Suppr超能文献

基于多参数MRI肿瘤内和肿瘤周围影像组学特征联合临床及影像指标预测乳腺癌患者的HER2表达

Prediction of HER2 expression in breast cancer patients based on multi-parametric MRI intratumoral and peritumoral radiomics features combined with clinical and imaging indicators.

作者信息

Li Xiaoxiao, Fang Junfang, Wang Fuqian, Zhang Lin, Jiang Xingyue, Mao Xijin

机构信息

School of Medicine, Cheeloo College of Medicine, Shandong University, Jinan, Shandong, China.

Department of Radiology, Binzhou Medical University Hospital, Binzhou, Shandong, China.

出版信息

Front Oncol. 2025 Jun 9;15:1531553. doi: 10.3389/fonc.2025.1531553. eCollection 2025.

Abstract

OBJECTIVE

To preoperatively evaluate the HER2 status in breast cancer using multiparametric MRI intratumoral and peritumoral radiomics features combined with clinical and imaging characteristics.

METHODS

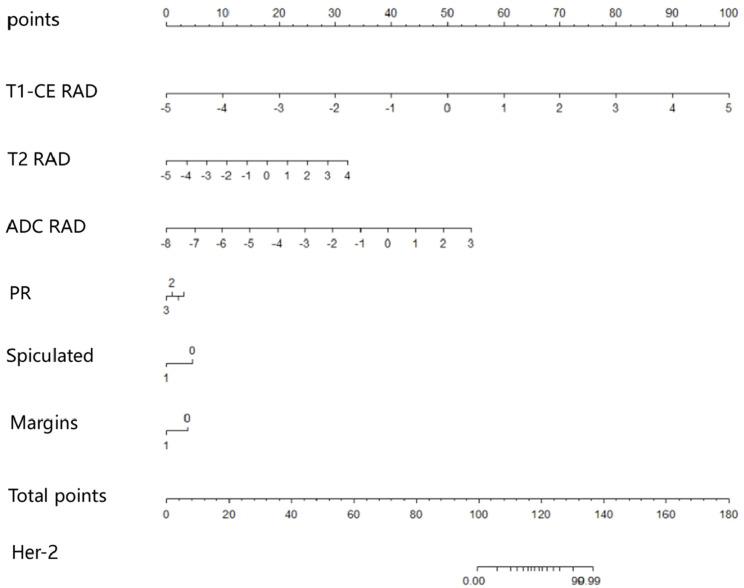
This retrospective study included 252 patients with pathologically confirmed breast cancer (mean age, 50.1 ± 10.1 years) who underwent breast MRI at our hospital. Among them, 202 patients (70 HER2-positive and 132 HER2-negative) were randomly divided into a training set (n = 141) and testing set (n = 61) in a 7:3 ratio from July 2020 to December 2021. The external validation set consisted of 50 breast cancer cases (20 HER2-positive and 30 HER2-negative) from September 2024 to March 2025. Radiomics features extracted from intratumoral and peritumoral regions of the tumor on axial dynamic contrast-enhanced MRI (DCE-MRI), apparent diffusion coefficient (ADC), and T2-weighted fat-suppressed (T2FS) sequences were subjected to dimensionality reduction and model construction using Pearson correlation coefficients, recursive feature elimination, and logistic regression. Univariate and multivariate logistic regression was used to identify the independent risk factors in clinical, pathological and conventional MRI data for constructing the clinical imaging model. The combined model was built from radiomics and clinical imaging features. The area under the receiver operating characteristic curves (AUCs) were used to evaluate the predictive performance of the models.

RESULTS

There were significant statistical differences between the HER2-positive and HER2-negative groups in terms of PR expression (p=0.041), spiculation sign (p<0.001), and uneven margins (p=0.005). The AUC of radiomics models based on DCE, T2FS, and ADC sequences were 0.742, 0.748, 0.791 respectively in the training set, and 0.776, 0.708, 0.713 respectively in the testing set. The AUC of the combined clinical-radiomics model in the training set, testing set and external validation set was 0.923, 0.915 and 0.837, respectively, which was higher than the intratumoral and peritumoral radiomics model based on DCE+T2FS+ADC sequences (0.854,0.748 and 0.770) and clinical imaging model (0.820,0.789 and 0.709).

CONCLUSIONS

The combined model based on DCE+T2FS+ADC intratumoral and peritumoral radiomics integrating with clinical imaging features can better predict the HER2 expression status of breast cancer.

摘要

目的

利用多参数MRI肿瘤内和肿瘤周围的影像组学特征结合临床和影像特征,对乳腺癌患者进行术前HER2状态评估。

方法

本回顾性研究纳入了252例在我院接受乳腺MRI检查且病理确诊为乳腺癌的患者(平均年龄50.1±10.1岁)。其中,202例患者(70例HER2阳性和132例HER2阴性)在2020年7月至2021年12月期间按照7:3的比例随机分为训练集(n = 141)和测试集(n = 61)。外部验证集由2024年9月至2025年3月的50例乳腺癌病例组成(20例HER2阳性和30例HER2阴性)。从轴向动态对比增强MRI(DCE-MRI)、表观扩散系数(ADC)和T2加权脂肪抑制(T2FS)序列的肿瘤内和肿瘤周围区域提取的影像组学特征,使用Pearson相关系数、递归特征消除和逻辑回归进行降维和模型构建。采用单因素和多因素逻辑回归确定临床、病理和传统MRI数据中的独立危险因素,以构建临床影像模型。联合模型由影像组学和临床影像特征构建而成。采用受试者操作特征曲线下面积(AUC)评估模型的预测性能。

结果

HER2阳性组和HER2阴性组在PR表达(p = 0.041)、毛刺征(p < 0.001)和边缘不整齐(p = 0.005)方面存在显著统计学差异。基于DCE、T2FS和ADC序列的影像组学模型在训练集中的AUC分别为0.742、0.748、0.791,在测试集中分别为0.776、0.708、0.713。联合临床-影像组学模型在训练集、测试集和外部验证集中的AUC分别为0.923、0.915和0.837,高于基于DCE + T2FS + ADC序列的肿瘤内和肿瘤周围影像组学模型(0.854、0.748和0.770)以及临床影像模型(0.820、0.789和0.709)。

结论

基于DCE + T2FS + ADC肿瘤内和肿瘤周围影像组学并结合临床影像特征的联合模型能够更好地预测乳腺癌的HER2表达状态。

https://cdn.ncbi.nlm.nih.gov/pmc/blobs/c18a/12183088/71d546bb083a/fonc-15-1531553-g001.jpg

文献检索

告别复杂PubMed语法,用中文像聊天一样搜索,搜遍4000万医学文献。AI智能推荐,让科研检索更轻松。

立即免费搜索

文件翻译

保留排版,准确专业,支持PDF/Word/PPT等文件格式,支持 12+语言互译。

免费翻译文档

深度研究

AI帮你快速写综述,25分钟生成高质量综述,智能提取关键信息,辅助科研写作。

立即免费体验