• 文献检索
  • 文档翻译
  • 深度研究
  • 学术资讯
  • Suppr Zotero 插件Zotero 插件
  • 邀请有礼
  • 套餐&价格
  • 历史记录
应用&插件
Suppr Zotero 插件Zotero 插件浏览器插件Mac 客户端Windows 客户端微信小程序
定价
高级版会员购买积分包购买API积分包
服务
文献检索文档翻译深度研究API 文档MCP 服务
关于我们
关于 Suppr公司介绍联系我们用户协议隐私条款
关注我们

Suppr 超能文献

核心技术专利:CN118964589B侵权必究
粤ICP备2023148730 号-1Suppr @ 2026

文献检索

告别复杂PubMed语法,用中文像聊天一样搜索,搜遍4000万医学文献。AI智能推荐,让科研检索更轻松。

立即免费搜索

文件翻译

保留排版,准确专业,支持PDF/Word/PPT等文件格式,支持 12+语言互译。

免费翻译文档

深度研究

AI帮你快速写综述,25分钟生成高质量综述,智能提取关键信息,辅助科研写作。

立即免费体验

胰岛素抵抗指标如LAP和TyG与抑郁症之间的非线性关系及人群特征分析:一项横断面研究。

Analysis of the nonlinear relationships between insulin resistance indicators such as LAP and TyG and depression, and population characteristics: a cross-sectional study.

作者信息

Zhang Yueyu, Chen Xinyi, Wang Yu, Tang Yi, Zhang Kangrui, Wu Juncang

机构信息

Anhui Medical University, Hefei, 230032, Anhui, China.

Department of Neurology, The Second People's Hospital of Hefei, Hefei, 230011, Anhui, China.

出版信息

Eur J Med Res. 2025 Jun 23;30(1):513. doi: 10.1186/s40001-025-02802-1.

DOI:10.1186/s40001-025-02802-1
PMID:40551244
原文链接:https://pmc.ncbi.nlm.nih.gov/articles/PMC12183857/
Abstract

BACKGROUND

Accumulating evidence indicates a potential link between insulin resistance (IR) and depression, although the bidirectional nature and underlying mechanisms of this association remain poorly understood. This study aims to systematically investigate the associations between multiple IR indices-specifically the Homeostatic Model Assessment of Insulin Resistance (HOMA-IR), Lipid Accumulation Product (LAP), and Triglyceride-Glucose indice (TyG)-and the prevalence of depression.

METHODS

Data from 12,011 participants in the National Health and Nutrition Examination Survey (NHANES) were analyzed. IR was quantified using three indices: HOMA-IR, LAP, and TyG. Baseline demographic and clinical characteristics were compared between participants with and without depression following stratification by depression status. Weighted multivariate logistic regression models were employed to evaluate the associations between IR indices (categorized into quartiles) and depression. Nonlinear relationships were explored using threshold effect analysis, restricted cubic spline (RCS) models, and smooth curve fitting. Subgroup analyses were performed to assess heterogeneity by age, gender, poverty level, and comorbidities (e.g., cardiovascular disease, hypertension).

RESULTS

The depressed group (n = 971) exhibited significantly higher IR indices compared to the non-depressed group (n = 11,040). In the fully adjusted model (Model 3), both LAP (Q4 vs. Q1: OR = 1.569, 95% CI 1.234-1.998) and TyG (Q4 vs. Q1: OR = 1.497, 95% CI 1.182-1.896) were significantly associated with depression, whereas the association for HOMA-IR was attenuated (Q4 vs. Q1: OR = 1.310, p = 0.099). Threshold effect analysis revealed a nonlinear "inverted L-shaped" relationship between HOMA-IR, LAP, and depression, with effect modification observed at specific indice thresholds. Subgroup analyses demonstrated stronger associations in males (LAP: OR = 1.23, p < 0.01; TyG: OR = 1.31, p < 0.05), individuals with coronary heart disease (LAP: OR = 1.68, p < 0.001), and stroke survivors (LAP: OR = 1.42, p = 0.023 for interaction).

CONCLUSIONS

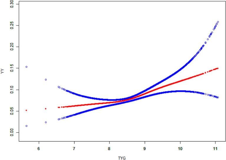
This study provides robust evidence of significant associations between IR indices (LAP and TyG) and depression, with a notable nonlinear "inverted L-shaped" relationship observed for LAP. Subgroup analyses highlighted stronger correlations in older adults (≥ 59 years), patients with coronary heart disease, stroke survivors, males, and individuals with hypertension. These findings enhance our understanding of the metabolic pathways underlying depression and emphasize the importance of integrating IR indices into mental health risk assessments. The results also offer a theoretical basis for personalized interventions targeting metabolic abnormalities in depression prevention and treatment.

