Suppr超能文献

使用功能化金纳米颗粒增强多酚递送及功效:抗氧化和抗菌特性

Enhancing Polyphenol Delivery and Efficacy Using Functionalized Gold Nanoparticles: Antioxidant and Antibacterial Properties.

作者信息

Bouaouz Siham, Chavez Miriam, Peña González Cornelia E, Rojas Daniel, Escarpa Alberto, Ortega Paula, Javier de la Mata F

机构信息

Department of Organic and Inorganic Chemistry, Research Institute in Chemistry "Andrés M. del Río" (IQAR), University of Alcala, Madrid, Spain.

Department of Analytical Chemistry, Physical Chemistry and Chemical Engineering, Institute in Chemistry "Andrés M. del Río" (IQAR) University of Alcala, Madrid, Spain.

出版信息

Bioinorg Chem Appl. 2025 Jun 9;2025:3836765. doi: 10.1155/bca/3836765. eCollection 2025.

Abstract

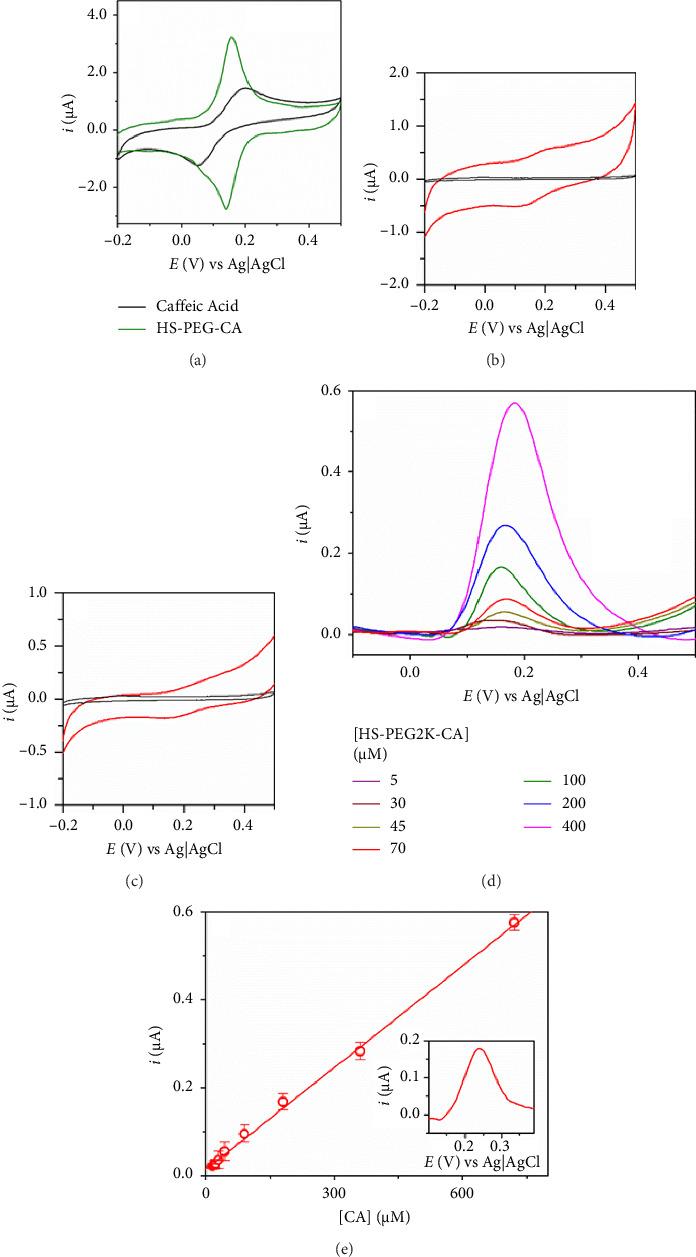
Research into the use of nanoparticles to enhance the delivery and efficacy of polyphenols is a topic of growing interest in the fields of nanotechnology, pharmacology and food science. Nanoparticles, due to their small size and high surface area, can improve the stability, solubility and bioavailability of polyphenols. Combining polyphenols with other bioactive compounds within nanoparticles can create synergistic effects, enhancing their overall therapeutic potential. In this work, we present a new polyethylene glycol (PEG) capping ligand modified with caffeic acid (CA), HS-PEG-CA and two types of gold nanoparticles: (i) coated with a PEG-thiol derivative functionalized with CA (HS-PEG-CA) (homofuncionalized NP) and (ii) HS-PEG-CA cationic carbosilane dendrons with antibacterial properties (heterofuncionalized NP). The antioxidant capacity of the CA, in three systems, has been studied by different techniques such as FRAP, DDPH and cyclic voltammetry, demonstrating that it is preserved when it is supported on the NP and increases when it is part of the PEG ligand. In addition, heterofuntionalized NP showed activity against and HS-PEG2K-CA ligand can effectively anchor to gold substrates.

摘要

研究利用纳米颗粒提高多酚的递送效率和功效是纳米技术、药理学和食品科学领域中日益受到关注的一个话题。纳米颗粒因其尺寸小和表面积大,能够提高多酚的稳定性、溶解性和生物利用度。在纳米颗粒中将多酚与其他生物活性化合物结合可以产生协同效应,增强其整体治疗潜力。在这项工作中,我们展示了一种用咖啡酸(CA)修饰的新型聚乙二醇(PEG)封端配体,即HS-PEG-CA,以及两种类型的金纳米颗粒:(i)涂覆有经CA功能化的PEG-硫醇衍生物(HS-PEG-CA)(同功能化纳米颗粒)和(ii)具有抗菌特性的HS-PEG-CA阳离子碳硅烷树枝状大分子(异功能化纳米颗粒)。通过诸如FRAP、DDPH和循环伏安法等不同技术研究了CA在三种体系中的抗氧化能力,结果表明当它负载在纳米颗粒上时其抗氧化能力得以保留,而当它作为PEG配体的一部分时抗氧化能力增强。此外,异功能化纳米颗粒显示出对……有活性,并且HS-PEG2K-CA配体能够有效地锚定在金基底上。

https://cdn.ncbi.nlm.nih.gov/pmc/blobs/27ab/12170072/0694bf9445c7/BCA2025-3836765.sch.001.jpg

文献检索

告别复杂PubMed语法,用中文像聊天一样搜索,搜遍4000万医学文献。AI智能推荐,让科研检索更轻松。

立即免费搜索

文件翻译

保留排版,准确专业,支持PDF/Word/PPT等文件格式,支持 12+语言互译。

免费翻译文档

深度研究

AI帮你快速写综述,25分钟生成高质量综述,智能提取关键信息,辅助科研写作。

立即免费体验