Suppr超能文献

一种纳入就医行为的疟疾传播动力学新型ABC分数阶数学模型。

A novel ABC fractional-order mathematical model for malaria transmission dynamics incorporating treatment-seeking behavior.

作者信息

Jaleta Sisay Fikadu, Duressa Gemechis File, Deressa Chernet Tuge

机构信息

Department of Mathematics, Debre Berhan University, Debre Berhan, Ethiopia.

Department of Mathematics, Jimma University, Jimma, Ethiopia.

出版信息

PLoS One. 2025 Jun 18;20(6):e0319166. doi: 10.1371/journal.pone.0319166. eCollection 2025.

Abstract

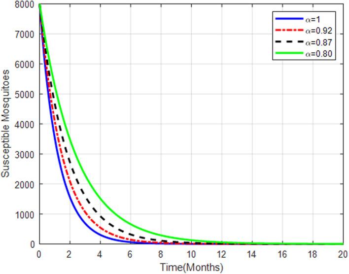
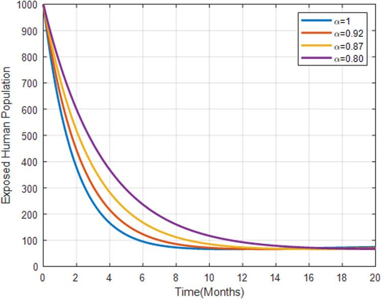
Malaria remains a significant global health challenge, particularly in developing countries. This study introduces a novel ABC fractional-order model to analyze malaria transmission dynamics, incorporating treatment-seeking behavior, which includes both treatment at professional health facilities and interventions through indigenous traditional medicine. We conducted a comprehensive analysis of the model, examining the existence and uniqueness of solutions and performing numerical simulations using various mathematical techniques. Our findings reveal that fractional-order effects significantly influence malaria transmission dynamics; specifically, higher fractional orders result in slower increases in susceptible and exposed human populations while leading to more rapid changes in the dynamics of infected populations. Furthermore, the model demonstrates that increasing the rate of treatment at health facilities can substantially reduce the infected population and decrease the reproduction number, thereby facilitating the elimination of the disease within a shorter time frame. Additionally, the study highlights that reliance on traditional medicine without clinical validation may lead to temporary recovery but not complete elimination of the malaria parasite, increasing the risk of relapse and further disease spread. The finding suggests that public health initiatives should encourage collaboration between traditional medicine practitioners and professional healthcare providers to reduce non-standardized treatment risks and improve the effectiveness of malaria management strategies. These contribute to the broader field of epidemiological modeling, offering a robust framework for understanding and mitigating malaria transmission in resource-limited settings.

摘要

疟疾仍然是一项重大的全球卫生挑战,在发展中国家尤为如此。本研究引入了一种新颖的ABC分数阶模型,以分析疟疾传播动态,该模型纳入了寻求治疗行为,包括在专业卫生机构接受治疗以及通过本土传统医学进行干预。我们对该模型进行了全面分析,研究了解的存在性和唯一性,并使用各种数学技术进行了数值模拟。我们的研究结果表明,分数阶效应显著影响疟疾传播动态;具体而言,分数阶越高,易感人群和暴露人群的增长速度越慢,而感染人群动态变化则越快。此外,该模型表明,提高卫生机构的治疗率可大幅减少感染人群并降低繁殖数,从而有助于在更短时间内消除该疾病。此外,该研究强调,依赖未经临床验证的传统医学可能导致暂时康复,但无法完全消除疟原虫,增加复发风险和疾病进一步传播的可能性。研究结果表明,公共卫生举措应鼓励传统医学从业者与专业医疗服务提供者合作,以降低非标准化治疗风险并提高疟疾管理策略的有效性。这些研究成果对流行病学建模这一广泛领域做出了贡献,为理解和减轻资源有限环境中的疟疾传播提供了一个强大的框架。

https://cdn.ncbi.nlm.nih.gov/pmc/blobs/7b07/12176305/c5de58400235/pone.0319166.g001.jpg

文献检索

告别复杂PubMed语法,用中文像聊天一样搜索,搜遍4000万医学文献。AI智能推荐,让科研检索更轻松。

立即免费搜索

文件翻译

保留排版,准确专业,支持PDF/Word/PPT等文件格式,支持 12+语言互译。

免费翻译文档

深度研究

AI帮你快速写综述,25分钟生成高质量综述,智能提取关键信息,辅助科研写作。

立即免费体验