摘要

背景

越来越多的证据表明胰岛素抵抗(IR)与抑郁症之间存在潜在联系,尽管这种关联的双向性和潜在机制仍知之甚少。本研究旨在系统地调查多种IR指标(特别是胰岛素抵抗稳态模型评估(HOMA-IR)、脂质蓄积产物(LAP)和甘油三酯-葡萄糖指数(TyG))与抑郁症患病率之间的关联。

方法

对国家健康与营养检查调查(NHANES)中12,011名参与者的数据进行了分析。使用三个指标对IR进行量化:HOMA-IR、LAP和TyG。在按抑郁状态分层后,比较了有抑郁症和无抑郁症参与者的基线人口统计学和临床特征。采用加权多变量逻辑回归模型评估IR指标(分为四分位数)与抑郁症之间的关联。使用阈值效应分析、受限立方样条(RCS)模型和平滑曲线拟合探索非线性关系。进行亚组分析以评估年龄、性别、贫困水平和合并症(如心血管疾病、高血压)的异质性。

结果

与非抑郁组(n = 11,040)相比,抑郁组(n = 971)的IR指标显著更高。在完全调整模型(模型3)中,LAP(四分位数4 vs. 四分位数1:OR = 1.569,95% CI 1.234 - 1.998)和TyG(四分位数4 vs. 四分位数1:OR = 1.497,95% CI 1.182 - 1.896)均与抑郁症显著相关,而HOMA-IR的关联减弱(四分位数4 vs. 四分位数1:OR = 1.310,p = 0.099)。阈值效应分析揭示了HOMA-IR、LAP与抑郁症之间呈非线性“倒L形”关系,在特定指标阈值处观察到效应修饰。亚组分析表明,在男性(LAP:OR = 1.23,p < 0.01;TyG:OR = 1.31,p < 0.05)、冠心病患者(LAP:OR = 1.68,p < 0.001)和中风幸存者(LAP:交互作用p = 0.023)中关联更强。

结论

本研究提供了有力证据,证明IR指标(LAP和TyG)与抑郁症之间存在显著关联,LAP呈现出明显的非线性“倒L形”关系。亚组分析突出了在老年人(≥59岁)、冠心病患者、中风幸存者、男性和高血压患者中更强的相关性。这些发现加深了我们对抑郁症潜在代谢途径的理解,并强调了将IR指标纳入心理健康风险评估的重要性。研究结果还为针对抑郁症预防和治疗中代谢异常的个性化干预提供了理论依据。

https://cdn.ncbi.nlm.nih.gov/pmc/blobs/d07a/12183857/8e68c7b2eb68/40001_2025_2802_Fig9_HTML.jpg
https://cdn.ncbi.nlm.nih.gov/pmc/blobs/d07a/12183857/96383f167c73/40001_2025_2802_Fig1_HTML.jpg
https://cdn.ncbi.nlm.nih.gov/pmc/blobs/d07a/12183857/6a2288af52fb/40001_2025_2802_Fig2_HTML.jpg
https://cdn.ncbi.nlm.nih.gov/pmc/blobs/d07a/12183857/212e63e013cc/40001_2025_2802_Fig3_HTML.jpg
https://cdn.ncbi.nlm.nih.gov/pmc/blobs/d07a/12183857/c9199e910a1a/40001_2025_2802_Fig4_HTML.jpg
https://cdn.ncbi.nlm.nih.gov/pmc/blobs/d07a/12183857/1d457e0e1f4b/40001_2025_2802_Fig5_HTML.jpg
https://cdn.ncbi.nlm.nih.gov/pmc/blobs/d07a/12183857/631a994f5c99/40001_2025_2802_Fig6_HTML.jpg
https://cdn.ncbi.nlm.nih.gov/pmc/blobs/d07a/12183857/257aa55841ca/40001_2025_2802_Fig7_HTML.jpg
https://cdn.ncbi.nlm.nih.gov/pmc/blobs/d07a/12183857/dbd93329fc1b/40001_2025_2802_Fig8_HTML.jpg
https://cdn.ncbi.nlm.nih.gov/pmc/blobs/d07a/12183857/8e68c7b2eb68/40001_2025_2802_Fig9_HTML.jpg
https://cdn.ncbi.nlm.nih.gov/pmc/blobs/d07a/12183857/96383f167c73/40001_2025_2802_Fig1_HTML.jpg
https://cdn.ncbi.nlm.nih.gov/pmc/blobs/d07a/12183857/6a2288af52fb/40001_2025_2802_Fig2_HTML.jpg
https://cdn.ncbi.nlm.nih.gov/pmc/blobs/d07a/12183857/212e63e013cc/40001_2025_2802_Fig3_HTML.jpg
https://cdn.ncbi.nlm.nih.gov/pmc/blobs/d07a/12183857/c9199e910a1a/40001_2025_2802_Fig4_HTML.jpg
https://cdn.ncbi.nlm.nih.gov/pmc/blobs/d07a/12183857/1d457e0e1f4b/40001_2025_2802_Fig5_HTML.jpg
https://cdn.ncbi.nlm.nih.gov/pmc/blobs/d07a/12183857/631a994f5c99/40001_2025_2802_Fig6_HTML.jpg
https://cdn.ncbi.nlm.nih.gov/pmc/blobs/d07a/12183857/257aa55841ca/40001_2025_2802_Fig7_HTML.jpg
https://cdn.ncbi.nlm.nih.gov/pmc/blobs/d07a/12183857/dbd93329fc1b/40001_2025_2802_Fig8_HTML.jpg
https://cdn.ncbi.nlm.nih.gov/pmc/blobs/d07a/12183857/8e68c7b2eb68/40001_2025_2802_Fig9_HTML.jpg

