the Global Burden of Disease Study 2021.204 个国家和地区及 811 个次国家级行政单位 1950 年至 2021 年的全球年龄、性别特异性死亡率、预期寿命和人口估计,以及 COVID-19 大流行的影响:2021 年全球疾病负担研究的综合人口分析。
Lancet. 2024 May 18;403(10440):1989-2056. doi: 10.1016/S0140-6736(24)00476-8. Epub 2024 Mar 11.
5
Global, regional, and national burdens of early onset pancreatic cancer in adolescents and adults aged 15-49 years from 1990 to 2019 based on the Global Burden of Disease Study 2019: a cross-sectional study.基于 2019 年全球疾病负担研究的 1990 年至 2019 年全球、区域和国家 15-49 岁青少年和成年人早发性胰腺癌负担:一项横断面研究。
Int J Surg. 2024 Apr 1;110(4):1929-1940. doi: 10.1097/JS9.0000000000001054.
6
Adolescent and Young Adult (AYA) Oncology, Version 2.2024, NCCN Clinical Practice Guidelines in Oncology.青少年和青年肿瘤学(AYA),第 2.2024 版,NCCN 肿瘤学临床实践指南。
J Natl Compr Canc Netw. 2023 Aug;21(8):851-880. doi: 10.6004/jnccn.2023.0040.
7
Exploration of the lymphadenectomy strategy for elderly pancreatic ductal adenocarcinoma patients undergoing curative-intent resection.老年胰腺癌患者根治性切除术中淋巴结清扫策略的探索
Am J Cancer Res. 2023 May 15;13(5):1938-1951. eCollection 2023.
8
Estimates and Projections of the Global Economic Cost of 29 Cancers in 204 Countries and Territories From 2020 to 2050.2020 年至 2050 年全球 29 种癌症在 204 个国家和地区的全球经济成本估计和预测。
JAMA Oncol. 2023 Apr 1;9(4):465-472. doi: 10.1001/jamaoncol.2022.7826.
9
Adolescents and Young Adults With Cancer.患有癌症的青少年和青年成人。
JAMA Oncol. 2023 Mar 1;9(3):440. doi: 10.1001/jamaoncol.2022.6132.
10
Cancer statistics, 2023.癌症统计数据,2023 年。
CA Cancer J Clin. 2023 Jan;73(1):17-48. doi: 10.3322/caac.21763.