相似文献

1
Analysis of the nonlinear relationships between insulin resistance indicators such as LAP and TyG and depression, and population characteristics: a cross-sectional study.胰岛素抵抗指标如LAP和TyG与抑郁症之间的非线性关系及人群特征分析:一项横断面研究。
Eur J Med Res. 2025 Jun 23;30(1):513. doi: 10.1186/s40001-025-02802-1.
2
Association between insulin resistance indices and outcomes in patients with heart failure with preserved ejection fraction.射血分数保留的心力衰竭患者胰岛素抵抗指数与预后的关系
Cardiovasc Diabetol. 2025 Jan 22;24(1):32. doi: 10.1186/s12933-025-02595-x.
3
Association between triglyceride-glucose related indices and at-risk NASH in U.S. adults with NAFLD: results from NHANES 2017-2020.美国非酒精性脂肪性肝病(NAFLD)成人患者中甘油三酯-葡萄糖相关指标与高危非酒精性脂肪性肝炎(NASH)的关联:2017 - 2020年美国国家健康与营养检查调查(NHANES)结果
Front Endocrinol (Lausanne). 2025 Jun 4;16:1604991. doi: 10.3389/fendo.2025.1604991. eCollection 2025.
4
The association of obesity and lipid-related indicators with all-cause and cardiovascular mortality risks in patients with diabetes or prediabetes: a cross-sectional study based on machine learning algorithms.肥胖及血脂相关指标与糖尿病或糖尿病前期患者全因死亡和心血管死亡风险的关联:一项基于机器学习算法的横断面研究
Front Endocrinol (Lausanne). 2025 Jun 2;16:1492082. doi: 10.3389/fendo.2025.1492082. eCollection 2025.
5
Associations of different insulin resistance-related indices with the incidence and progression trajectory of cardiometabolic multimorbidity: a prospective cohort study from UK biobank.不同胰岛素抵抗相关指标与心脏代谢多重疾病的发病率及进展轨迹的关联:一项来自英国生物银行的前瞻性队列研究
Cardiovasc Diabetol. 2025 Jun 18;24(1):257. doi: 10.1186/s12933-025-02819-0.
6
Triglyceride-glucose index and overactive bladder syndrome: evidence from the NHANES 2005-2018.甘油三酯-葡萄糖指数与膀胱过度活动症:来自2005 - 2018年美国国家健康与营养检查调查的证据
Front Endocrinol (Lausanne). 2025 Jun 4;16:1610140. doi: 10.3389/fendo.2025.1610140. eCollection 2025.
7
[Association of triglyceride-glucose index and cardiovascular disease in a community-based Chinese cohort].[基于社区的中国队列中甘油三酯-葡萄糖指数与心血管疾病的关联]
Beijing Da Xue Xue Bao Yi Xue Ban. 2025 Jun 18;57(3):430-435. doi: 10.19723/j.issn.1671-167X.2025.03.004.
8
Differential associations of somatic and cognitive-affective symptoms of depression with inflammation and insulin resistance: cross-sectional and longitudinal results from the Emotional Distress Sub-Study of the GRADE study.抑郁症的躯体症状和认知情感症状与炎症及胰岛素抵抗的差异关联:GRADE研究情绪困扰子研究的横断面和纵向结果
Diabetologia. 2025 Feb 14. doi: 10.1007/s00125-025-06369-8.
9
A retrospective cross-sectional study of association between triglyceride-glucose index and carotid atherosclerosis.一项关于甘油三酯-葡萄糖指数与颈动脉粥样硬化关联的回顾性横断面研究。
Front Cardiovasc Med. 2025 Jun 6;12:1611466. doi: 10.3389/fcvm.2025.1611466. eCollection 2025.
10
Red cell distribution width/albumin ratio as a marker for metabolic syndrome: findings from a cross-sectional study.红细胞分布宽度/白蛋白比值作为代谢综合征的标志物:一项横断面研究的结果。
BMC Endocr Disord. 2024 Oct 25;24(1):227. doi: 10.1186/s12902-024-01762-7.

本文引用的文献

1
The relationship between VAI, LAP, and depression and the mediation role of sleep duration-evidence from NHANES 2005-2020.内脏脂肪指数、脂质蓄积产物与抑郁之间的关系及睡眠时间的中介作用——来自2005 - 2020年美国国家健康与营养检查调查的证据
BMC Psychiatry. 2025 Mar 11;25(1):228. doi: 10.1186/s12888-025-06631-8.
2
Nonlinear association between depressive symptoms and homeostasis model assessment of insulin resistance: a cross-sectional analysis in the American population.抑郁症状与胰岛素抵抗稳态模型评估之间的非线性关联:美国人群的横断面分析
Front Psychiatry. 2025 Jan 22;16:1393782. doi: 10.3389/fpsyt.2025.1393782. eCollection 2025.
3
L-shaped association between lipid accumulation products and depression: Insights from the National Health and nutrition examination survey 2005-2018.
脂质蓄积产物与抑郁症之间的L型关联:来自2005 - 2018年美国国家健康与营养检查调查的见解
J Affect Disord. 2025 Mar 15;373:44-50. doi: 10.1016/j.jad.2024.12.081. Epub 2024 Dec 24.
4
Association between triglyceride-glucose (TyG) index and the incidence of depression in US adults with diabetes or pre-diabetes.甘油三酯-葡萄糖(TyG)指数与美国糖尿病或糖尿病前期成年人抑郁症发病率之间的关联。
Psychiatry Res. 2025 Feb;344:116328. doi: 10.1016/j.psychres.2024.116328. Epub 2024 Dec 15.
5
The relationship between depression and insulin resistance in the population without diabetes: Results from the 2005-2016 NHANES.非糖尿病人群中抑郁症与胰岛素抵抗的关系:2005 - 2016年美国国家健康与营养检查调查结果
Psychiatry Res. 2025 Jan;343:116311. doi: 10.1016/j.psychres.2024.116311. Epub 2024 Dec 2.
6
Urban Environmental Threat Moderates the Relationship Between Depression and Insulin Resistance Among Latinxs With Type 2 Diabetes.城市环境威胁缓和了2型糖尿病拉丁裔人群中抑郁症与胰岛素抵抗之间的关系。
Stress Health. 2024 Dec;40(6):e3504. doi: 10.1002/smi.3504. Epub 2024 Nov 23.
7
The relationship between depression and lipid accumulation product: a population-based study.抑郁症与脂质积聚产物之间的关系:一项基于人群的研究。
Front Psychiatry. 2024 Jul 8;15:1395766. doi: 10.3389/fpsyt.2024.1395766. eCollection 2024.
8
Association between different triglyceride glucose index-related indicators and depression in premenopausal and postmenopausal women: NHANES, 2013-2016.不同甘油三酯-葡萄糖指数相关指标与绝经前后妇女抑郁的关系:NHANES,2013-2016。
J Affect Disord. 2024 Sep 1;360:297-304. doi: 10.1016/j.jad.2024.05.084. Epub 2024 May 31.
9
Obesity and lipid indices as predictors of depressive symptoms in middle-aged and elderly Chinese: insights from a nationwide cohort study.肥胖和血脂指标可预测中老年中国人的抑郁症状:一项全国性队列研究的启示。
BMC Psychiatry. 2024 May 10;24(1):351. doi: 10.1186/s12888-024-05806-z.
10
The importance of assessing the triglyceride-glucose index (TyG) in patients with depression: A systematic review.评估抑郁症患者的甘油三酯-葡萄糖指数(TyG)的重要性:系统评价。
Neurosci Biobehav Rev. 2024 Apr;159:105582. doi: 10.1016/j.neubiorev.2024.105582. Epub 2024 Feb 13.